EX-4.1

Exhibit 4.1

[Form of 3.641% Fixed/Floating Rate Notes due 2032]

 

Registered No.    CUSIP No. 38141GYW8
   ISIN No. CA38141GYW81

(Face of Security)

THIS SECURITY IS A GLOBAL SECURITY WITHIN THE MEANING OF THE INDENTURE AS DEFINED HEREIN ON THE REVERSE OF THIS SECURITY AND IS REGISTERED IN THE NAME OF A DEPOSITARY OR A NOMINEE THEREOF. THIS SECURITY MAY NOT BE EXCHANGED IN WHOLE OR IN PART FOR A SECURITY REGISTERED, AND NO TRANSFER OF THIS SECURITY IN WHOLE OR IN PART MAY BE REGISTERED, IN THE NAME OF ANY PERSON OTHER THAN SUCH DEPOSITARY OR A NOMINEE THEREOF, EXCEPT IN THE LIMITED CIRCUMSTANCES DESCRIBED IN THE INDENTURE.

UNLESS THIS CERTIFICATE IS PRESENTED BY AN AUTHORIZED REPRESENTATIVE OF CDS CLEARING AND DEPOSITORY SERVICES INC. (“CDS”) TO THE GOLDMAN SACHS GROUP, INC. OR ITS AGENT FOR REGISTRATION OF TRANSFER, EXCHANGE OR PAYMENT, AND ANY CERTIFICATE ISSUED IN RESPECT THEREOF IS REGISTERED IN THE NAME OF CDS & CO., OR IN SUCH OTHER NAME AS IS REQUESTED BY AN AUTHORIZED REPRESENTATIVE OF CDS (AND ANY PAYMENT IS MADE TO CDS & CO. OR TO SUCH OTHER ENTITY AS IS REQUESTED BY AN AUTHORIZED REPRESENTATIVE OF CDS), ANY TRANSFER, PLEDGE OR OTHER USE HEREOF FOR VALUE OR OTHERWISE BY OR TO ANY PERSON IS WRONGFUL SINCE THE REGISTERED HOLDER HEREOF, CDS & CO., HAS A PROPERTY INTEREST IN THE SECURITIES REPRESENTED BY THIS CERTIFICATE HEREIN AND IT IS A VIOLATION OF ITS RIGHTS FOR ANOTHER PERSON TO HOLD, TRANSFER OR DEAL WITH THIS CERTIFICATE.

UNLESS PERMITTED UNDER SECURITIES LEGISLATION, A HOLDER OF THIS SECURITY MUST NOT TRADE THE SECURITY BEFORE THE DATE THAT IS FOUR (4) MONTHS AND A DAY AFTER THE LATER OF (I) MARCH 5, 2026, AND (II) THE DATE THE GOLDMAN SACHS GROUP, INC. BECAME A REPORTING ISSUER IN ANY PROVINCE OR TERRITORY OF CANADA.

THIS SECURITY IS NOT A BANK DEPOSIT AND IS NOT INSURED BY THE FEDERAL DEPOSIT INSURANCE CORPORATION OR ANY OTHER GOVERNMENTAL AGENCY, NOR IS IT AN OBLIGATION OF, OR GUARANTEED BY, A BANK.

 

(Face of Security continued on next page)

 


THE GOLDMAN SACHS GROUP, INC.

3.641% Fixed/Floating Rate Notes due 2032

The Goldman Sachs Group, Inc., a corporation duly organized and existing under the laws of the State of Delaware (herein called the “Company”, which term includes any successor Person under the Indenture as defined on the reverse of this Security), for value received, hereby promises to pay to CDS & CO., or registered assigns, the principal sum of One Billion Seven Hundred Fifty Million Canadian Dollars (CAD1,750,000,000) on March 5, 2032. The Company further promises to pay interest on said principal sum as follows:

Prior to March 5, 2031. The Company will pay interest on the principal sum hereof at the rate of 3.641% per annum from and including March 5, 2026 (or from the most recent Interest Payment Date prior to March 5, 2031 to which interest has been paid or duly provided for) to but excluding March 5, 2031 (or, if the Maturity of the principal hereof occurs prior to such date, until the earlier of such date or the date the principal is paid or made available for payment), payable semi-annually. Such interest will be payable in arrears on March 5 and September 5 of each year, commencing on September 5, 2026 to, and including, March 5, 2031 (each an “Interest Payment Date”), and at any Maturity of the principal hereof prior to such date.

