Exhibit 4.1
WARRANT AGREEMENT
Dated as of October 7, 2025
among
GAMESTOP CORP.,
COMPUTERSHARE INC.
and
COMPUTERSHARE TRUST COMPANY, N.A.
as Warrant Agent
____________________
Warrants for
Shares of Common Stock of
GAMESTOP CORP.
Shares of Common Stock of
GAMESTOP CORP.
____________________
TABLE OF CONTENTS
Page
i
EXHIBIT A Form of Warrant
ii
WARRANT AGREEMENT, dated as of October 7, 2025 (this “Agreement”), by and among GameStop Corp., a corporation incorporated under the laws of the State of Delaware (the “Company”), and Computershare Inc., a Delaware corporation (“Computershare”), and its affiliate, Computershare Trust Company, N.A., a federally chartered trust company, collectively as Warrant Agent (the “Warrant Agent”) (each, a “Party” and collectively, the “Parties”).
The Board of Directors (as defined below) has declared a dividend distribution (the “Warrant Distribution”) to the holders of record of the Company’s Class A common stock, par value $0.001 per share (the “Common Stock”), and of the Other Eligible Recipients (as defined below), as of 5:00 p.m., New York City time, on October 3, 2025 (such date and time, the “Distribution Record Date”), in the form of warrants to purchase shares of Common Stock. The Company desires to issue the warrants on the terms and conditions described herein (the “Warrants”) in satisfaction of the Warrant Distribution. The Warrants will be issued on or about October 7, 2025 (the date of the actual distribution, the “Issue Date”).
The Company desires the Warrant Agent to act on behalf of the Company in connection with the issuance, registration, transfer, exchange, exercise, redemption and cancellation of the Warrants as provided herein, and the Warrant Agent is willing to so act.
Each Party hereto agrees for the benefit of the other Party and for the equal and ratable benefit of the registered holders of the Warrants (the “Holders”):
Article I
DEFINITIONS
DEFINITIONS
Section 1.01Definitions.
“Affiliate” of any Person means any other Person that, directly or indirectly, is in control of, is controlled by or is under common control with such Person. For the purposes hereof, “control” of a Person means the power, direct or indirect, to direct or cause the direction or actions of the management and policies of such Person whether by contract or otherwise.
“Board of Directors” means the Board of Directors of the Company or any committee thereof duly authorized to act on behalf of such Board of Directors.
“Business Day” means any day other than a Saturday, a Sunday or a day on which the Federal Reserve Bank of New York is authorized or required by law or executive order to close or be closed.
“Capital Stock” means, for any entity, any and all shares, interests, rights to purchase, warrants, options, participations or other equivalents of or interests in (however designated) stock issued by that entity but shall not include any debt securities convertible into or exchangeable for any securities otherwise constituting Capital Stock pursuant to this definition.
“Close of Business” means 5:00 p.m., New York City time.
“Common Equity” of any Person means Capital Stock of such Person that is generally entitled (a) to vote in the election of directors of such Person or (b) if such Person is not a
1
corporation, to vote or otherwise participate in the selection of the governing body, partners, managers or others that will control the management or policies of such Person.
“Convertible Notes” means the Company’s 0.00% Convertible Senior Notes due 2030 and 0.00% Convertible Senior Notes due 2032.
“Definitive Warrant” means a Warrant Certificate in definitive form that is not deposited with the Depositary or with the Warrant Agent as the Warrant Custodian.
“Depositary” means The Depository Trust Company, its nominees, and their respective successors.
“Effective Date” means the first date on which shares of the Common Stock trade on the applicable exchange or in the applicable market, regular way, reflecting the relevant share split or share combination, as applicable. For the avoidance of doubt, any alternative trading convention on the applicable exchange or market in respect of shares of the Common Stock under a separate ticker symbol or CUSIP number will not be considered “regular way” for this purpose.
“Ex-Dividend Date” means the first date on which shares of the Common Stock trade on the applicable exchange or in the applicable market, regular way, without the right to receive the issuance, dividend or distribution in question, from the Company or, if applicable, from the seller of Common Stock on such exchange or market (in the form of due bills or otherwise) as determined by such exchange or market. For the avoidance of doubt, any alternative trading convention on the applicable exchange or market in respect of shares of the Common Stock under a separate ticker symbol or CUSIP number will not be considered “regular way” for this purpose.
“Exchange” means the New York Stock Exchange.
“Exchange Act” means the U.S. Securities Exchange Act of 1934, and the rules and regulations promulgated thereunder, as they may be amended from time to time.
“Indenture” means, as applicable, (i) the indenture for the 0.00% Convertible Senior Notes due 2030 dated as of April 1, 2025 between the Company and U.S. Bank Trust Company, National Association, as trustee, and/or (ii) the indenture for the 0.00% Convertible Senior Notes due 2032 dated as of June 17, 2025 between the Company and U.S. Bank Trust Company, National Association, as trustee.
“Last Reported Sale Price” of the Common Stock (or any other security for which a closing sale price must be determined) on any date means the closing sale price per share (or if no closing sale price is reported, the average of the bid and ask prices or, if more than one in either case, the average of the average bid and the average ask prices) on that date as reported in composite transactions for the principal U.S. national or regional securities exchange on which the Common Stock (or such other security) is traded. If the Common Stock (or such other security) is not listed for trading on a U.S. national or regional securities exchange on the relevant date, then the “Last Reported Sale Price” shall be the last quoted bid price for the Common Stock (or such other security) in the over-the-counter market on the relevant date as reported by OTC Markets Group Inc. or a similar organization. If the Common Stock (or such other security) is not so quoted, then the “Last Reported Sale Price” shall be the average of the mid-point of the last bid and ask prices for the Common Stock (or such other security) on the relevant date from each of at least three (3) nationally recognized independent investment banking firms selected by the Company for this purpose. The “Last Reported Sale Price” shall
2
be determined without regard to after-hours trading or any other trading outside of regular trading session hours.
“Officer” means, with respect to the Company, the Chief Executive Officer, the Principal Financial Officer, or the General Counsel of the Company or, with respect to any other Person, the Chief Executive Officer, the President, the Chief Financial Officer, any Vice President, the Treasurer, any Assistant Treasurer, or the Secretary or an Assistant Secretary of such Person.
“Other Eligible Recipient” means a holder of record of the Convertible Notes as of the Distribution Record Date.
“Person” means any individual, corporation, partnership, joint venture, limited liability company, association, joint-stock company, trust, unincorporated organization, government or any agency or political subdivision thereof, or any other entity.
“Record Date” means, with respect to any dividend, distribution or other transaction or event in which the holders of Common Stock (or other applicable security) have the right to receive any cash, securities or other property or in which the Common Stock (or such other security) is exchanged for or converted into any combination of cash, securities or other property, the date fixed for determination of holders of the Common Stock (or such other security) entitled to receive such cash, securities or other property (whether such date is fixed by the Board of Directors, by statute, by contract or otherwise).
“SEC” means the U.S. Securities and Exchange Commission.
“Securities Act” means the U.S. Securities Act of 1933, and the rules and regulations promulgated thereunder, as they may be amended from time to time.
“Subsidiary” means, with respect to any Person, any corporation, association, partnership or other business entity of which more than 50% of the total voting power of shares of Capital Stock or other interests (including partnership interests) entitled (without regard to the occurrence of any contingency) to vote in the election of directors, managers, general partners or trustees thereof is at the time owned or controlled, directly or indirectly, by (i) such Person, (ii) such Person and one or more Subsidiaries of such Person, or (iii) one or more Subsidiaries of such Person.
“Strike Price” initially means $32.00; provided that, the Strike Price is subject to adjustment or amendment in accordance with Article IV. Each reference in this Agreement or any Warrant Certificate to the Strike Price as of a particular date without setting forth a particular time on such date will be deemed to be a reference to the Strike Price immediately after the Close of Business on such date.
“Trading Day” means a day on which (i) trading in the Common Stock (or other security for which a closing sale price must be determined) generally occurs on the Exchange or, if the Common Stock (or such other security) is not then listed on the Exchange, on the principal other U.S. national or regional securities exchange on which the Common Stock (or such other security) is then listed or, if the Common Stock (or such other security) is not then listed on a U.S. national or regional securities exchange, on the principal other market on which the Common Stock (or such other security) is then traded and (ii) a Last Reported Sale Price for the Common Stock (or closing sale price for such other security) is available on such securities exchange or market; provided that, if the Common Stock (or such other security) is not so listed or traded, “Trading Day” means a Business Day.
3
“Warrant Certificate” means any Global Warrant or Definitive Warrant issued by the Company under this Agreement.
“Warrant Custodian” means the custodian with respect to a Global Warrant (as appointed by the Depositary) or any successor Person thereto.
“Warrant Exercise Price” means initially $32.00; provided, however, that if either the Strike Price or the Warrant Exercise Rate is adjusted or amended in accordance with Article IV, then, effective as of the same time at which such adjustment or amendment to the Strike Price or the Warrant Exercise Rate becomes effective, the Warrant Exercise Price will be equal to the Strike Price multiplied by the Warrant Exercise Rate.
“Warrant Exercise Rate” means initially one (1.0000) share of Common Stock, subject to adjustment or amendment from time to time in accordance with Article IV.
“Warrant Shares” means the shares of Common Stock issuable on exercise of the Warrants.
“Whole Number” means any non-negative number, including zero, that is not a fraction or decimal.
Section 1.02Other Definitions.
| Term | Defined in Section | ||||
| Additional Price Condition | 3.02(e) | ||||
| Agent Members | 2.01(c)(ii) | ||||
| Agreement | Preamble | ||||
| Clause A Distribution | 4.01(c) | ||||
| Clause B Distribution | 4.01(c) | ||||
| Clause C Distribution | 4.01(c) | ||||
| Common Stock | Recitals | ||||
| Common Stock Shelf Registration Statement | 5.01 | ||||
| Company | Preamble | ||||
| Distribution Record Date | Recitals | ||||
| Distributed Property | 4.01(c) | ||||
| Exercise Date | 3.04(a) | ||||
| Exercise Notice | 3.04(a)(ii) | ||||
| Exercise Suspension Period | 5.01 | ||||
| Expiration Date | 3.02(b) | ||||
| Funds | 7.07 | ||||
| Global Warrant | 2.01(a)(iv) | ||||
| Holders | Recitals | ||||
| Initial Warrants | 2.01(a)(i) | ||||
| Issue Date | Recitals | ||||
| Parties | Preamble | ||||
| Party | Preamble | ||||
| 2.02 | |||||
4
| Reference Property | 4.03(a) | ||||
| Share Exchange Event | 4.03(a) | ||||
| Spin-off | 4.01(c) | ||||
| Stock Transfer Agent | 3.05(a) | ||||
| Trigger Event | 4.01(c) | ||||
| unit of Reference Property | 4.03(a) | ||||
| Valuation Period | 4.01(c) | ||||
| Warrant Agent | Preamble | ||||
| Warrant Distribution | Recitals | ||||
| Warrant Register | 2.03 | ||||
| Warrants | Recitals | ||||
Section 1.03Rules of Construction. Unless the text or context otherwise requires:
(a)a defined term has the meaning assigned to it herein;
(b)an accounting term not otherwise defined has the meaning assigned to it in accordance with U.S. generally accepted accounting principles as in effect from time to time;
(c)“including” means including, without limitation;
(d)words in the singular include the plural and words in the plural include the singular;
(e)references to any statute, rule, standard, regulation or other law include a reference to (x) the corresponding rules and regulations and (y) each of them as amended, modified, supplemented, consolidated, replaced or rewritten from time to time; and
(f)headings to Articles, Sections and Sub-Sections in this Agreement are inserted for convenience of reference only and are not intended to be a part of or to affect the meaning or interpretation of this Agreement.
Article II
FORM OF WARRANT; BENEFICIAL INTERESTS
FORM OF WARRANT; BENEFICIAL INTERESTS
Section 2.01Issuance and Registration.
(a)Warrants.
(i)The Warrants shall initially be issued as follows to (the “Initial Warrants”):
(1)the registered holders of shares of Common Stock as of the Distribution Record Date, as reflected in the Company’s direct registration system for the
5
Common Stock, one (1) Warrant for each ten (10) shares of Common Stock held by such registered holder as of the Distribution Record Date, subject to Section 2.01(d); and
(2)to the registered holders of Convertible Notes as of the Distribution Record Date, as reflected in the Note Register (as defined in the applicable Indenture), pursuant to Section 14.04 of the applicable Indenture, without such holders having to convert their Convertible Notes, one (1) Warrant for each ten (10) shares of Common Stock that would be issuable upon conversion as of the Distribution Record Date assuming Physical Settlement (as defined in the Indenture) of the aggregate principal amount of Convertible Notes held by such holders on the Distribution Record Date.
(ii)The Company may, subject to the provisions of this Agreement, originally issue additional Warrants with the same terms as the Initial Warrants, which additional Warrants will, subject to the foregoing, be considered to be part of the same series of, and rank equally and ratably with all other, Warrants issued under this Agreement; provided, however, that if any such additional Warrants are not fungible, for federal income tax or federal securities laws purposes, with other Warrants issued under this Agreement and assigned a CUSIP number, then such additional Warrants will be identified by a separate CUSIP number or by no CUSIP number. All Warrants issued pursuant to this Agreement will be equally and ratably entitled to the benefits of this Warrant Agreement, without preference or priority.
(iii)The Warrant Agent shall allocate the Warrants to, and register the Warrants in the names of, such registered holders in accordance with the Company’s direct registration system or the Warrant Agent’s other book-entry procedures pursuant to an allocation schedule approved by the Company, and in the case of the registered holders of Convertible Notes, in cooperation with the trustee under the Indenture. Any Warrants registered through the Company’s direct registration system or the Warrant Agent’s other book-entry procedures shall be issued in uncertificated form and shall not be represented by Warrant Certificates.
(iv)Notwithstanding the foregoing, some or all of the Warrants may, at initial issuance or any time thereafter, be represented by one or more permanent Global Warrants, in definitive, fully registered form with the global securities legend set forth in Exhibit A attached hereto (each, a “Global Warrant”). Any such Global Warrant shall be deposited on behalf of the relevant Holders with the Warrant Agent, as custodian for the Depositary (or with such other custodian as the Depositary may direct), registered in the name of the Depositary or a nominee of the Depositary, and duly executed by the Company and countersigned by the Warrant Agent as hereinafter provided.