On and after March 5, 2031. The Company will pay interest on the principal sum hereof at a floating rate per annum of Compounded CORRA (subject to adjustment by the Calculation Agent as described below) plus 1.080%, determined in accordance with the applicable provisions below, from and including March 5, 2031 (or from the most recent Interest Payment Date thereafter to which interest has been paid or duly provided for) until the principal hereof is paid or made available for payment. Such interest will be payable quarterly in arrears on March 5, June 5, September 5 and December 5 in each year, commencing on June 5, 2031 (each an “Interest Payment Date”), and at the Maturity of the principal hereof on or after March 5, 2031.

Any installment of interest that is overdue shall also bear interest at the same rate in effect during the Interest Period ending on the day prior to the due date of such installment of interest (to the extent that the payment of such interest shall be legally enforceable), from the date any such overdue installment first becomes due until it is paid or made available for payment. Notwithstanding the foregoing, interest on any installment of interest that is overdue shall be payable on demand, subject to the provisions in the Indenture.

 

(Face of Security continued on next page)

-2-


Interest on this Security payable, for a full interest period, on an Interest Payment Date on or before March 5, 2031 shall be computed on the basis of a 360-day year of twelve 30-day months and the amount of interest payable, for any period less than a full semi-annual interest period on or before March 5, 2031 shall be computed on an Actual/365 (Fixed) basis, meaning a 365-day year and the actual number of days elapsed in such partial period. Interest on this Security payable on an Interest Payment Date after March 5, 2031 shall be computed on an Actual/365 (Fixed) basis as well. Payments of interest on this Security with respect to any Interest Payment Date, or at the Maturity of the principal hereof, will include interest accrued to but excluding such Interest Payment Date or the date of such Maturity, as the case may be. In the case of interest payable for any period less than a full semi-annual period, accrued interest from the date of issue or from the last date to which interest has been paid or duly provided for shall be calculated by the Calculation Agent by multiplying the principal amount by an accrued interest factor. Such accrued interest factor shall be computed by adding the interest factors calculated for each day from and including the date of issue or from and including the last date to which interest has been paid or duly provided for, to but excluding the date for which accrued interest is being calculated. The interest factor for each such day shall be expressed as a decimal and computed by dividing the interest rate (also expressed as a decimal) in effect on such day by 365.

Notwithstanding the foregoing, interest on this Security (i) shall not at any time be less than 0% on an accrual basis, and (ii) shall not be higher than the maximum rate permitted by New York law, as it may be modified by U.S. law of general applicability.

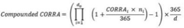
For purposes of this Security, Compounded CORRA to take effect with respect to any Interest Period beginning on or after March 5, 2031 will be determined in the following manner:

Compounded CORRA, for any observation period, is the rate calculated in accordance with the formula below, with the resulting percentage being rounded, if necessary, to the nearest one hundred-thousandth of a percentage point (0.00000005 being rounded upwards):

 

LOGO

where for purposes of applying the above formula to the terms of this Security:

“CORRA Compounded Indexstart” is equal to CORRA Compounded Index value on the date that is two Bank of Canada business days preceding the first date of the relevant interest period;

“CORRA Compounded Indexend” is equal to CORRA Compounded Index value on the date that is two Bank of Canada business days preceding the Interest Payment Date relating to such interest period (or, in the case of the final interest period of this Security, the stated maturity date of this Security or, if this Security is redeemed prior to the stated maturity date, the redemption date for this Security); and

 

(Face of Security continued on next page)

-3-


“d” is the number of calendar days in the relevant observation period.