(b)Definitive Warrants. Holders of Warrants or holders of beneficial interests in any Global Warrant will not be entitled to physical delivery of Definitive Warrants (except as provided in Section 2.05).
(c)Procedures for Global Warrants. This Section 2.01(c) shall apply only to any Global Warrant deposited with or on behalf of the Depositary.
(i)If any Warrants are to be represented by a Global Warrant, then the Company shall execute and the Warrant Agent shall, in accordance with Section 2.02, countersign and deliver initially one or more Global Warrants that (a) shall be registered in the name of the Depositary for such Global Warrant or Global Warrants or of the nominee of the Depositary and (b) shall be delivered by the Warrant Agent to the Depositary or pursuant to the Depositary’s instructions or held by the Warrant Agent as custodian for the Depositary.
(ii)Members of, or participants in, the Depositary (“Agent Members”) shall have no rights under this Agreement with respect to any Global Warrant held on their behalf by
6
the Depositary or by the Warrant Agent as the custodian of the Depositary or under such Global Warrant, and the Depositary may be treated by the Company, the Warrant Agent and any agent of the Company or the Warrant Agent as the absolute owner of such Global Warrant for all purposes whatsoever. Notwithstanding the foregoing, nothing herein shall prevent the Company, the Warrant Agent or any agent of the Company or the Warrant Agent from giving effect to any written certification, proxy or other authorization furnished by the Depositary, or impair, as between the Depositary and its Agent Members, the operation of customary practices of the Depositary governing the exercise of the rights of a holder of a beneficial interest in any Global Warrant.
(d)No Fractional Warrants. The Company shall not issue fractional Warrants or distribute Warrant Certificates which evidence fractional Warrants. If any fractional Warrant would otherwise be required to be issued or distributed pursuant to the Warrant Distribution, then the Company or the Warrant Agent, as applicable, to the extent reasonably practicable, shall first aggregate the total number of Warrants to be issued to the relevant holder of Common Stock or Other Eligible Recipient and then round down the total number to the nearest Whole Number and no cash or other adjustment will be made in lieu of the fraction of a Warrant so rounded down.
Section 2.02Warrant Certificates. If any Warrant Certificates are issued hereunder, then at least one Officer shall sign such Warrant Certificates for the Company by manual, facsimile or portable document format (“PDF”) signature or by means of other electronic transmission.
(a)If an Officer whose signature is on a Warrant Certificate no longer holds that office at the time the Warrant Agent countersigns the Warrant Certificate, the Warrants evidenced by such Warrant Certificate shall be valid, nevertheless.
(b)At any time and from time to time after the execution of this Agreement, the Warrant Agent shall, upon receipt of a written instruction of the Company signed by an Officer of the Company, countersign, either by manual, facsimile, PDF signature or by means of other electronic transmission, and shall issue a Warrant Certificate evidencing the number of Warrants specified in such instruction. Such instruction shall specify the number of Warrants to be evidenced on the Warrant Certificate to be countersigned, the date on which such Warrant Certificate is to be countersigned, whether such Warrant Certificate is to be a Global Warrant or a Definitive Warrant, and the number of Warrants then authorized. Each Warrant shall be dated as of the date of its countersignature.
(c)The Warrants (whether or not evidenced by a Warrant Certificate) shall not be valid until registered on the Warrant Register.
Section 2.03Warrant Register. The Warrants shall be issued in registered form only. Upon the receipt of all relevant information from the Company or its agents, the Warrant Agent shall keep a register (the “Warrant Register”) of the Warrants (and Warrant Certificates, if applicable) and of their transfer and exchange. The Warrant Register shall show the names and addresses of the respective Holders, and the date and number of Warrants owned by such Holders (as evidenced on the face of each of the Warrant Certificates, if applicable). The Holder of any Global Warrant will be the Depositary or a nominee in whose name the Global Warrant is registered.
7
The Company and the Warrant Agent may deem and treat the Person in whose name the Warrants are registered in the Warrant Register as the absolute owner of such Warrants for all purposes and regardless of any notice to the contrary.
Section 2.04Transfer and Exchange.
(a)Transfer and Exchange of Warrants.
(i)The transfer and exchange of Warrants or beneficial interests therein shall be effected through the Company’s direct registration system or the Warrant Agent’s other book-entry procedures and, in the case of any Global Warrants, the Depositary, in each case in accordance with this Agreement and the procedures of the Warrant Agent and, as applicable, the Depositary therefor. The Company may instruct the Warrant Agent from time to time that Warrants held by a member of the Board of Directors, an Officer of the Company or an Affiliate of the Company are subject to restrictions on transfers or exchanges related to compliance with applicable securities laws, in which case the Warrant Agent shall not permit the transfer or exchange of such Warrants without the consent of the Company.
(ii)Except as set forth in Section 2.04(a)(iii), a Global Warrant may only be transferred as a whole, and not in part, and only by (x) the Depositary to a nominee of the Depositary, (y) a nominee of the Depositary to the Depositary or another nominee of the Depositary or (z) the Depositary or any such nominee to a successor Depositary or its nominee.
(iii)In the event a Global Warrant is exchanged and transferred for Definitive Warrants pursuant to Section 2.05, such Warrants may be exchanged only in accordance with such procedures as are substantially consistent with the provisions of this Section 2.04 and such other procedures as may from time to time be adopted by the Company.
(iv)The Warrant Agent may register the transfer of any Definitive Warrant upon written request of the Holder delivered to the Warrant Agent and surrender of the Warrant Certificate(s) to be transferred, split up, combined or exchanged, together with the form of assignment and certificate duly executed and properly completed and such other documentation that the Company or the Warrant Agent may reasonably request, at the office of the Warrant Agent designated for such purpose. Any requested transfer of Warrants shall be accompanied by reasonable evidence of authority that may be required by the Warrant Agent of the party making such request, which evidence shall include, but not be limited to, a signature guarantee from an eligible guarantor institution participating in a signature guarantee program approved by the Securities Transfer Association. Upon any such transfer, one or more new Definitive Warrants representing an equal aggregate number of Definitive Warrants shall be issued and the transferred certificate(s) shall be canceled.
(b)Cancellation or Adjustment of Global Warrant. At such time as all beneficial interests in a Global Warrant have been exchanged for Definitive Warrants, redeemed, repurchased or canceled, such Global Warrant shall be returned to the Depositary for cancellation or retained and canceled by the Warrant Agent. At any time prior to such cancellation, if any beneficial interest in a Global Warrant is exchanged for Definitive Warrants, repurchased or canceled, the number of Warrants represented by such Global Warrant shall be reduced and an adjustment shall be made on the books and records of the Warrant Agent (if it is then the Warrant Custodian for such Global Warrant) with respect to such Global Warrant, by the Warrant Agent, to reflect such reduction.
8
(c)Obligations with Respect to Transfers and Exchanges of Warrants.
(i)To permit registrations of transfers and exchanges, the Company shall execute, and the Warrant Agent shall countersign, by either manual, facsimile or PDF signature or by means of other electronic transmission, any Global Warrants and Definitive Warrants, if applicable, as required subject to the provisions of Section 2.02 and this Section 2.04.
(ii)No service charge shall be made for any registration of transfer or exchange. Any transfer tax, assessments, or similar governmental charge payable in connection with any registration of transfer or exchange shall be paid by the Holder.
(iii)The Company may require payment from the Holder of a sum sufficient to cover any tax or governmental charge that may be imposed in connection with any transfer, split up, combination or exchange of Warrants. The Warrant Agent shall not have any duty or obligation to take any action under (i) any section of this Agreement or (ii) any Warrant, in each case, that requires the payment of taxes and/or charges.
(iv)Prior to the due presentation for registration of transfer of any Warrant, the Company and the Warrant Agent may deem and treat the Person in whose name such Warrant is registered as the absolute owner of such Warrant, and neither the Company nor the Warrant Agent shall be affected by notice to the contrary.
(v)All Warrants issued upon any transfer or exchange pursuant to the terms of this Agreement shall be valid obligations of the Company, entitled to the same benefits under this Agreement as the Warrants surrendered upon such transfer or exchange.
(d)No Obligation of the Warrant Agent. The Warrant Agent shall have no responsibility or obligation to any beneficial owner of a Global Warrant, an Agent Member or other Person with respect to the accuracy of the records of the Depositary or its nominee or of any participant or member thereof, with respect to any ownership interest in the Warrants or with respect to the delivery to any participant, member, beneficial owner or other Person (other than the Depositary) of any notice, or the payment of any amount, under or with respect to such Warrants. All notices and communications to be given to the Holders and all payments to be made to the Holders under the Warrants shall be given or made only to or upon the order of the registered Holders (which shall be the Depositary or its nominee in the case of a Global Warrant). The rights of beneficial owners in any Global Warrant shall be exercised only through the Depositary subject to the applicable rules and procedures of the Depositary. The Warrant Agent may rely and shall be fully protected in relying upon information furnished by the Depositary with respect to its members, participants and any beneficial owners.
Section 2.05Definitive Warrants.
(a)Subject to Section 2.05(e), beneficial interests in a Global Warrant deposited with the Depositary or with the Warrant Agent as custodian shall be transferred to the beneficial owners thereof in the form of Definitive Warrants in a number equal to the number of Warrants represented by such Global Warrant, in exchange for such Global Warrant, only if such transfer complies with Section 2.04 and (i) the Depositary notifies the Company that it is unwilling or unable to continue as depositary for such Global Warrant or if at any time the Depositary ceases to be a “clearing agency” registered under the Exchange Act and, in each such case, a successor depositary is not appointed by the Company within ninety (90) days of such notice, or (ii) the Company, in its sole discretion, notifies the Warrant Agent in writing that it elects to cause the issuance of Definitive Warrants under this Agreement. In such event, the transfer, exchange or
9
exercise of the Warrants shall be conducted in accordance with the customary procedures of the Warrant Agent.
(b)Any Global Warrant that is transferable to the beneficial owners thereof pursuant to this Section 2.05 shall be surrendered by the Depositary to the Warrant Agent, to be so transferred, in whole or from time to time in part, without charge, and the Warrant Agent shall countersign, by either manual, facsimile or PDF signature or by means of other electronic transmission, and deliver to each beneficial owner in the name of such beneficial owner, upon such transfer of each portion of such Global Warrant, Definitive Warrants evidencing a number of Warrants equivalent to such beneficial owner’s beneficial interest in such Global Warrant. The Warrant Agent shall register such transfer in the Warrant Register, and upon such transfer the surrendered Global Warrant shall be canceled by the Warrant Agent. Any such Definitive Warrants shall bear such restrictive legends as the Company may instruct.
(c)Subject to the provisions of Section 2.05(b), the registered Holder of a Global Warrant may grant proxies and otherwise authorize any Person, including Agent Members and Persons that may hold interests through Agent Members, to take any action that such Holder is entitled to take under this Agreement or the Warrants.
(d)In the event of the occurrence of either of the events specified in Section 2.05(a), the Company will promptly make available to the Warrant Agent a reasonable supply of Definitive Warrants in definitive, fully registered form.
(e)The Depositary shall notify the Warrant Agent of the names and the amounts in which the Definitive Warrants will be issued. Neither the Company nor the Warrant Agent will be liable or responsible for any names or any amounts provided by the Depositary.
(f)Notwithstanding the foregoing, in lieu of issuing a Definitive Warrant to any Person, the Warrant Agent may, upon the Company’s instruction, register Warrants in the name of such Person through the Company’s direct registration system or the Warrant Agent’s other book-entry procedures.
Section 2.06Replacement Certificates. If a mutilated Warrant Certificate is surrendered to the Warrant Agent or if the Holder of a Warrant Certificate provides proof reasonably satisfactory to the Company and the Warrant Agent that the Warrant Certificate has been lost, destroyed or wrongfully taken, the Company shall issue and the Warrant Agent shall countersign, by either manual, facsimile or PDF signature or by means of other electronic transmission, a replacement Warrant Certificate representing an equivalent number of Warrants, if the reasonable requirements of the Warrant Agent are met and absent notice to the Warrant Agent that any such certificate(s) has/have been acquired by a bona fide purchaser. Such Holder shall furnish an open penalty surety bond sufficient in the judgment of the Company and the Warrant Agent to protect the Company and the Warrant Agent from any loss that either of them may suffer if a Warrant Certificate is replaced. The Warrant Agent may, at its option, issue replacement Warrants for mutilated certificates upon presentation thereof without such indemnity. The Company and the Warrant Agent may charge the Holder for their respective expenses in replacing a Warrant Certificate. Every replacement Warrant Certificate evidences an additional obligation of the Company.
Section 2.07Outstanding Warrants. All Warrants evidenced as outstanding in the Warrant Register shall be deemed to be outstanding for purposes of this Agreement (which, in the case of Warrants represented by Warrant Certificates, shall include all Warrant Certificates authenticated by the Warrant Agent excluding those canceled by it and those delivered to it for
10
cancellation). A Warrant does not cease to be outstanding because an Affiliate of the Company holds the Warrant. A Warrant ceases to be outstanding if the Company holds the Warrant.
If a Warrant Certificate is replaced pursuant to Section 2.06, the Warrants evidenced thereby cease to be outstanding unless the Warrant Agent and the Company receive proof satisfactory to them that the replaced Warrant Certificate is held by a protected purchaser (as defined for purposes of the Delaware Uniform Commercial Code).
Section 2.08Cancellation. In the event the Company shall purchase or otherwise acquire Definitive Warrants, the Company may, at its option, deliver the same to the Warrant Agent for cancellation.
The Warrant Agent and no one else shall cancel all Warrant Certificates surrendered for transfer, exchange, replacement, exercise or cancellation. The Company may not issue new Warrant Certificates to replace Warrant Certificates to the extent they evidence Warrants which have been exercised or Warrants which the Company has canceled.
Section 2.09CUSIP Numbers. The Company has assigned a “CUSIP” number in connection with the issuance of the Warrants and the Warrant Agent may use such “CUSIP” number in notices as a convenience to the Holders; provided, however, that any such notice shall state that no representation is made as to the correctness of such numbers either as printed on the Warrant Certificates or as contained in any notices and that reliance may be placed only on the other identification numbers printed on the Warrant Certificates.
Article III
EXERCISE TERMS
EXERCISE TERMS
Section 3.01Exercise.
(a)Each Warrant shall entitle the Holder thereof to purchase, during the Exercise Period (as defined below), for each Warrant evidenced thereby, a number of shares of Common Stock equal to the Warrant Exercise Rate in effect immediately prior to the Close of Business on the relevant Exercise Date, subject to Section 3.06, for a cash payment equal to the Warrant Exercise Price.
(b)The Holders may exercise all or a portion of their Warrants or choose not to exercise any Warrants at all, or may otherwise sell or transfer their Warrants, in each case, in their sole and absolute discretion.
(c)The number of shares of Common Stock issuable in respect of any exercise of Warrants represented by a Global Warrant shall be determined by the Depositary upon consultation with the Company in accordance with this Agreement; provided that, in the event the Company disagrees in good faith with any such calculation, the Company may make such calculation in good faith, and the Company’s calculation shall be determinative and final and binding on the Depositary, the Warrant Agent and the Holders. The number of shares of Common Stock issuable in respect of any exercise of Warrants represented through the Company’s direct registration system or the Warrant Agent’s other book-entry procedures shall be determined by the Warrant Agent upon consultation with the Company in accordance with this Agreement; provided that, in the event the Company disagrees in good faith with any such calculation, the Company may make such calculation in good faith, and the Company’s calculation shall be determinative and final and binding on the Warrant Agent and the Holders.
11
Section 3.02Exercise Period.
(a)Subject to the terms and conditions set forth herein (including without limitation Section 3.04 and Section 5), the Warrants shall be exercisable at any time and from time to time on or after the Issue Date until the Close of Business on the Expiration Date (as defined below). Notwithstanding the foregoing, the Holders will be able to exercise the Warrants only if (i) the Common Stock Shelf Registration Statement relating to the Warrant Shares is effective and the Exercise Date does not fall in an Exercise Suspension Period and (ii) the Warrant Shares are qualified for sale or exempt from qualification under the applicable securities laws of the states or other jurisdictions in which such Holders reside except as otherwise provided in Section 5.01. The Company may instruct the Warrant Agent in writing from time to time that Warrants held by a member of the Board of Directors, an Officer of the Company or an Affiliate of the Company are subject to further restrictions on exercise related to compliance with applicable securities laws, in which case the Warrant Agent shall not permit the exercise of such Warrants without the written consent of the Company.
(b)Subject to the terms and conditions set forth herein (including without limitation Section 3.04 and Section 5), the Warrants will expire and cease to be exercisable at the Close of Business on October 30, 2026 (the “Expiration Date”).
(c)The “Exercise Period” is the period during which the Warrants are exercisable in accordance with the terms and conditions set forth herein (including without limitation this Section 3.02 and Section 5).
Section 3.03Expiration. A Warrant shall terminate and become void as of the earlier of (i) the Close of Business on the Expiration Date and (ii) the time such Warrant is exercised.
Section 3.04Manner of Exercise.
(a)Subject to Sections 3.02(b) and 3.03, Warrants may be exercised by a Holder in full or in part, on any Business Day (each, an “Exercise Date”) falling in the Exercise Period, by
(i)(x) delivery to the Warrant Agent at its office designated for such purpose of the related Warrant Certificate, in the case of Warrants issued in certificated form, (y) delivery of the Warrant through the procedures of the Warrant Agent in the case of Warrants represented through the Company’s direct registration system or the Warrant Agent’s other book-entry procedures or (z) delivery of the Warrant through the systems of the Depositary, in the case of Global Warrants;
(ii)electronic delivery to the Warrant Agent of an election to purchase Warrant Shares in the applicable form included in Exhibit A attached hereto (an “Exercise Notice”), properly completed and duly executed by the Holder; and
(iii)payment in United States dollars by check payable to the order of the Company or the Warrant Agent or by wire transfer to the Company or the Warrant Agent of immediately available funds to an account of or for the benefit of the Company (as designated by the Company and available upon request from the Warrant Agent) in an amount equal to the Warrant Exercise Price multiplied by the number of Warrants so exercised; provided that, if any of (i), (ii) or (iii) above has occurred on or after the Close of Business on any day, it shall instead be deemed to have occurred on the immediately following Business Day (subject to Sections 3.04(c) and 3.04(d)); and provided, further, that the Exercise Date shall be the first
12
Business Day on which all of (i), (ii) and (iii) above have occurred, as determined by the Company in consultation with the Warrant Agent. Notwithstanding anything to the contrary set forth herein, the Company may, in its sole discretion, from time to time offer the Holders or their brokers the right to deliver a notice of guaranteed delivery on the Exercise Date with respect to the Warrants in order to satisfy the delivery requirements of clause (i) above as of the Exercise Date.
(b)In the case of a Global Warrant, any Person with a beneficial interest in such Global Warrant shall effect compliance with the requirements in Section 3.04(a)(i), (ii) and (iii) above through the relevant Agent Member in accordance with the procedures of the Depositary.
(c)Subject to Section 3.04(d), if the purported Exercise Date of any Warrants is or is deemed to be after the Close of Business on the Expiration Date, the exercise thereof will be null and void and any funds delivered to the Warrant Agent or the Company will be returned to the Holder as soon as practicable.
(d)Notwithstanding anything to the contrary herein, any otherwise valid exercise of a Warrant submitted after any applicable deadline for exercise may, in the sole and absolute discretion of the Company, be accepted and honored. The Company’s decision with respect to any such exercise shall be determinative.
(e)In the case of a Global Warrant, whenever some but not all of the Warrants represented by such Global Warrant are exercised in accordance with the terms thereof and of this Agreement, such Global Warrant shall be surrendered by the Holder to the Warrant Agent, which shall cause an adjustment to be made to such Global Warrant so that the number of Warrants represented thereby will be equal to the number of Warrants theretofore represented by such Global Warrant less the number of Warrants then exercised. The Warrant Agent shall thereafter promptly return such Global Warrant to the Holder or its nominee or custodian.
(f)In the case of a Definitive Warrant or book-entry Warrant, whenever some but not all of the Warrants represented by such Definitive Warrant or book-entry Warrant are exercised in accordance with the terms thereof and of this Agreement, the Holder shall be entitled, at the request of the Holder, to receive from the Company within a reasonable time, and in any event not exceeding ten (10) Business Days, a new Definitive Warrant or book-entry statement in substantially identical form for the number of Warrants equal to the number of Warrants theretofore represented by such Definitive Warrant or book-entry statement less the number of Warrants then exercised.
(g)If a Warrant Certificate shall have been exercised in full, the Warrant Agent shall promptly cancel such certificate following its receipt from the Holder or the Depositary, as applicable.
(h)If a Common Stock Shelf Registration Statement is not effective at any time or from time to time for any reason, the right to exercise Warrants shall be automatically suspended until such Common Stock Shelf Registration Statement becomes effective as specified in Section 5.01.
Section 3.05Issuance of Warrant Shares.
(a)Subject to Section 3.02(a), upon any exercise of Warrants in compliance with this Agreement, the Company shall issue and cause the transfer agent for the Common Stock (the “Stock Transfer Agent”, which may be the Warrant Agent) to cause to be registered in the Company’s register of shareholders via the direct registration system a number of full Warrant
13
Shares so purchased upon the exercise of such Warrants (determined in accordance with Section 3.06) or units of Reference Property to which it is entitled, registered or otherwise, to the Holder or Holders entitled to receive the same or upon the written order of the Holder(s) in such name or names as the Holder(s) may designate (including any depositary institution so designated by a Holder). In no event shall the Company have the right or obligation or be required to settle the exercise of Warrants through delivery of cash in lieu of Common Stock.
(b)Such Warrant Shares or units of Reference Property shall be delivered after the applicable Exercise Date on the transfer agent’s standard turnaround time.
(c)The Company hereby instructs the Warrant Agent to record the cost basis for newly issued shares (or units of Reference Property) as the sum of (x) the then applicable Strike Price plus (y) the Holder’s cost basis in the exercised Warrant, if any. The Company agrees that it will provide to Warrant Agent the Holder's cost basis in such Holder's respective Warrants.
(d)The Depositary’s determination of the number of shares of Common Stock (or units of Reference Property) to be issued on any exercise of Warrants and the validity of such exercise, pursuant to this Agreement, shall govern and the Warrant Agent shall have no duty or obligation to investigate or confirm whether such determinations are accurate or correct.
(e)The Person in whose name any shares of Common Stock (or units of Reference Property) shall be issuable upon exercise of a Warrant shall be treated as a stockholder of record of such shares (or holder of such units of Reference Property) as of the Close of Business on the relevant Exercise Date, assuming the satisfaction of all conditions, including the payment of the Warrant Exercise Price. Upon the exercise of any Warrants, such Person shall no longer be a Holder of such Warrants as of the Close of Business on the relevant Exercise Date.
Section 3.06Fractional Warrant Shares. The Company shall not be required to issue fractional shares of Common Stock (or units of Reference Property) on the exercise of Warrants or pay cash in lieu thereof. The number of shares of Common Stock (or units of Reference Property) that shall be issuable upon an exercise of Warrants by a Holder pursuant to any one Exercise Notice at any time shall be computed on the basis of the aggregate number of shares of Common Stock (or units of Reference Property) which may be purchased pursuant to the Warrants being exercised by that Holder pursuant to such Exercise Notice. If any fraction of a share of Common Stock (or units of Reference Property) would be issuable upon the exercise of Warrants pursuant to such Exercise Notice, the total number of shares of Common Stock (or units of Reference Property) to be issued to the relevant Holder in respect of such Exercise Notice shall be rounded down to the nearest Whole Number and no cash or other adjustment will be made in lieu of the fraction of a share so rounded down.
Section 3.07Reservation of Warrant Shares.
(a)The Company shall at all times keep reserved out of its authorized Common Stock a number of shares of Common Stock sufficient to provide for the exercise of all outstanding Warrants. The Company will keep a copy of this Agreement on file with the Stock Transfer Agent and will furnish to such Stock Transfer Agent a copy of all notices of adjustments (and certificates related thereto) transmitted to each Holder.
(b)The Company covenants that all Warrant Shares that may be issued upon proper exercise of the Warrants (including payment of the Warrant Exercise Price) shall, upon issue, be fully paid, nonassessable and free of preemptive rights.
14
(c)The Company shall provide an opinion of counsel on or prior to the date hereof which shall state that all Warrants and Warrant Shares, as applicable, (i) were issued as part of a distribution exempt from the registration requirements of the Securities Act (as the case may be), (ii) were issued in compliance with all applicable state securities or “blue sky” laws, and (iii) are validly issued, fully paid and non-assessable.
Section 3.08Adjustments of Prices. Whenever any provision of this Agreement requires the Company to calculate the average of the daily Last Reported Sale Prices over a span of multiple days (including to calculate an adjustment to the Strike Price and the Warrant Exercise Rate), the Company shall make appropriate adjustments, if any, to each to account for any adjustment to the Strike Price and the Warrant Exercise Rate that becomes effective, or any event requiring an adjustment to the Strike Price and the Warrant Exercise Rate where the Ex-Dividend Date or effective date, as the case may be, of the event occurs, at any time during or after the period when the average of the Last Reported Sale Prices is to be calculated, and such calculation and adjustment shall be determinative and final and binding on the Warrant Agent and the Holders.
Article IV
ADJUSTMENT AND NOTICE PROVISIONS
ADJUSTMENT AND NOTICE PROVISIONS
Section 4.01Adjustments.
Subject to the provisions of this Article IV, the Strike Price and the Warrant Exercise Rate shall be adjusted from time to time by the Company if any of the following events occurs, except that the Company shall not make any adjustments to the Strike Price and the Warrant Exercise Rate if the Holders of the Warrants participate (other than in the case of (x) a share split or share combination or (y) a tender or exchange offer), at the same time and upon the same terms as holders of the Common Stock, and solely as a result of holding the Warrants, in any of the transactions described in this Section 4.01, without having to exercise their Warrants, as if they held a number of shares of Common Stock equal to the Warrant Exercise Rate, multiplied by the number of Warrants held by such Holder. If the Strike Price is adjusted pursuant to the formulas set forth in any of clauses (a) through (e) of this Section 4.01 (excluding, for these purposes, a readjustment pursuant to the text following such formulas), then, effective as of the same time at which such adjustment to the Strike Price becomes effective, the Warrant Exercise Rate will be adjusted to an amount equal to the product of (A) the Warrant Exercise Rate in effect immediately before such adjustment to the Warrant Exercise Rate and (B) the quotient obtained by dividing (x) the Strike Price in effect immediately before such adjustment to the Strike Price, and (y) the Strike Price in effect immediately after such adjustment to the Strike Price; provided, however, that the Warrant Exercise Rate will be subject to readjustment to the extent set forth in such clauses.
(a)If the Company exclusively issues shares of the Common Stock as a dividend or distribution on shares of the Common Stock, or if the Company effects a share split or share combination, the Strike Price shall be adjusted based on the following formula (with a corresponding adjustment to the Warrant Exercise Rate):

Where,
15
SP0 | = | the Strike Price in effect immediately prior to the open of business on the Ex-Dividend Date of such dividend or distribution, or immediately prior to the open of business on the Effective Date of such share split or share combination, as applicable; | ||||||
SP1 | = | the Strike Price in effect immediately after the open of business on such Ex-Dividend Date or Effective Date; | ||||||
OS0 | = | the number of shares of Common Stock outstanding immediately prior to the open of business on such Ex-Dividend Date or Effective Date (before giving effect to any such dividend, distribution, split or combination); and | ||||||
OS1 | = | the number of shares of Common Stock outstanding immediately after giving effect to such dividend, distribution, share split or share combination. | ||||||
Any adjustment made under this Section 4.01(a) shall become effective immediately after the open of business on the Ex-Dividend Date for such dividend or distribution, or immediately after the open of business on the Effective Date for such share split or share combination, as applicable. If any dividend or distribution of the type described in this Section 4.01(a) is declared but not so paid or made, the Strike Price and the Warrant Exercise Rate shall be immediately readjusted, effective as of the date the Board of Directors determines not to pay such dividend or distribution, to the Strike Price and the Warrant Exercise Rate that would then be in effect if such dividend or distribution had not been declared.