Notwithstanding the foregoing, if (1) the CORRA Compounded Indexstart or the CORRA Compounded Indexend is not published or displayed by the Reference Rate Administrator by 11:30 a.m. Toronto time (or an amended publication time, if any, as specified in the Reference Rate Administrator’s methodology for calculating the CORRA Compounded Index) on the interest determination date for such interest period but a CORRA Compounded Index Cessation Effective Date has not occurred or (2) the Calculation Agent determines that a CORRA Compounded Index Cessation Event has occurred, the terms and provisions set forth in (i) through (iii) below will apply, in the order set forth below. Notwithstanding (i) through (iii) below, in connection with the implementation of an Applicable Fallback Rate, the Calculation Agent may make such changes or adjustments to (1) the Applicable Fallback Rate or the spread thereon, (2) any interest reset date, interest determination date, Interest Payment Date, other relevant date, business day convention or interest period, (3) the manner, timing and frequency of determining rates and amounts of interest that are payable on this Security and the conventions relating to such determination, (4) the timing and frequency of making payments of interest, (5) rounding conventions, (6) tenors, and (7) any other terms or provisions of this Security and related definitions, in each case that the Calculation Agent determines, from time to time, are consistent with accepted market practice or applicable regulatory or legislative action or guidance for the use of such Applicable Fallback Rate for debt obligations comparable to this Security in such circumstances.

(i) No CORRA Compounded Index or CORRA Compounded Index Cessation Effective Date with respect to CORRA Compounded Index. If (1) the CORRA Compounded Indexstart or the CORRA Compounded Indexend is not published or displayed by the Reference Rate Administrator by 11:30 a.m. Toronto time (or an amended publication time, if any, as specified in the Reference Rate Administrator’s methodology for calculating the CORRA Compounded Index) on the interest determination date for such interest period but a CORRA Compounded Index Cessation Effective Date has not occurred, or (2) the Calculation Agent determines that a CORRA Compounded Index Cessation Event has occurred, then Compounded CORRA for the applicable interest period will be calculated by the Calculation Agent in accordance with the formula below, with the resulting percentage being rounded, if necessary, to the nearest one hundred-thousandth of a percentage point (0.00000005 being rounded upwards)

 

LOGO

 

(Face of Security continued on next page)

-4-


Where for purposes of applying the above formula to the terms of this Security:

“CORRAi”, for any Bank of Canada business day “i” in the relevant observation period, is equal to the daily CORRA rate in respect of that day as published by the Reference Rate Administrator on the website of the Reference Rate Administrator or any successor website on the immediately following Bank of Canada business day, which is Bank of Canada business day “i” + 1, provided that if by not later than 11:00 a.m. Toronto time (or the amended publication deadline for CORRA, if any, as specified by the Reference Rate Administrator’s methodology for calculating CORRA) the Bank of Canada (or any successor Reference Rate Administrator) does not provide or publish CORRA in respect of that day and a CORRA Cessation Effective Date has not occurred, then, references to CORRA will be deemed to be references to the last provided or published CORRA as of the close of business in Toronto on that day;

“ni”, for any Bank of Canada business day “i” in the relevant observation period, is the number of calendar days from, and including such Bank of Canada business day “i” to, but excluding, the following Bank of Canada business day, which is Bank of Canada business day “i” + 1;

“d” is the number of calendar days in the relevant observation period;

“d0” for any observation period, is the number of Bank of Canada business days in the relevant observation period; and

“i” is a series of whole numbers from one to d0, each representing the relevant Bank of Canada business day in chronological order from, and including, the first Bank of Canada business day in the relevant observation period.

(ii) CORRA Index Cessation Effective Date. If the Calculation Agent determines that a CORRA Cessation Event has occurred, then the rate for an interest determination date which occurs on or after the CORRA Cessation Effective Date with respect to Compounded CORRA will be the CAD Recommended Rate, to which the Calculation Agent shall apply the most recently published spread, as at the CORRA Cessation Effective Date with respect to Compounded CORRA after making such adjustments to the CAD Recommended Rate as the Calculation Agent determines to be necessary to account for any difference in term, structure or tenor of the CAD Recommended Rate by comparison to Compounded CORRA. If there is a CAD Recommended Rate before the end of the first Bank of Canada business day following the CORRA Cessation Effective Date with respect to Compounded CORRA but neither the administrator nor authorized distributors provide or publish the CAD Recommended Rate and a CORRA Cessation Effective Date with respect to it has not occurred, then, in respect of any day for which the CAD Recommended Rate is required, references to the CAD Recommended Rate will be deemed to be references to the last provided or published CAD Recommended Rate.