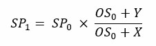
(b)If the Company distributes to all or substantially all holders of the Common Stock any rights, options or warrants (other than pursuant to a shareholder rights plan) entitling them, for a period of not more than sixty (60) calendar days after the announcement date of such distribution, to subscribe for or purchase shares of the Common Stock at a price per share that is less than the average of the Last Reported Sale Prices of the Common Stock for the ten (10) consecutive Trading Day period ending on, and including, the Trading Day immediately preceding the date of announcement of such distribution, the Strike Price shall be decreased based on the following formula (with a corresponding increase to the Warrant Exercise Rate):

where,
SP0 | = | the Strike Price in effect immediately prior to the open of business on the Ex-Dividend Date for such distribution; | ||||||
SP1 | = | the Strike Price in effect immediately after the open of business on such Ex-Dividend Date; | ||||||
16
OS0 | = | the number of shares of Common Stock outstanding immediately prior to the open of business on such Ex-Dividend Date; | ||||||
| X | = | the total number of shares of Common Stock distributable pursuant to such rights, options or warrants; and | ||||||
| Y | = | the number of shares of Common Stock equal to the aggregate price payable to exercise such rights, options or warrants, divided by the average of the Last Reported Sale Prices of the Common Stock over the ten (10) consecutive Trading Day period ending on, and including, the Trading Day immediately preceding the date of announcement of the distribution of such rights, options or warrants. | ||||||
Any decrease to the Strike Price (and corresponding increase to the Warrant Exercise Rate) made under this Section 4.01(b) shall be made successively whenever any such rights, options or warrants are distributed and shall become effective immediately after the open of business on the Ex-Dividend Date for such distribution. To the extent that shares of the Common Stock are not delivered after the expiration of such rights, options or warrants, the Strike Price shall be increased (and the Warrant Exercise Rate shall be decreased) to the Strike Price (and the Warrant Exercise Rate) that would then be in effect had the decrease to the Strike Price (and the increase to the Warrant Exercise Rate) with respect to the distribution of such rights, options or warrants been made on the basis of delivery of only the number of shares of Common Stock actually delivered. If such rights, options or warrants are not so distributed, then the Strike Price shall be increased (and the Warrant Exercise Rate shall be decreased) to the Strike Price (and the Warrant Exercise Rate) that would then be in effect if such Ex-Dividend Date for such distribution had not occurred.
For the purposes of this Section 4.01(b), in determining whether any rights, options or warrants entitle the holders of Common Stock to subscribe for or purchase shares of the Common Stock at a price per share that is less than such average of the Last Reported Sale Prices of the Common Stock for the ten (10) consecutive Trading Day period ending on, and including, the Trading Day immediately preceding the date of announcement of such distribution, and in determining the aggregate offering price of such shares of Common Stock, there shall be taken into account any consideration received by the Company for such rights, options or warrants and any amount payable on exercise or conversion thereof, the value of such consideration, if other than cash, to be determined by the Company in good faith.
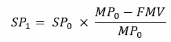
(c)If the Company distributes shares of its Capital Stock, evidences of its indebtedness, other assets or property of the Company or rights, options or warrants to acquire its Capital Stock or other securities, to all or substantially all holders of the Common Stock, excluding (i) dividends, distributions or issuances (including share splits) as to which an adjustment was effected pursuant to Section 4.01(a) or Section 4.01(b), (ii) except as otherwise provided in Section 4.07, rights issued pursuant to any shareholder rights plan of the Company then in effect, (iii) distributions of Reference Property issued in exchange for, or upon conversion of, Common Stock in a Share Exchange Event, (iv) dividends or distributions paid exclusively in cash as to which the provisions set forth in Section 4.01(d) shall apply, and (v) Spin-Offs (as defined below) as to which the provisions set forth below in this Section 4.01(c)
17
shall apply (any of such shares of Capital Stock, evidences of indebtedness, other assets or property or rights, options or warrants to acquire Capital Stock or other securities, the “Distributed Property”), then the Strike Price shall be decreased based on the following formula (with a corresponding increase to the Warrant Exercise Rate):

where,
SP0 | = | the Strike Price in effect immediately prior to the open of business on the Ex-Dividend Date for such distribution; | ||||||
SP1 | = | the Strike Price in effect immediately after the open of business on such Ex-Dividend Date; | ||||||
MP0 | = | the average of the Last Reported Sale Prices of the Common Stock over the ten (10) consecutive Trading Day period ending on, and including, the Trading Day immediately preceding the Ex-Dividend Date for such distribution; and | ||||||
| FMV | = | the fair market value (as determined by the Company in good faith) of the Distributed Property with respect to each outstanding share of the Common Stock on the Ex-Dividend Date for such distribution. | ||||||
Any decrease to the Strike Price (and corresponding increase to the Warrant Exercise Rate) made under the portion of this Section 4.04(c) shall become effective immediately after the open of business on the Ex-Dividend Date for such distribution. If such distribution is not so paid or made, then the Strike Price shall be increased (and the Warrant Exercise Rate shall be decreased) to be the Strike Price (and the Warrant Exercise Rate) that would then be in effect if such distribution had not been declared. Notwithstanding the foregoing, if “FMV” (as defined above) is equal to or greater than “MP0” (as defined above), in lieu of the foregoing increase, each Holder of a Warrant shall receive, in respect of each Warrant thereof, at the same time and upon the same terms as holders of the Common Stock receive the Distributed Property, the amount and kind of Distributed Property such Holder would have received if such Holder owned a number of shares of Common Stock equal to the Warrant Exercise Rate in effect on the Ex-Dividend Date for the distribution.
(i)With respect to an adjustment pursuant to this Section 4.01(c) where there has been a payment of a dividend or other distribution on the Common Stock of shares of Capital Stock of any class or series, or similar equity interest, of or relating to a Subsidiary or other business unit of the Company, that are, or, when issued, will be, listed or admitted for trading on a U.S. national securities exchange (a “Spin-Off”), the Strike Price shall be decreased based on the following formula (with a corresponding increase to the Warrant Exercise Rate):
18

where:
SP0 | = | the Strike Price in effect immediately prior to the end of the Valuation Period (as defined below); | ||||||
SP1 | = | the Strike Price in effect immediately after the end of the Valuation Period; | ||||||
FMV0 | = | the average of the Last Reported Sale Prices of the Capital Stock or similar equity interest distributed to holders of the Common Stock applicable to one (1) share of the Common Stock (determined by reference to the definition of Last Reported Sale Price as set forth in Section 1.01 as if references therein to Common Stock were to such Capital Stock or similar equity interest) over the first ten (10) consecutive Trading Day period after, and including, the Ex-Dividend Date of the Spin-Off (the “Valuation Period”); and | ||||||
MP0 | = | the average of the Last Reported Sale Prices of the Common Stock over the Valuation Period. | ||||||
The decrease to the Strike Price (and corresponding increase to the Warrant Exercise Rate) under the preceding paragraph shall occur at the Close of Business on the last Trading Day of the Valuation Period; provided that, if the relevant Exercise Date occurs during the Valuation Period, the reference to “10” in the preceding paragraph shall be deemed to be replaced with such lesser number of Trading Days as have elapsed from, and including, the Ex-Dividend Date of such Spin-Off to, and including, the Exercise Date in determining the Strike Price (and Warrant Exercise Rate). If any dividend or distribution that constitutes a Spin-Off is declared but not so paid or made, then the Strike Price shall be immediately increased (and the Warrant Exercise Rate shall be immediately decreased), effective as of the date the Board of Directors determines not to pay or make such dividend or distribution, to the Strike Price (and the Warrant Exercise Rate) that would then be in effect if such dividend or distribution had not been declared or announced.
For the purposes of this Section 4.01(c) (and subject in all respect to Section 4.07), rights, options or warrants distributed by the Company to all holders of the Common Stock entitling them to subscribe for or purchase shares of the Company’s Capital Stock, including Common Stock (either initially or under certain circumstances), which rights, options or warrants, until the occurrence of a specified event or events (“Trigger Event”): (i) are deemed to be transferred with such shares of the Common Stock; (ii) are not exercisable; and (iii) are also issued in respect of future issuances of the Common Stock, shall be deemed not to have been distributed for purposes of this Section 4.01(c) (and no adjustment to the Strike Price (and the Warrant Exercise Rate) under this Section 4.01(c) will be required) until the occurrence of the earliest Trigger Event,
19
whereupon such rights, options or warrants shall be deemed to have been distributed and an appropriate adjustment (if any is required) to the Strike Price (and the Warrant Exercise Rate) shall be made under this Section 4.01(c). If any such right, option or warrant, including any such existing rights, options or warrants distributed prior to the date of this Agreement, are subject to events, upon the occurrence of which such rights, options or warrants become exercisable to purchase different securities, evidences of indebtedness or other assets, then the date of the occurrence of any and each such event shall be deemed to be the date of distribution and Ex-Dividend Date with respect to new rights, options or warrants with such rights (in which case the existing rights, options or warrants shall be deemed to terminate and expire on such date without exercise by any of the holders thereof). In addition, in the event of any distribution (or deemed distribution) of rights, options or warrants, or any Trigger Event or other event (of the type described in the immediately preceding sentence) with respect thereto that was counted for purposes of calculating a distribution amount for which an adjustment to the Strike Price (and the Warrant Exercise Rate) under this Section 4.01(c) was made, (1) in the case of any such rights, options or warrants that shall all have been redeemed or purchased without exercise by any holders thereof, upon such final redemption or purchase (x) the Strike Price (and the Warrant Exercise Rate) shall be readjusted as if such rights, options or warrants had not been issued and (y) the Strike Price (and the Warrant Exercise Rate) shall then again be readjusted to give effect to such distribution, deemed distribution or Trigger Event, as the case may be, as though it were a cash distribution, equal to the per share redemption or purchase price received by a holder or holders of Common Stock with respect to such rights, options or warrants (assuming such holder had retained such rights, options or warrants), made to all holders of Common Stock as of the date of such redemption or purchase, and (2) in the case of such rights, options or warrants that shall have expired or been terminated without exercise by any holders thereof, the Strike Price (and the Warrant Exercise Rate) shall be readjusted as if such rights, options and warrants had not been issued.
For the purposes of Section 4.01(a), Section 4.01(b) and this Section 4.01(c), if any dividend or distribution to which this Section 4.01(c) is applicable also includes one or both of:
(A) a dividend or distribution of shares of Common Stock to which Section 4.01(a) is applicable (the “Clause A Distribution”); or
(B) a dividend or distribution of rights, options or warrants to which Section 4.01(b) is applicable (the “Clause B Distribution”);
then, in either case, (1) such dividend or distribution, other than the Clause A Distribution and the Clause B Distribution, shall be deemed to be a dividend or distribution to which this Section 4.01(c) is applicable (the “Clause C Distribution”) and any Strike Price (and Warrant Exercise Rate) adjustment required by this Section 4.01(c) with respect to such Clause C Distribution shall then be made, and (2) the Clause A Distribution and the Clause B Distribution shall be deemed to immediately follow the Clause C Distribution and any Strike Price (and Warrant Exercise Rate) adjustment required by Section 4.01(a) and Section 4.01(b) with respect thereto shall then be made, except that, if determined by the Company (I) the “Ex-Dividend Date” of the Clause A Distribution and the Clause B Distribution shall be deemed to be the Ex-Dividend Date of the
20
Clause C Distribution and (II) any shares of Common Stock included in the Clause A Distribution or the Clause B Distribution shall be deemed not to be “outstanding immediately prior to the open of business on such Ex-Dividend Date or Effective Date” within the meaning of Section 4.01(a) or “outstanding immediately prior to the open of business on such Ex-Dividend Date” within the meaning of Section 4.01(b).
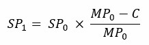
(d)If the Company makes any cash dividend or distribution to all or substantially all holders of Common Stock, then the Strike Price shall be adjusted based on the following formula (with a corresponding adjustment to the Warrant Exercise Rate):

where:
SP0 | = | the Strike Price in effect immediately prior to the open of business on the Ex-Dividend Date for such dividend or distribution; | ||||||
SP1 | = | the Strike Price in effect immediately after the open of business on the Ex-Dividend Date for such dividend or distribution; | ||||||
MP0 | = | the Last Reported Sale Price of the Common Stock on the Trading Day immediately preceding the Ex-Dividend Date for such dividend or distribution; and | ||||||
| C | = | the amount in cash per share the Company distributes to all or substantially all holders of Common Stock; | ||||||
Any decrease to the Strike Price (and corresponding increase to the Warrant Exercise Rate) pursuant to this Section 4.01(d) shall become effective immediately after the open of business on the Ex-Dividend Date for such dividend or distribution. If such dividend or distribution is not so paid, then the Strike Price shall be increased (and the Warrant Exercise Rate shall be decreased), effective as of the date the Board of Directors determines not to make or pay such dividend or distribution, to be the Strike Price (and the Warrant Exercise Rate) that would then be in effect if such dividend or distribution had not been declared. Notwithstanding the foregoing, if “C” (as defined above) is equal to or greater than “SP0” (as defined above), in lieu of the foregoing decrease to the Strike Price (and corresponding increase to the Warrant Exercise Rate), each Holder of a Warrant shall receive, for each Warrant it holds, at the same time and upon the same terms as holders of shares of the Common Stock, the amount of cash that such Holder would have received if such Holder owned a number of shares of Common Stock equal to the Warrant Exercise Rate on the Ex-Dividend Date for such cash dividend or distribution.
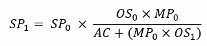
(e)If the Company or any of its Subsidiaries make a payment in respect of a tender or exchange offer for the Common Stock that is subject to the then applicable tender offer rules under the Exchange Act (other than any odd-lot tender offer), to the extent that the cash and
21
value of any other consideration included in the payment per share of the Common Stock exceeds the average of the Last Reported Sale Prices of the Common Stock over the ten (10) consecutive Trading Day period commencing on, and including, the Trading Day next succeeding the last date on which tenders or exchanges may be made pursuant to such tender or exchange offer, the Strike Price shall be decreased based on the following formula (with a corresponding increase to the Warrant Exercise Rate):

where,
SP0 | = | the Strike Price in effect immediately prior to the Close of Business on the 10th Trading Day immediately following, and including, the Trading Day next succeeding the date such tender or exchange offer expires; | ||||||
SP1 | = | the Strike Price in effect immediately after the Close of Business on the 10th Trading Day immediately following, and including, the Trading Day next succeeding the date such tender or exchange offer expires; | ||||||
| AC | = | the aggregate value of all cash and any other consideration (as determined by the Company in good faith) paid or payable for shares of Common Stock purchased in such tender or exchange offer; | ||||||
OS0 | = | the number of shares of Common Stock outstanding immediately prior to the date such tender or exchange offer expires (prior to giving effect to the purchase of all shares of Common Stock accepted for purchase or exchange in such tender or exchange offer); | ||||||
OS1 | = | the number of shares of Common Stock outstanding immediately after the date such tender or exchange offer expires (after giving effect to the purchase of all shares of Common Stock accepted for purchase or exchange in such tender or exchange offer); and | ||||||
MP0 | = | the average of the Last Reported Sale Prices of the Common Stock over the ten (10) consecutive Trading Day period commencing on, and including, the Trading Day next succeeding the date such tender or exchange offer expires. | ||||||
The decrease to the Strike Price (and corresponding increase to the Warrant Exercise Rate) under this Section 4.04(e) shall occur at the Close of Business on the 10th Trading Day immediately following, and including, the Trading Day next succeeding the date such tender or exchange offer expires; provided that, if the relevant Exercise Date occurs during the ten (10) Trading Days immediately following, and including, the Trading Day next succeeding the expiration date of any tender or exchange offer, references to “10” or “10th” in the preceding paragraph shall be deemed replaced with such lesser number of Trading Days as have elapsed
22
from, and including, the Trading Day next succeeding the date that such tender or exchange offer expires to, and including, the Expiration Date in determining the Strike Price (and the Warrant Exercise Rate).
If the Company or one of its Subsidiaries is obligated to purchase shares of Common Stock pursuant to any such tender or exchange offer described in this Section 4.01(e) but the Company or such Subsidiary is permanently prevented by applicable law from effecting any such purchase or all such purchases are rescinded, then the Strike Price (and the Warrant Exercise Rate) shall be readjusted to be the Strike Price (and the Warrant Exercise Rate) that would then be in effect if such tender or exchange offer had not been made or had been made only in respect of the purchases that have been made.
(f)Notwithstanding this Section 4.01 or any other provision of this Agreement, if a Strike Price (and Warrant Exercise Rate) adjustment becomes effective on any Ex-Dividend Date, and a Holder that has exercised his/her/its Warrants on or after such Ex-Dividend Date and on or prior to the related Record Date would be treated as the record holder of the shares of Common Stock as of the related Exercise Date as described under Section 3.05(e) based on an adjusted Strike Price (and the Warrant Exercise Rate) for such Ex-Dividend Date, then, notwithstanding the Strike Price (and the Warrant Exercise Rate) adjustment provisions in this Section 4.01, the Strike Price (and Warrant Exercise Rate) adjustment relating to such Ex-Dividend Date shall not be made for such exercising Holder. Instead, such Holder shall be treated as if such Holder were the record owner of the shares of Common Stock on an unadjusted basis and participate in the related dividend, distribution or other event giving rise to such adjustment.
(g)Except as stated herein, the Company shall not adjust the Strike Price (and the Warrant Exercise Rate) for the issuance of shares of the Common Stock or any securities convertible into or exchangeable for shares of the Common Stock or the right to purchase shares of the Common Stock or such convertible or exchangeable securities.
(h)In addition to those adjustments required by clauses (a), (b), (c), (d) and (e) of this Section 4.01, and subject to applicable exchange listing rules and applicable law, the Company from time to time may decrease the Strike Price (or increase the Warrant Exercise Rate) by any amount for a period of at least twenty (20) Business Days if the Company determines that such decrease to the Strike Price (or such increase to the Warrant Exercise Rate) would be in the Company’s best interest. In addition, subject to applicable exchange listing rules and applicable law, the Company may (but is not required to) decrease the Strike Price (or increase the Warrant Exercise Rate) to avoid or diminish any income tax to holders of Common Stock or rights to purchase shares of Common Stock in connection with a dividend or distribution of shares of Common Stock (or rights to acquire shares of Common Stock) or similar event.
(i)Notwithstanding anything to the contrary in this Article IV, the Strike Price (and the Warrant Exercise Rate) shall not be adjusted:
(i)upon the issuance of any shares of Common Stock at a price below the Strike Price or otherwise, other than any such issuance described in clause (a), (b) or (c) of this Section 4.01;
(ii)upon the issuance of any shares of Common Stock pursuant to any present or future plan providing for the reinvestment of dividends or interest payable on the Company’s securities and the investment of additional optional amounts in shares of Common Stock under any plan;
23
(iii)upon the issuance of any shares of Common Stock or options or rights to purchase those shares pursuant to any present or future employee, director or consultant benefit or incentive plan or program (including pursuant to any evergreen plan) of or assumed by the Company or any of the Company’s Subsidiaries;
(iv)upon the issuance of any shares of the Common Stock pursuant to any option, warrant, right or exercisable, exchangeable or convertible security not described in clause (iii) of this subsection and outstanding as of the date the Warrants were first issued;
(v)for a third-party tender offer by any party other than a tender offer by one or more of the Company’s Subsidiaries as described in clause (e) of this Section 4.01;
(vi)upon the repurchase of any shares of Common Stock pursuant to an open market share purchase program or other buy-back transaction, including structured or derivative transactions, such as accelerated share repurchase transactions or similar forward derivatives, or other buy-back transaction, that is not a tender offer or exchange offer of the kind described under clause (e) of this Section 4.01; or
(vii)solely for a change in the par value (or lack of par value) of the Common Stock.
(j)All calculations and other determinations under this Article IV shall be made by the Company and shall be made to the nearest one-hundred thousandth (1/100,000th) of a share and one-hundred thousandth (1/100,000th) of a dollar, as applicable.
(k)[Reserved.]
(l)For the purposes of this Section 4.01, the number of shares of Common Stock at any time outstanding shall not include shares of Common Stock held in the treasury of the Company so long as the Company does not pay any dividend or make any distribution on shares of Common Stock held in the treasury of the Company, but shall include shares of Common Stock issuable in respect of scrip certificates issued in lieu of fractions of shares of Common Stock.
Section 4.02Reserved.
Section 4.03Effect of Recapitalizations, Reclassifications and Changes of the Common Stock.
(a)In case of:
(i)any recapitalization, reclassification or change of the Common Stock (other than a change to par value, or from par value to no par value, or changes resulting from a subdivision or combination);
(ii)any consolidation, merger, combination or similar transaction involving the Company;
(iii)any sale, lease or other transfer to a third party of the consolidated assets of the Company and the Company’s Subsidiaries substantially as an entirety; or
(iv)any statutory share exchange;
24
in each case, as a result of which the Common Stock would be converted into, or exchanged for, stock, other securities, other property or assets (including cash or any combination thereof) (any such event, a “Share Exchange Event”), then, at and after the effective time of such Share Exchange Event, the right to exercise each Warrant to purchase Warrant Shares shall be changed into a right to exercise such Warrant to purchase the kind and amount of shares of stock, other securities or other property or assets (including cash or any combination thereof) that a holder of a number of shares of Common Stock equal to the Warrant Exercise Rate immediately prior to such Share Exchange Event would have owned or been entitled to receive (the “Reference Property”, with each “unit of Reference Property” meaning the kind and amount of Reference Property that a holder of one share of Common Stock is entitled to receive) upon such Share Exchange Event and, prior to or at the effective time of such Share Exchange Event, the Company or the successor or acquiring Person, as the case may be, shall execute with the Warrant Agent an amendment to this Agreement permitted under 4.06(a)(viii) providing for such change in the right to exercise each Warrant; provided, however, that at and after the effective time of the Share Exchange Event any shares of Common Stock that the Company would have been required to deliver upon exercise of the Warrants in accordance with Section 3.05 shall instead be deliverable in the amount and type of Reference Property that a holder of that number of shares of Common Stock would have received in such Share Exchange Event.
If the Share Exchange Event causes the Common Stock to be converted into, or exchanged for, the right to receive more than a single type of consideration (determined based in part upon any form of shareholder election), then (i) the Reference Property which a Holder of Warrants will receive upon exercise of such Warrants shall be deemed to be the weighted average of the types and amounts of consideration actually received by the holders of Common Stock, and (ii) the unit of Reference Property for purposes of the immediately preceding paragraph shall refer to the consideration referred to in clause (i) attributable to one (1) share of Common Stock. If the unit of Reference Property includes, but does not consist entirely of, cash in such Share Exchange Event, then for all exercises of Warrants for which the relevant Exercise Date occurs after the effective date of such Share Exchange Event, (A) the payment of the Warrant Exercise Price required to exercise any Warrant shall be deducted or removed (but, for the avoidance of doubt, not deducted below zero), as applicable, by an amount equal to the product of (I) the Warrant Exercise Rate in effect on the Exercise Date and (II) the amount of cash included in such unit of Reference Property and (B) from the cash that would otherwise be received by the Holder upon exercise of such Warrant shall be deducted or removed (but, for the avoidance of doubt, not deducted below zero), as applicable, by an amount equal to the amount so deducted from the payment of the Warrant Exercise Price pursuant to the immediately preceding clause (A). If the holders of the Common Stock receive only cash in such Share Exchange Event, then for all exercises of Warrants for which the relevant Exercise Date occurs after the effective date of such Share Exchange Event, (A) no payment of the Warrant Exercise Price will be required to exercise any Warrant, (B) the consideration due upon exercise of each Warrant shall be solely cash in an amount equal to the excess, if any, of (I) the product of (x) the Warrant Exercise Rate in effect on the Exercise Date and (y) the price paid per share of Common Stock in such Share Exchange Event over (II) the Warrant Exercise Price and (C) the Company shall satisfy its obligation to deliver the units of Reference Property in connection with an exercise of Warrants by paying cash to exercising Holders on the fifth Business Day immediately following the
25
relevant Exercise Date. The Company shall notify Holders and the Warrant Agent in writing of such weighted average as soon as practicable after such determination is made.
If the Reference Property in respect of any such Share Exchange Event includes, in whole or in part, shares of Common Equity or American depositary receipts (or other interests) in respect thereof, such amendment to this Agreement described in the second immediately preceding paragraph shall provide for anti-dilution and other adjustments that shall be as nearly equivalent as is possible to the adjustments provided for in this Article IV with respect to the portion of the Reference Property consisting of such Common Equity or American depositary receipts (or other interests) in respect thereof. If, in the case of any Share Exchange Event, the Reference Property includes shares of stock, securities or other property or assets (including any combination thereof), other than cash and/or cash equivalents, of a Person other than the Company or the successor or acquiring Person, as the case may be, in such Share Exchange Event, then such amendment to this Agreement shall also be executed by such other Person, if such Person is an Affiliate of the Company or the successor or acquiring Person, and shall contain such additional provisions to protect the interests of the Holders as the Company shall in good faith reasonably consider necessary by reason of the foregoing.
(b)When the Company executes an amendment to this Agreement pursuant to subsection (a) of this Section 4.03, the Company shall promptly file with the Warrant Agent a certificate from a duly authorized Officer of the Company briefly stating the reasons therefor, the kind or amount of cash, securities or property or asset that will comprise a unit of Reference Property after any such Share Exchange Event, any adjustment to be made with respect thereto and that all conditions precedent have been complied with, and shall promptly deliver or cause to be delivered notice thereof to all Holders. The Company shall cause notice of the execution of such amendment to this Agreement to be delivered to each Holder within twenty (20) days after execution thereof. Failure to deliver such notice shall not affect the legality or validity of such amendment to this Agreement.
(c)The above provisions of this Section shall similarly apply to successive Share Exchange Events.
Section 4.04Notice of Adjustments. Whenever any adjustment is made pursuant to this Article IV, the Company shall cause notice of such adjustment to be delivered to the Warrant Agent as soon as practicable following the effective date of such adjustment, such notice to include in reasonable detail (i) the reason for the adjustment, (ii) the computation of any adjustment, and (iii) the new or amended exercise terms, including, as applicable, the adjusted Warrant Exercise Rate (or the number of shares of Common Stock or the units of Reference Property purchasable upon exercise of each Warrant), the adjusted Strike Price and the adjusted Warrant Exercise Price. The calculations, adjustments and determinations included in the Company’s notice shall, absent manifest error, be final and binding on the Company, the Warrant Agent and the Holders. The Warrant Agent shall be entitled to rely on such notice and any adjustment therein contained and the Warrant Agent shall not be deemed to have knowledge of any such adjustment unless and until it shall have received such notice. The Warrant Agent shall have no obligation under any section of this Agreement to determine whether an adjustment is required or to calculate any of the adjustments set forth herein. The Company shall provide notice to the Holders of any such adjustment by press release or such other method as the Company may reasonably determine adequately informs such Holders of such adjustment. The Warrant Agent shall as soon as practicable after receipt of such notice from the Company (which
26
notice must specifically instruct the Warrant Agent to perform delivery) cause a similar notice to be delivered to the Depositary pursuant to the customary procedures of the Depositary.
Section 4.05Adjustment to Warrant Certificate. The form of Warrant Certificate need not be changed because of any adjustment made pursuant to this Article IV, and Warrant Certificates issued after such adjustment may state the same Warrant Exercise Rate as are stated in any Warrant Certificates issued prior to such adjustment. The Company, however, may at any time, in its sole discretion, make any change in the form of Warrant Certificate that it may deem appropriate to give effect to any such adjustment and that does not affect the substance of the Warrant Certificate, and any Warrant Certificate thereafter issued or countersigned, whether in exchange or substitution for an outstanding Warrant Certificate or otherwise, may be in the form as so changed. For the avoidance of doubt, no change to the Warrant Certificate or this Agreement as a result of an adjustment pursuant to this Article IV shall require the consent of the Holders of the Warrants or the Warrant Agent.