 

(Face of Security continued on next page)

-5-


(iii) No CAD Recommended Rate or Fallback Index Cessation Effective Date with respect to CAD Recommended Rate. If there is no CAD Recommended Rate before the end of the first Bank of Canada business day following a CORRA Cessation Effective Date with respect to Compounded CORRA; or there is a CAD Recommended Rate and a Fallback Index Cessation Effective Date subsequently occurs with respect to it, then the rate for an interest determination date which occurs on or after the CORRA Cessation Effective Date with respect to Compounded CORRA or the Fallback Index Cessation Effective Date with respect to the CAD Recommended Rate (as applicable) will be the BOC Target Rate, to which the Calculation Agent shall apply the most recently published spread, as at the Fallback Index Cessation Effective Date with respect to Compounded CORRA, after making such adjustments to the BOC Target Rate as the Calculation Agent determined to be necessary to account for any difference in term, structure or tenor of the BOC Target Rate by comparison to Compounded CORRA. If neither the administrator nor authorized distributors provide or publish the BOC Target Rate and a Fallback Index Cessation Effective Date with respect to the BOC Target Rate has not occurred, then, in respect of any day for which the BOC Target Rate is required, references to the BOC Target Rate will be deemed to be references to the last provided or published BOC Target Rate as of the close of business in Toronto on that day.

Any determination, decision or election that may be made by the Calculation Agent pursuant to the provisions described in this Security including any determination with respect to a rate or adjustment or of the occurrence or non-occurrence of an event, circumstance or date and any decision to take or refrain from taking any action or any selection, will be conclusive and binding absent manifest error, may be made in the Calculation Agent’s sole discretion, and, notwithstanding anything to the contrary in the documentation relating to this Security, shall become effective without consent from any other party. The Calculation Agent’s determination of any interest rate, and its calculation of the amount of interest for any observation period or interest period, will be on file at our principal offices and will be made available to any holder of this Security upon request.

All Canadian dollar amounts resulting from the calculation of interest, as described above during the relevant periods, will be rounded to the nearest cent.

For all purposes of this Security:

The term “Applicable Fallback Rate” means one of the CAD Recommended Rate or the BOC Target Rate, as applicable.

 

(Face of Security continued on next page)

-6-


The term “BOC Target Rate” means the Bank of Canada’s Target for the Overnight Rate as set by the Bank of Canada and published on the Bank of Canada’s website.

The term “CAD Recommended Rate” means the rate (inclusive of any spreads or adjustments) recommended as the replacement for CORRA by a committee officially endorsed or convened by the Bank of Canada for the purpose of recommending a replacement for CORRA (which rate may be produced by the Bank of Canada or another administrator) and as provided by the administrator of that rate or, if that rate is not provided by the administrator thereof (or a successor administrator), published by an authorized distributor.

The term “CORRA” means, with respect to any Bank of Canada business day, a reference rate equal to the daily Canadian Overnight Repo Rate Average for that day, as published by the Reference Rate Administrator on the website of the Reference Rate Administrator or any successor website on the immediately following Bank of Canada business day.

The term “CORRA Cessation Effective Date” means, in respect of one or more CORRA Cessation Events, the first date on which CORRA is no longer provided. If CORRA ceases to be provided on the Relevant Original Fixing Date but it was provided at the time at which it is to be observed pursuant to the terms and provisions of this Security, then the CORRA Cessation Effective Date will be the next day on which the rate would ordinarily have been published.

The term “CORRA Cessation Event” means:

(1) a public statement or publication of information by or on behalf of the administrator of CORRA announcing that it has ceased or will cease to provide CORRA permanently or indefinitely, provided that, at the time of the statement or publication, there is no successor administrator that will continue to provide CORRA; or

(2) a public statement or publication of information by the regulatory supervisor for the administrator of CORRA (if applicable), the Bank of Canada, an insolvency official with jurisdiction over the administrator for CORRA, a resolution authority with jurisdiction over the administrator for CORRA or a court or an entity with similar insolvency or resolution authority over the administrator for CORRA, which states that the administrator of CORRA has ceased or will cease to provide CORRA permanently or indefinitely, provided that, at the time of the statement or publication, there is no successor administrator that will continue to provide CORRA.

The term “CORRA Compounded Index” means the measure of the cumulative impact of CORRA compounding over time administered and published by the Bank of Canada (or any successor Reference Rate Administrator).

 

(Face of Security continued on next page)

-7-


The term “CORRA Compounded Index Cessation Effective Date” means, in respect of one or more CORRA Compounded Index Cessation Events, the first date on which CORRA Compounded Index is no longer provided. If CORRA Compounded Index ceases to be provided on the Relevant Original Fixing Date but it was provided at the time at which it is to be observed pursuant to the terms and provisions of this Security, then the CORRA Compounded Index Cessation Effective Date will be the next day on which the rate would ordinarily have been published.

The term “CORRA Compounded Index Cessation Event” means:

(1) a public statement or publication of information by or on behalf of the administrator of CORRA Compounded Index announcing that it has ceased or will cease to provide CORRA Compounded Index permanently or indefinitely, provided that, at the time of the statement or publication, there is no successor administrator that will continue to provide CORRA Compounded Index; or

(2) a public statement or publication of information by the regulatory supervisor for the administrator of CORRA Compounded Index (if applicable), the Bank of Canada, an insolvency official with jurisdiction over the administrator for CORRA Compounded Index, a resolution authority with jurisdiction over the administrator for CORRA Compounded Index or a court or an entity with similar insolvency or resolution authority over the administrator for CORRA Compounded Index, which states that the administrator of CORRA Compounded Index has ceased or will cease to provide CORRA Compounded Index permanently or indefinitely, provided that, at the time of the statement or publication, there is no successor administrator that will continue to provide CORRA Compounded Index.

The term “Fallback Index Cessation Effective Date” means, in respect of one or more Fallback Index Cessation Events, the first date on which the Applicable Fallback Rate is no longer provided. If the Applicable Fallback Rate ceases to be provided on the same day that it is required to determine the rate for an interest determination date pursuant to the terms of this Security but it was provided at the time at which it is to be observed pursuant to the terms of this Security (or, if no such time is specified in the terms and provisions of this Security, at the time at which it is ordinarily published), then the Fallback Index Cessation Effective Date will be the next day on which the rate would ordinarily have been published.

The term “Fallback Index Cessation Event” means:

(1) a public statement or publication of information by or on behalf of the administrator or provider of the Applicable Fallback Rate announcing that it has ceased or will cease to provide the Applicable Fallback Rate permanently or indefinitely, provided that, at the time of the statement or publication, there is no successor administrator or provider that will continue to provide the Applicable Fallback Rate; or

 

(Face of Security continued on next page)

-8-


(2) a public statement or publication of information by the regulatory supervisor for the administrator or provider of the Applicable Fallback Rate, the Bank of Canada, an insolvency official with jurisdiction over the administrator or provider for the Applicable Fallback Rate, a resolution authority with jurisdiction over the administrator or provider for the Applicable Fallback Rate or a court or an entity with similar insolvency or resolution authority over the administrator or provider for the Applicable Fallback Rate, which states that the administrator or provider of the Applicable Fallback Rate has ceased or will cease to provide the Applicable Fallback Rate permanently or indefinitely, provided that, at the time of the statement or publication, there is no successor administrator or provider that will continue to provide the Applicable Fallback Rate.

The term “interest determination date” means the date that is two Bank of Canada business days before each Interest Payment Date (or, in the case of the final interest period of this Security, the stated maturity date of this Security or, if applicable, the redemption date for this Security).

The term “interest period” means the period beginning on and including March 5, 2026 to, but excluding, the first Interest Payment Date and each successive period from and including an Interest Payment Date to but excluding the next Interest Payment Date (or, in any such case if applicable, to the Maturity of the principal hereof), subject to the provisions under “Payments Due on a Business Day” below.

The term “observation period” means, in respect of each interest period, the period from, and including, the date two Bank of Canada business days preceding the first date in such interest period to, but excluding, the date two Bank of Canada business days preceding the Interest Payment Date for such period (or, in the case of the final interest period of this Security, the stated maturity date of this Security or, if this Security is redeemed prior to the stated maturity date, the redemption date for this Security).

The term “Reference Rate Administrator” means the Bank of Canada or any successor administrator for CORRA and/or the CORRA Compounded Index or the administrator (or its successor) of an Applicable Fallback Rate, as applicable.

The term “Relevant Original Fixing Date” means, unless otherwise agreed, the day on which CORRA or CORRA Compounded Index, as applicable, would have been observed.