Section 4.06Amendments.
(a)The Company and the Warrant Agent, without the consent of the Holders, may from time to time and at any time amend this Agreement and/or the Warrant Certificate for one or more of the following purposes:
(i)to cure any ambiguity, omission, defect or inconsistency;
(ii)to provide for the assumption by a successor company in any Share Exchange Event, if applicable;
(iii)to extend the Expiration Date;
(iv)subject to exchange listing rules and applicable law, to increase the Warrant Exercise Rate, decrease the Strike Price, decrease the Warrant Exercise Price or to add any additional cash, securities or property or asset to the consideration receivable upon exercise of any Warrant;
(v)to provide each Holder with a right to elect for, at the time of each exercise, alternative settlement mechanics, such as net share settlement (also known as cashless exercise) or cash settlement (and in the absence of such election, physical settlement as provided herein as of the Issue Date applying as the default settlement method);
(vi)to make any other change to the terms of the Warrants or this Agreement that does not adversely affect the rights of any Holder in any material respect;
(vii)to provide for a successor Warrant Agent;
(viii)in connection with any Share Exchange Event, to provide that the Warrants are exercisable for units of Reference Property;
(ix)to comply with the rules of any applicable Depositary so long as such amendment does not adversely affect the rights of any Holder in any material respect;
27
(x)to conform the provisions of this Agreement or the Warrant Certificate to the “Description of the Warrants” section of the prospectus supplement relating to the issuance and sale of shares of Common Stock upon exercise of the Warrants; and
(xi)to provide for or confirm the issuance of additional Warrants pursuant to Section 2.01(a)(ii).
Any amendment authorized by the provisions of this Section 4.06(a) may be executed by the Company and the Warrant Agent without the consent of the Holders of any of the Warrants at the time outstanding, notwithstanding any of the provisions of Section 4.06(b). The Warrant Agent shall not unreasonably refuse to execute any such amendment proposed by the Company.
(b)With the written consent of the Holders of a majority of the then outstanding Warrants, the Company may from time to time amend this Agreement and/or the Warrant Certificate in a manner that has a material adverse effect on the interests of any of the Holders. In determining whether the Holders of the required number of Warrants have concurred in any direction, waiver or consent, only Warrants outstanding at the time shall be considered in any such determination, and the Warrants known to the Warrant Agent to be owned by the Company or any of its Subsidiaries shall be disregarded and deemed not to be outstanding for such purpose. The Company or the Warrant Agent may set a Record Date for any such direction, waiver or consent and only the Holders as of such Record Date shall be entitled to make or give such direction, waiver or consent.
(c)No supplement or amendment to this Agreement or any Warrant Certificate pursuant to Section 4.06 shall be effective unless duly executed by the Warrant Agent and the Company. As a condition precedent to the Warrant Agent’s execution of any amendment, the Company shall deliver to the Warrant Agent a certificate from a duly authorized Officer of the Company that states that the proposed amendment is in compliance with the terms of Section 4.06. Notwithstanding anything in this Agreement to the contrary, the Warrant Agent may, but shall not be obligated to, enter into any supplement or amendment that adversely affects the Warrant Agent’s own rights, duties, immunities or obligations under this Agreement.
(d)The Company shall provide reasonable notice to the Holders via press release or Form 8-K filing of any material amendment to this Agreement or the Warrant Certificate pursuant to this Section 4.06 and of any material adjustment to the Strike Price, the Warrant Exchange Rate or the Warrant Exercise Price pursuant to Section 4.01, and in each case, materiality shall be determined by the Company using its sole reasonable discretion. The Warrant Agent shall as soon as practicable after receipt of such notice from the Company (which notice must specifically instruct the Warrant Agent to perform delivery) cause a similar notice to be delivered to the Depositary pursuant to the customary procedures of the Depositary. Upon the execution of any amendment of this Agreement or the Warrant Certificate pursuant to the provisions of this Section 4.06, this Agreement and/or the Warrant Certificate shall be and be deemed to be modified and amended in accordance therewith and the respective rights, limitation of rights, obligations, duties and immunities under this Agreement of the Company, the Warrant Agent and the Holders shall thereafter be determined, exercised and enforced hereunder subject in all respects to such modifications and amendments and all terms and conditions of any such amendment shall be and be deemed to be part of the terms and conditions of this Agreement and the Warrant Certificate for any and all purposes.
Section 4.07Stockholder Rights Plans. If the Company has a stockholder rights plan in effect upon exercise of the Warrants, each share of Common Stock, if any, issued upon such exercise shall be entitled to receive the appropriate number of rights, if any, and the certificates representing the Common Stock issued upon such exercise shall bear such legends, if any, in
28
each case as may be provided by the terms of any such stockholder rights plan, as the same may be amended from time to time. However, if, prior to any exercise of Warrants, the rights have separated from the shares of Common Stock in accordance with the provisions of the applicable shareholder rights plan, the Warrant Exercise Rate shall be adjusted at the time of separation as if the Company distributed to all or substantially all holders of the Common Stock Distributed Property as provided in Section 4.01(c), subject to readjustment in the event of the expiration, termination or redemption of such rights.
Article V
REGISTRATION OF WARRANT SHARES
REGISTRATION OF WARRANT SHARES
Section 5.01Effectiveness of Registration Statement. The Company shall use commercially reasonable efforts to cause a shelf registration statement (including, at the Company’s election, an existing registration statement or a replacement thereof), filed pursuant to Rule 415 (or any successor provision) of the Securities Act, covering the issuance of Warrant Shares to the Holders upon exercise of the Warrants by the Holders thereof (the “Common Stock Shelf Registration Statement”) to, subject to certain exceptions, (i) become effective as promptly as reasonably practicable after the date of this Agreement and (ii) remain effective at least until the earlier of (x) such time as all Warrants have been exercised and (y) the Close of Business on the Expiration Date. The Company shall promptly inform the Warrant Agent of any change in the status of the effectiveness or availability of the Common Stock Shelf Registration Statement. For the avoidance of doubt, no Warrants shall be exercisable at any time until the Common Stock Shelf Registration Statement becomes effective. If the Common Stock Shelf Registration Statement is not effective at any time or from time to time for any reason, then the right to exercise Warrants shall be automatically suspended until such Common Stock Shelf Registration Statement becomes effective (any such period, an “Exercise Suspension Period”). As promptly as practicable upon the occurrence of an Exercise Suspension Period, the Company shall provide notice by press release, with a simultaneous copy to the Warrant Agent, of any Exercise Suspension Period. Notwithstanding anything to the contrary in this Agreement, if there occurs any Exercise Suspension Period prior to the Expiration Date, then the Expiration Date shall be delayed by the greater of (I) 5 Business Days and (II) the number of days comprised in such Exercise Suspension Period.
Section 5.02Suspension. The Company shall be entitled to suspend the availability of the Common Stock Shelf Registration Statement from time to time if the Board of Directors determines in the exercise of its reasonable judgment that such suspension is necessary or desirable, as determined by the Company, in its sole discretion, and provides notice via press release that such determination was made to the Holders of the Warrants, with a simultaneous copy to the Warrant Agent (provided that, upon request by the Company, the Stock Transfer Agent will deliver a copy of such notice to the Depositary pursuant to the customary procedures of the Depositary); provided, however, that (i) if the Company exercises such right prior to the Expiration Date, then the Expiration Date shall be delayed by the greater of (I) 5 Business Days and (II) the number of days during such period for which the availability of the Common Stock Shelf Registration Statement was suspended and (ii) in no event shall the Company be required to disclose the business purpose for such suspension if the Company determines in good faith that such business purpose should remain confidential.
Section 5.03Expenses. Subject to Section 2.04(c)(ii), all expenses incurred directly by the Company that are incident to the Company’s performance of or compliance with its obligations under this Article V relating to the issuance of the Warrant Shares will be borne by the Company, including, without limitation: (i) all SEC, stock exchange or Financial Industry Regulatory Authority registration and filing fees; (ii) all fees and expenses incurred by the Company in connection with its compliance with state securities or blue sky laws; (iii) all expenses of any Persons incurred by or on behalf of the Company with the prior written consent
29
of the Company in preparing or assisting in preparing, printing and distributing the Common Stock Shelf Registration Statement or any other registration statement, prospectus, any amendments or supplements thereto and other documents relating to the performance of and compliance with this Article V; (iv) the fees and disbursements of counsel for the Company; and (v) the fees and disbursements of the independent public accountants of the Company.
Article VI
RESERVED
RESERVED
Article VII
WARRANT AGENT
WARRANT AGENT
Section 7.01Appointment of Warrant Agent. The Company hereby appoints the Warrant Agent to act as agent for the Company in accordance with the express provisions of this Agreement and the Warrant Agent hereby accepts such appointment.
Section 7.02Rights and Duties of Warrant Agent.
(a)Agent for the Company. In acting under this Agreement and in connection with the Warrant Certificates, the Warrant Agent is acting solely as agent of the Company and does not assume any obligation or relationship or agency or trust for or with any Holders or beneficial owners of Warrants. All fees and expenses due to the Warrant Agent hereunder shall be paid to the Warrant Agent by the Company. The Warrant Agent shall have no duty to determine which costs, if any, under this Agreement shall be borne by the Holders or by the Company.
(b)Counsel. The Warrant Agent may consult with counsel satisfactory to it (who may be counsel to the Company) and the advice of such counsel shall be full and complete authorization and protection in respect of any action taken, suffered or omitted by it hereunder in the absence of bad faith (which bad faith must be determined by a final non-appealable order, judgment, decree or ruling of a court of competent jurisdiction) and in accordance with the advice of such counsel.
(c)Documents. The Warrant Agent shall be protected and shall incur no liability or responsibility for or in respect of any action taken by it in reliance upon any Warrant Certificate, notice, direction, consent, certificate, affidavit, statement or other paper or document reasonably believed by it in good faith to be genuine and to have been presented or signed by the proper party or parties, as applicable.
(d)No Implied Obligations. The Warrant Agent shall be obligated to perform only such duties as are specifically set forth herein and in the Warrant Certificates, and no implied duties or obligations of the Warrant Agent shall be read into this Agreement or the Warrant Certificates against the Warrant Agent. The Warrant Agent shall not be under any obligation to take any action hereunder that may tend to involve it in any expense or liability for which it does not receive indemnity if such indemnity is reasonably requested. The Warrant Agent shall not be accountable or under any duty or responsibility for the application by the Company of the proceeds of the Warrants. The Warrant Agent shall have no duty or responsibility in case of any default by the Company in the performance of its covenants or agreements contained herein or in the Warrant Certificates or in the case of the receipt of any written demand from a Holder with
30
respect to such default, including any duty or responsibility to initiate or attempt to initiate any proceedings at law or otherwise.
(e)Not Responsible for Adjustments or Validity of Stock. The Warrant Agent shall not at any time be under any duty or responsibility to any Holder to determine whether any facts exist that may require an adjustment of the Warrant Exercise Rate, or with respect to the nature or extent of any adjustment when made, or with respect to the method employed, or herein or in any supplemental agreement provided to be employed, in making the same, or with respect to any new exercise terms, or with respect to calculations of any adjustments or any amounts due in connection with any exercise of the Warrants. The Warrant Agent shall not be accountable with respect to the validity or value of any shares of Common Stock or of any securities or property which may at any time be issued or delivered upon the exercise of any Warrant or upon any adjustment pursuant to Article IV, and the Warrant Agent makes no representation with respect thereto. The Warrant Agent shall not be responsible or liable for any failure of the Company to make any cash payment or to issue, transfer or deliver any Warrant Shares upon the surrender of any Warrant Certificate for the purposes of exercise, nor shall the Warrant Agent be liable or responsible for any liquidated damages or any other damages associated therewith.
(f)No Liability for Interest. The Warrant Agent shall have no liability for interest on any monies at any time received by it pursuant to any of the provisions of this Agreement or of the Warrant Certificates.
(g)Agents and Attorneys. The Warrant Agent may execute and exercise any of the rights or powers hereby vested in it or perform any duty hereunder either itself or by or through its attorneys or agents, and the Warrant Agent shall not be answerable or accountable for any act, default, neglect or misconduct of any such attorneys or agents or subcontractors or for any loss to the Company resulting from any such act, default, neglect or misconduct, absent gross negligence, bad faith or willful misconduct (each as determined by a final, non-appealable judgment of a court of competent jurisdiction) in the selection or continued engagement thereof.
(h)Medallion Guarantee. The Warrant Agent may rely on and be fully authorized and protected in acting or refraining from acting upon: (i) any guaranty of signature by an “eligible guarantor institution” that is a member or participant in the Securities Transfer Agents Medallion Program or other comparable “signature guarantee program” or insurance program in addition to, or in substitution for, the foregoing; or (ii) any law, act, regulation or any interpretation of the same even though such law, act, or regulation may thereafter have been altered, changed, amended or repealed.
Section 7.03Individual Rights of Warrant Agent. The Warrant Agent and any shareholder, director, officer or employee of the Warrant Agent may buy, sell or deal in any of the Warrants or other securities of the Company or its Affiliates or become pecuniary interested in transactions in which the Company or its Affiliates may be interested, or contract with or lend money to the Company or its Affiliates or otherwise act as fully and freely as though it were not the Warrant Agent under this Agreement. Nothing herein shall preclude the Warrant Agent from acting in any other capacity for the Company or for any other legal entity.
Section 7.04Warrant Agent’s Disclaimer. The Warrant Agent shall not be liable or responsible for and makes no representation as to the validity or adequacy of this Agreement or the Warrant Certificates (other than its countersignature thereof) and it shall not be liable or responsible for any statements of fact or recitals contained in this Agreement or the Warrant Certificates other than its countersignature thereof, or be required to verify the same, but all such statements and recitals are and shall be deemed to have been made by the Company only; nor shall it be liable or responsible for any breach by the Company of any covenant or condition
31
contained in this Agreement or in any Warrant Certificate; nor shall it by any act hereunder be deemed to make any representation or warranty as to the authorization or reservation of any shares of Common Stock to be issued pursuant to this Agreement or any Warrant Certificate or as to whether any shares of Common Stock will, when issued, be duly authorized, validly issued, fully paid and nonassessable.
Section 7.05Compensation and Indemnity.
(a)Compensation. The Company agrees that the Warrant Agent is entitled, from time to time, to reasonable compensation for its services as agreed in accordance with a fee schedule to be mutually agreed upon between the Company and the Warrant Agent in writing for all services rendered hereunder by the Warrant Agent and to reimburse the Warrant Agent for reasonable out-of-pocket expenses (including reasonable and documented counsel fees and other disbursements incurred in the preparation, delivery, negotiation, amendment, administration and execution of this Agreement and the exercise and performance of its duties and obligations hereunder) by the Warrant Agent in connection with the services rendered hereunder by the Warrant Agent.
(b)Indemnity. The Company shall indemnify and hold harmless the Warrant Agent, its officers, directors, agents and counsel against any loss, liability, damage, judgment, fine, penalty, claim, demand, settlement, cost or expense (including reasonable attorneys’ fees and expenses), which may be paid, incurred or suffered by or to which it may become subject arising from or out of, directly or indirectly, any claims or liability resulting from any action taken, suffered or omitted by the Warrant Agent in connection with the execution, acceptance, administration, exercise and performance of its duties under this Agreement, including the reasonable costs and expenses of defending against any claim of liability arising therefrom, directly or indirectly, or of enforcing its indemnification rights under this Agreement. The Company need not reimburse any expense or indemnify against any loss or liability incurred by the Warrant Agent, its officers, directors, agents and counsel through willful misconduct or gross negligence of any one or more of them (which willful misconduct or gross negligence must be determined by a final, non-appealable order, judgment, decree or ruling of a court of competent jurisdiction).
(c)Company Instructions. From time to time, the Company may provide the Warrant Agent with instructions concerning the services performed by the Warrant Agent hereunder. In addition, at any time the Warrant Agent may apply to any officer of the Company for instruction, and may consult with legal counsel for the Warrant Agent or the Company with respect to any matter arising in connection with the services to be performed by the Warrant Agent under this Agreement. The Warrant Agent and its agents and subcontractors shall not be liable and shall be indemnified by the Company for any action taken or omitted in the absence of bad faith by the Warrant Agent (i) in reliance upon any written Company instructions or (ii) upon the advice or opinion of such counsel (in which case, the Warrant Agent will provide advance notice to the Company if it will not take an action required by this Agreement because of the advice or opinion of such counsel). The Warrant Agent shall not be held to have notice of any change of authority of any person, until receipt of written notice thereof from the Company.
(d)Limitation of Liability. The Warrant Agent shall be liable hereunder only for its own gross negligence, bad faith or willful misconduct (each as determined by a final, non-appealable order, judgment, decree or ruling of a court of competent jurisdiction). Notwithstanding anything contained herein to the contrary, the Warrant Agent’s aggregate liability during any term of this Agreement with respect to, arising from, or arising in connection with this Agreement, or from all services provided or omitted to be provided under this
32
Agreement, whether in contract, or in tort, or otherwise, is limited to, and shall not exceed, the amounts paid hereunder by the Company to the Warrant Agent as fees and charges, but not including reimbursable expenses, during the twelve (12) months immediately preceding the event for which recovery from Warrant Agent is being sought.
(e)Consequential Damages. Neither Party to this Agreement shall be liable to the other Party for any consequential, indirect, special or incidental damages under any provisions of this Agreement or for any consequential, indirect, punitive, special or incidental damages arising out of any act or failure to act hereunder, even if that Party has been advised of or has foreseen the possibility of such damages.
(f)Survival. The Parties’ respective obligations pursuant to this Section 7.05 shall survive the termination, exercise or expiration of the Warrants, the termination of this Agreement and the resignation, replacement or removal of the Warrant Agent.
Section 7.06Successor Warrant Agent.
(a)Company to Provide and Maintain Warrant Agent. The Company agrees for the benefit of the Holders that there shall at all times be a Warrant Agent hereunder (which may include the Company) until all Warrants have been exercised or are no longer exercisable.
(b)Resignation and Removal. The Warrant Agent may at any time resign by giving written notice to the Company of such intention on its part, specifying the date on which its desired resignation shall become effective; provided, however, that such date shall not be less than thirty (30) days after the date on which such notice is given unless the Company otherwise agrees in writing. In the event the transfer agency relationship in effect between the Company and the Warrant Agent terminates, the Warrant Agent will be deemed to have resigned automatically, subject to the second clause of the preceding sentence, and will be discharged from its duties under this Agreement as of the effective date of such termination, and the Company shall be responsible for sending any required notice. The Warrant Agent may be removed at any time by the filing with it of an instrument in writing signed by or on behalf of the Company and specifying such removal and the date when it shall become effective, which date shall not be fewer than thirty (30) days after such notice is given unless the Warrant Agent otherwise agrees in writing.
(c)The Company to Appoint Successor. In the event at any time the Warrant Agent shall resign, or shall be removed, or shall become incapable of acting, or shall be adjudged bankrupt or insolvent, or shall commence a voluntary case under the federal bankruptcy laws, as now or hereafter constituted, or under any other applicable federal or state bankruptcy, insolvency or similar law or shall consent to the appointment of or taking possession by a receiver, custodian, liquidator, assignee, trustee, sequestrator (or other similar official) of the Warrant Agent or its property or affairs, or shall make an assignment for the benefit of creditors, or shall admit in writing its inability to pay its debts generally as they become due, or shall take corporate action in furtherance of any such action, or a decree or order for relief by a court shall have been entered in respect of the Warrant Agent in an involuntary case under the federal bankruptcy laws, as now or hereafter constituted, or any other applicable federal or state bankruptcy, insolvency or similar law, or a decree or order by a court shall have been entered for the appointment of a receiver, custodian, liquidator, assignee, trustee, sequestrator (or similar official) of the Warrant Agent or of its property or affairs, or any public officer shall take charge or control of the Warrant Agent or of its property or affairs for the purposes of rehabilitation, conservation, winding up or liquidation, a successor Warrant Agent, qualified as aforesaid, shall be appointed by the Company by an instrument in writing, filed with the successor Warrant Agent. Notwithstanding the foregoing, if the Company fails to make such appointment within a
33
period of thirty (30) days after giving notice of such removal or after it has been notified in writing of such resignation or incapacity by the resigning or incapacitated Warrant Agent, then the incumbent Warrant Agent may apply to any court of competent jurisdiction for the appointment of a new Warrant Agent. Pending appointment of a successor to such Warrant Agent either by the Company or by such court, the duties of the Warrant Agent shall be carried out by the Company.
(d)Successor to Expressly Assume Duties. Any successor Warrant Agent appointed hereunder shall execute, acknowledge and deliver to its predecessor and to the Company an instrument accepting such appointment hereunder, and thereupon such successor Warrant Agent, without any further act, deed or conveyance, shall become vested with all rights and obligations of such predecessor with like effect as if originally named as Warrant Agent hereunder, and such predecessor, upon payment of its charges and disbursements then unpaid, shall thereupon become obligated to transfer, deliver and pay over, and such successor Warrant Agent shall be entitled to receive, all monies, securities and other property on deposit with or held by such predecessor, as Warrant Agent hereunder; provided that, the predecessor Warrant Agent shall not be required to make any additional expenditure or assume any additional liability in connection with the foregoing.
(e)Successor by Merger. Any Person into which the Warrant Agent hereunder may be merged or consolidated, or any Person resulting from any merger or consolidation to which the Warrant Agent shall be a party, or any Person to which the Warrant Agent shall sell or otherwise transfer all or substantially all of its assets and business, shall be the successor Warrant Agent under this Agreement without the execution or filing of any paper or any further act on the part of any of the Parties.
Section 7.07Bank Accounts. All funds administered by Computershare under this Agreement that are to be distributed or applied by Computershare in the performance of the services hereunder (the “Funds”) shall be administered by Computershare as agent for the Company and deposited in one or more bank accounts to be maintained by Computershare in its name as agent for the Company. Until paid pursuant to this Agreement, Computershare may administer or invest the Funds through such accounts in: (a) funds backed by obligations of, or guaranteed by, the United States of America; (b) debt or commercial paper obligations rated A-1 or P-1 or better by S&P Global Inc. (“S&P”) or Moody’s Investors Service, Inc. (“Moody’s”), respectively; (c) Government and Treasury backed AAA-rated Fixed NAV money market funds that comply with Rule 2a-7 of the Investment Company Act of 1940, as amended; or (d) short term certificates of deposit, bank repurchase agreements, and bank accounts with commercial banks with Tier 1 capital exceeding $1 billion, or with an investment grade rating by S&P (LT Local Issuer Credit Rating), Moody’s (Long Term Rating) and Fitch Ratings, Inc. (LT Issuer Default Rating) (each as reported by Bloomberg Finance L.P.). Computershare shall have no responsibility or liability for any diminution of the Funds that may result from any deposit or investment made in accordance with this paragraph, including any losses resulting from a default by any bank, financial institution or other third party. Computershare may from time to time receive interest, dividends or other earnings in connection with such deposits or investments. Computershare shall not be obligated to pay such interest, dividends or earnings to the Company, any Holder or any other party.
Section 7.08Delivery of Warrant Exercise Price. The Warrant Agent shall forward the Funds received for Warrant exercises in a given month by the fifth (5th) Business Day of the following month or by one (1) Business Day upon written request of the Company by wire transfer to an account designated by the Company.
34
Section 7.09Further Assurances. The Company shall perform, acknowledge and deliver or cause to be performed, acknowledged and delivered all such further and other acts, documents, instruments and assurances as may be reasonably required by the Warrant Agent for the carrying out or performing by the Warrant Agent of the provisions of this Agreement.
Section 7.10Force Majeure. Notwithstanding anything to the contrary contained herein, each of the Company and the Warrant Agent will not be liable for any delays or failures in performance to the extent that they result from acts beyond its reasonable control including, without limitation, acts of God, epidemics, pandemics, terrorist acts (including cyberbreaches of any type of a Party’s electronic information systems), shortage of supply, breakdowns or malfunctions, interruptions or malfunction of computer facilities, or loss of data due to power failures or mechanical difficulties with information storage or retrieval systems, labor difficulties, war, or civil unrest.
Section 7.11Confidentiality. The Warrant Agent and the Company agree that all books, records, information and data pertaining to the business of the other Party, including inter alia, personal, non-public Holder information, which are exchanged or received pursuant to the negotiation or the carrying out of this Agreement, including the fees for services set forth in the attached schedule shall remain confidential, and shall not be voluntarily disclosed to any other Person, except as may be required by applicable law, including, without limitation, pursuant to subpoenas from state, federal or national government authorities (e.g., in divorce and criminal actions); provided that, for the avoidance of doubt, this Agreement may be filed by the Company with the SEC (without including any fee information or related fee schedule).
Article VIII
MISCELLANEOUS
MISCELLANEOUS
Section 8.01Persons Benefiting. Nothing in this Agreement is intended or shall be construed to confer upon any Person other than the Company, the Warrant Agent and the Holders any right, remedy or claim under or by reason of this Agreement or any part hereof.
Section 8.02Rights of Holders. Holders of unexercised Warrants, as such, have no rights as shareholders and are not entitled to exercise any rights whatsoever as shareholders of the Company, including, but not limited to, the rights to (a) receive dividends or other distributions, (b) receive notice of or vote at any meeting of shareholders, (c) consent to any action of shareholders, (d) receive notice of any other proceedings of the Company or (e) exercise any preemptive right.
Section 8.03Notices. Any notice or communication between the parties to this Agreement shall be in writing and delivered in Person or mailed by first-class mail with overnight delivery service. Notices sent by mail as described in this Section should be addressed as follows:
if to the Company:
GameStop Corp.
625 Westport Parkway
625 Westport Parkway
35
Grapevine, TX 76051
Attention: Mark H. Robinson, General Counsel and Secretary
Attention: Mark H. Robinson, General Counsel and Secretary
with a copy to:
White & Case LLP
1221 Avenue of the Americas
New York, NY 10020
Attention: Erica Hogan, Drew Valentine
and
if to the Warrant Agent:
Computershare Trust Company, N.A.
Computershare Inc.
150 Royall Street
Canton, MA 02021
Attention: Client Services
Computershare Inc.
150 Royall Street
Canton, MA 02021
Attention: Client Services
The Company or the Warrant Agent each by notice to the other may designate in writing additional or different physical addresses or e-mail addresses for subsequent notices or communications.
Except for any notice which may be given by issuance of a press release pursuant to the terms of this Agreement, any notice or communication mailed to a Holder shall be mailed to such Holder at such Holder’s address as it appears on the Warrant Register, and shall be sufficiently given if so mailed within the time prescribed. Failure to deliver a notice or communication to a Holder or any defect in it shall not affect its sufficiency with respect to other Holders. If a notice or communication is delivered in the manner provided above, then it is duly given when sent, whether the addressee receives it or not.
Notwithstanding any other provision of this Agreement, where this Agreement provides for notice of any event to Holders, such notice shall be sufficiently given to any Holder of a Warrant represented by a Global Warrant if given to the Depositary pursuant to the customary procedures of the Depositary.
Except for any notice which provides for a shorter period pursuant to the terms of this Agreement, any notice delivered pursuant to this Agreement that restricts the ability of a Holder to exercise his/her/its Warrant not otherwise described in this Agreement shall only be effective at least five (5) Business Days after the delivery of such notice.
Notwithstanding anything to the contrary contained herein, issuance by the Company of a press release in accordance with its customary procedures or as prescribed by this Agreement
36
shall satisfy any requirement to provide public notice or notice in writing or by e-mail under this Agreement (except for notices required to be delivered to the Warrant Agent).
Section 8.04Governing Law. THE LAW OF THE STATE OF NEW YORK SHALL GOVERN AND BE USED TO CONSTRUE THIS AGREEMENT, THE WARRANT CERTIFICATES AND THE WARRANTS. EACH OF THE PARTIES HERETO HEREBY IRREVOCABLY WAIVES, TO THE FULLEST EXTENT PERMITTED BY APPLICABLE LAW, ANY AND ALL RIGHT TO TRIAL BY JURY IN ANY ACTION OR PROCEEDING ARISING OUT OF OR RELATING TO THIS AGREEMENT, THE WARRANT CERTIFICATES AND THE WARRANTS OR THE TRANSACTIONS CONTEMPLATED HEREBY.
Section 8.05Successors. All agreements of the Company in this Agreement and the Warrant Certificates shall bind its successors. All agreements of the Warrant Agent in this Agreement shall bind its successors.
Section 8.06Counterparts. This Agreement may be executed in any number of counterparts, each of which shall be deemed an original, but all of which together constitute one and the same instrument. Counterparts may be delivered via facsimile, PDF, electronic mail (including any electronic signature covered by the U.S. federal ESIGN of 2000, Uniform Electronic Transactions Act, the Electronic Signatures and Records Act or other applicable law, including docusign.com) or other transmission method and any counterpart so delivered shall be deemed to have been duly and validly delivered and be valid and effective for all purposes. A signature to this Agreement executed and/or transmitted electronically shall have the same authority, effect, and enforceability as an original signature.
Section 8.07Severability. The provisions of this Agreement are severable, and if any clause or provision shall be held invalid, illegal or unenforceable in whole or in part in any jurisdiction, then such invalidity, illegality or unenforceability shall affect in that jurisdiction only such clause or provision, or part thereof, and shall not in any manner affect such clause or provision in any other jurisdiction or any other clause or provision of this Agreement in any jurisdiction; provided, however, that if such excluded provision shall materially and adversely affect the rights, immunities, liabilities, duties or obligations of the Warrant Agent, the Warrant Agent shall be entitled to resign immediately upon written notice to the Company.
Section 8.08Reserved.
Section 8.09Calculations. The Company will be responsible for making all calculations and other determinations specified to be made by it under this Agreement and the Warrants, and any calculations and determinations not so specified will be the responsibility of the Company. All calculations and determinations will be made in good faith and, absent manifest error, such calculations and determinations will be final and binding on the Company, the Warrant Agent and the Holders. The Company will provide with reasonable notice a schedule of the calculations and determinations made by the Company to the Warrant Agent. The Warrant Agent is entitled to rely conclusively upon the accuracy of the calculations and determinations made by the Company without independent verification.
37
Section 8.10Entire Agreement. This Agreement and the Warrant Certificate contain the entire agreement and understanding among the parties hereto with respect to the subject matter hereof, and supersede all prior and contemporaneous agreements, understandings, inducements and conditions, express or implied, oral or written, of any nature whatsoever with respect to the subject matter hereof. Notwithstanding anything to the contrary contained in this Agreement, in the event of an inconsistency between any provision in this Agreement and any provision in a Warrant Certificate, as it may from time to time be amended, the terms of this Agreement shall prevail.
[Signature page(s) follow(s)]
38
IN WITNESS WHEREOF, the Parties have caused this Agreement to be duly executed as of the date first written above.
GAMESTOP CORP.
| By: | /s/ Daniel Moore | ||||
| Name: Daniel Moore | |||||
Title: Principal Financial and Accounting Officer | |||||
[Signature Page to Warrant Agreement]
COMPUTERSHARE INC. and COMPUTERSHARE TRUST COMPANY, N.A.
collectively as Warrant Agent
On behalf of both entities:
| By: | /s/ Ann Bowering | ||||
| Name: Ann Bowering | |||||
| Title: CEO Issuer Services, North America | |||||
[Signature Page to Warrant Agreement]
Exhibit A
FORM OF WARRANT
[Global Securities Legend]
UNLESS THIS GLOBAL WARRANT IS PRESENTED BY AN AUTHORIZED REPRESENTATIVE OF THE DEPOSITORY TRUST COMPANY, A NEW YORK CORPORATION (“DTC”), NEW YORK, NEW YORK, TO THE COMPANY OR ITS AGENT FOR REGISTRATION OF TRANSFER, EXCHANGE OR PAYMENT, AND ANY CERTIFICATE ISSUED IS REGISTERED IN THE NAME OF CEDE & CO. OR SUCH OTHER NAME AS IS REQUESTED BY AN AUTHORIZED REPRESENTATIVE OF DTC (AND ANY PAYMENT IS MADE TO CEDE & CO., OR TO SUCH OTHER ENTITY AS IS REQUESTED BY AN AUTHORIZED REPRESENTATIVE OF DTC), ANY TRANSFER, PLEDGE OR OTHER USE HEREOF FOR VALUE OR OTHERWISE BY OR TO ANY PERSON IS WRONGFUL INASMUCH AS THE REGISTERED OWNER HEREOF, CEDE & CO., HAS AN INTEREST HEREIN.
TRANSFERS OF THIS GLOBAL WARRANT SHALL BE LIMITED TO TRANSFERS IN WHOLE, BUT NOT IN PART, TO NOMINEES OF DTC OR TO A SUCCESSOR THEREOF OR SUCH SUCCESSOR’S NOMINEE AND TRANSFERS OF PORTIONS OF THIS GLOBAL SECURITY SHALL BE LIMITED TO TRANSFERS MADE IN ACCORDANCE WITH THE RESTRICTIONS SET FORTH IN THE WARRANT AGREEMENT REFERRED TO BELOW.
1
No. ___ Certificate for ___ Warrants
WARRANTS TO PURCHASE SHARES OF COMMON STOCK OF
GAMESTOP CORP.
GAMESTOP CORP.
THIS CERTIFIES THAT _____, or its registered assigns, is the registered holder of the number of Warrants set forth above (the “Warrants”). Each Warrant entitles the holder thereof (the “Holder”), at its option and subject to the provisions contained herein and in the Warrant Agreement referred to below, to purchase from GameStop Corp., a corporation organized under the laws of the State of Delaware (including any successor thereto, the “Company”), a number of shares of common stock, par value of $0.001 per share, of the Company (the “Common Stock”) equal to the Warrant Exercise Rate (which is initially one (1)) at the Warrant Exercise Price per Warrant (which is initially $32.00), payable in cash as described in the Warrant Agreement. This Warrant Certificate shall terminate and become void as of the earlier of (x) the Close of Business, on the Expiration Date or (y) upon the exercise hereof as to all shares of Common Stock subject hereto. The number of shares issuable upon exercise of the Warrants shall be subject to adjustment from time to time as set forth in the Warrant Agreement.
This Warrant Certificate is issued under and in accordance with that certain Warrant Agreement, dated as of October 7, 2025 (the “Warrant Agreement”), by and between the Company and Computershare Inc. and Computershare Trust Company, N.A. (collectively, the “Warrant Agent”, which term includes any successor Warrant Agent under the Warrant Agreement), and is subject to the terms and provisions contained in the Warrant Agreement, to all of which terms and provisions the Holder of this Warrant Certificate consents by acceptance hereof. The Warrant Agreement is hereby incorporated herein by reference and made a part hereof. Reference is hereby made to the Warrant Agreement for a full statement of the respective rights, limitations of rights, duties and obligations of the Company, the Warrant Agent and the Holders of the Warrants. In the event of an inconsistency between the terms of this Warrant Certificate and the Warrant Agreement, the terms of the Warrant Agreement shall prevail. The Company shall amend any provisions of the Warrant Certificate in compliance with Section 4.06 of the Warrant Agreement.
Capitalized terms used but not defined herein shall have the meanings ascribed thereto in the Warrant Agreement. A copy of the Warrant Agreement may be obtained for inspection by the Holder hereof upon written request to the Warrant Agent, 150 Royall Street, Suite 101, Canton, MA 02021.
Subject to the terms of the Warrant Agreement, the Warrants may be exercised in whole or in part prior to 5:00 p.m., New York City time, on any Business Day (each, an “Exercise Date”), in accordance with Section 3.04 of the Warrant Agreement; provided, however, that no Warrant shall be exercisable after the Close of Business on the Expiration Date, as it may be adjusted in accordance with the Warrant Agreement.
2
If the date specified as the Exercise Date is not a Business Day, then the Warrants will be deemed to be received and exercised on the next succeeding Business Day. If a notice of Exercise of Warrants is received or deemed to be received after the Close of Business on the Expiration Date, then the exercise thereof will be null and void and any funds delivered to the Warrant Agent will be returned to the Holder as soon as practicable. Any otherwise valid exercise of Warrants submitted after any applicable deadline for exercise may, in the sole and absolute discretion of the Company, be accepted and honored. The Company’s decision with respect to any such exercise shall be determinative.
Notwithstanding the foregoing, holders of Warrants will be able to exercise their Warrants only if the Common Stock Shelf Registration Statement relating to the Warrant Shares is effective and not subject to suspension pursuant to the Warrant Agreement and such securities are qualified for sale or exempt from qualification under the applicable securities laws of any relevant states or other relevant jurisdictions.
Upon any partial exercise of the Warrants, there shall be countersigned and issued to the Holder hereof a new Warrant Certificate representing those Warrants which were not exercised. This Warrant Certificate may be exchanged at the office of the Warrant Agent by presenting this Warrant Certificate properly endorsed with a request to exchange this Warrant Certificate for other Warrant Certificates evidencing an equal number of Warrants. No fractional Warrant Shares will be issued upon the exercise of the Warrants. If any fraction of a Warrant Share would be issuable upon the exercise of Warrants, then the Company shall round down the total number of shares of Common Stock to be issued to the relevant Holder to the nearest Whole Number.
All Warrant Shares shall, upon such issue, be duly and validly issued and fully paid and non-assessable.
The Holder in whose name the Warrant Certificate is registered may be deemed and treated by the Company and the Warrant Agent as the absolute owner of the Warrant Certificate for all purposes whatsoever and neither the Company nor the Warrant Agent shall be affected by notice to the contrary.
Holders of Warrants do not have any rights as a shareholder with respect to the shares of Common Stock issuable upon exercise of the Warrants prior to the time such Warrants are validly exercised in accordance with all terms and conditions of the Warrant Agreement, and the Warrant Exercise Price is paid.
[Signature page(s) follow(s)]
3
This Warrant Certificate shall not be valid or obligatory for any purpose until it shall have been countersigned by the Warrant Agent.
GAMESTOP CORP.
| By: | ||||||||
| Name: | ||||||||
| Title: | ||||||||
DATED: _____, 2025
[Signature Page to Certificated Warrant]
Countersigned:
COMPUTERSHARE INC. and COMPUTERSHARE TRUST COMPANY, N.A.
collectively as Warrant Agent
On behalf of both entities:
| By: | ||||||||
| Name: | ||||||||
| Title: | ||||||||
[Signature Page to Certificated Warrant]
FORM OF ELECTION TO PURCHASE WARRANT SHARES
(to be executed only upon exercise of Warrants)
GAMESTOP CORP.
The undersigned hereby irrevocably elects to exercise the number of Warrants set forth below, each of which entitles the holder to purchase a number of shares of Class A common stock, par value $0.001 per share, of GameStop Corp., equal to the Warrant Exercise Rate, at the Warrant Exercise Price per Warrant (which is initially $32.00), payable in cash on the terms and conditions specified in the Warrant Certificate and the Warrant Agreement therein referred to, surrenders all right, title and interest in the number of Warrants exercised hereby to GameStop Corp. and directs that the shares of Common Stock deliverable upon the exercise of such Warrants, and interests in any Global Warrant or Definitive Warrant representing unexercised Warrants, be registered or placed in the name and at the address specified below and delivered thereto. If other than the registered holder of the Warrants, the undersigned must pay all transfer taxes, assessments or similar governmental charges in connection with any exercise of such Warrants. Capitalized terms used but not defined herein shall have the meanings ascribed thereto in the Warrant Agreement.
A. Number of Warrants exercised hereby: _____________
B. Warrant Exercise Price: $____________
C. Aggregate Warrant Exercise Price in respect of number of Warrants exercised hereby: $_____________ (= A x B)
| Date: _____________ | (Name of Owner) | ||||
| (Signature of Owner)1 | |||||
| (Street Address) | |||||
| (City) (State) (Zip Code) | |||||
Securities to be issued to:
If held in book-entry form through the Depositary:
Depositary Account Number:
Name of Agent Member:
1 The signature must correspond with the name as written upon the face of the within Warrant Certificate in every particular, without alteration or enlargement or any change whatsoever.
If in definitive or uncertificated form:
Social security or identifying number:
Name:
Street Address:
City, State and Zip Code:
Any unexercised Warrants evidenced by the exercising Holder’s interest in the Global Warrant or Definitive Warrant, as the case may be, to be issued to:
If in book-entry form through the Depositary:
Depositary Account Number:
Name of Agent Member:
If in definitive form:
Social security or identifying number:
Name:
Street Address:
City, State and Zip Code:
FORM OF WARRANT TRANSFER
For value received, the undersigned hereby sells, assigns and transfers unto the right to purchase ____ Warrant Shares representing shares of Class A common stock, par value $0.001 per share, of GameStop Corp. (the “Company”) pursuant to the attached Warrant Certificate and does hereby irrevocably constitute and appoint attorney to transfer the Warrant, or such portion as is transferred hereby, on the books of the Company with full power of substitution in the premises. The undersigned requests said attorney to issue to the transferee a Warrant Certificate evidencing such transfer and to issue to the undersigned a new Warrant Certificate evidencing the right to purchase Warrant Shares for the balance not so transferred, if any.
| Date: _____________ | |||||
| (Signature of Owner)2 | |||||
| (Street Address) | |||||
| (City) (State) (Zip Code) | |||||
| Medallion Guarantee by: | |||||
| Name in which new Warrant(s) should be registered: | |||||
| (Name) | |||||
| (Street Address) | |||||
| (City) (State) (Zip Code) | |||||
| (social security or identifying number) | |||||
2 The signature must correspond with the name as written upon the face of the within Warrant Certificate in every particular, without alteration or enlargement or any change whatsoever, and must be medallion guaranteed by an eligible guarantor institution.
SCHEDULE OF INCREASES OR DECREASES IN GLOBAL SECURITY3
The initial number of Warrants represented by the Global Warrant is _____.
The following increases or decreases in this Global Security have been made:
| Date of Exercise or Exchange | Decrease in number of Warrants in this Global Warrant Certificate | Increase in number of Warrants in this Global Warrant Certificate | Number of Warrants in this Global Warrant Certificate following such change | Signature of authorized officer of Warrant Agent | ||||||||||
3 To be included only if Warrants are in global form.