 

(Face of Security continued on next page)

-9-


Other than calculations of Compounded CORRA as described above, all percentages resulting from any calculation with respect to this Security shall be rounded upward or downward, as appropriate, to the next higher or lower one hundred-thousandth of a percentage point (e.g., 9.876541% (or .09876541) being rounded down to 9.87654% (or .0987654) and 9.876545% (or .09876545) being rounded up to 9.87655% (or .0987655)). All amounts used in or resulting from any calculation with respect to this Security will be rounded upward or downward, as appropriate, to the nearest cent with one-half or more of a cent being rounded upward.

The interest so payable, and punctually paid or made available for payment, on any Interest Payment Date will, as provided in the Indenture, be paid to the Person in whose name this Security (or one or more Predecessor Securities) is registered at the close of business on the Regular Record Date for such interest, which shall be the calendar day (whether or not a Business Day, as defined below) next preceding such Interest Payment Date (or, if such interest is to be paid on another day as provided below, next preceding such other day). Any interest so payable, but not punctually paid or made available for payment, on any Interest Payment Date will forthwith cease to be payable to the Holder on such Regular Record Date and such Defaulted Interest may either be paid to the Person in whose name this Security (or one or more Predecessor Securities) is registered at the close of business on a Special Record Date for the payment of such Defaulted Interest to be fixed by the Trustee, notice whereof being given to the Holder of this Security not less than 10 days prior to such Special Record Date, or be paid in any other lawful manner not inconsistent with the requirements of any securities exchange on which this Security may be listed, and upon such notice as may be required by such exchange, all as more fully provided in the Indenture. For the purpose of determining the Holder at the close of business on any relevant record date when business is not being conducted, the close of business will mean 5:00 P.M., New York City time, on that day.

Solely for the purposes of disclosure under the Interest Act (Canada), the yearly rate of interest to which interest calculated under the Security for any period in any calendar year (the “calculation period”) is equivalent, is the rate payable under the Security in respect of the calculation period multiplied by a fraction the numerator of which is the actual number of days in such calendar year and the denominator of which is the actual number of days in the calculation period.

Currency and Manner of Payment

Payment of the principal of and premium or interest on this Security will be made in Canadian dollars. Notwithstanding any other provision of this Security or the Indenture, if this Security is a Global Security, any payment in respect of this Security may be made pursuant to the Applicable Procedures of the Depositary as permitted in the Indenture.

 

(Face of Security continued on next page)

-10-


Subject to the prior paragraph and except as provided in the next paragraph, payment of any amount payable on this Security will be made at the office or agency of the Company maintained for that purpose in Toronto, Ontario (and at any other office or agency maintained by the Company for that purpose), against surrender of this Security in the case of any payment due at the Maturity of the principal hereof (other than any payment of interest that first becomes due on an Interest Payment Date); provided, however, that, at the option of the Company and subject to the next paragraph, payment of interest may be made by check mailed to the address of the Person entitled thereto as such address shall appear in the Security Register.

Subject to the second preceding paragraph, payment of any amount payable on this Security will be made by wire transfer of immediately available funds to an account maintained by the payee with a bank located in Toronto, Ontario if (i) the principal of this Security is at least CAD1,000,000 and (ii) the Holder entitled to receive such payment transmits a written request for such payment to be made in such manner to the Trustee at its Corporate Trust Office, Attention: Global Corporate Trust, on or before the fifth Business Day before the day on which such payment is to be made; provided that, in the case of any such payment due at the Maturity of the principal hereof (other than any payment of interest that first becomes due on an Interest Payment Date), this Security must be surrendered at the office or agency of the Company maintained for that purpose in Toronto, Ontario (or at any other office or agency maintained by the Company for that purpose) in time for the Paying Agent to make such payment in such funds in accordance with its normal procedures. Any such request made with respect to any payment on this Security payable to a particular Holder will remain in effect for all later payments on this Security payable to such Holder, unless such request is revoked on or before the fifth Business Day before a payment is to be made, in which case such revocation shall be effective for such payment and all later payments. In the case of any payment of interest payable on an Interest Payment Date, such written request must be made by the Person who is the registered Holder of this Security on the relevant Regular Record Date. The Company will pay any administrative costs imposed by banks in connection with making payments by wire transfer with respect to this Security, but any tax, assessment or other governmental charge imposed upon any payment will be borne by the Holder of this Security and may be deducted from the payment by the Company or the Paying Agent.

The Company will at all times maintain an office or agency in Toronto, Ontario for the payment of principal, interest and any other amount on this Security. The Company’s initial Paying Agent shall be Computershare Advantage Trust of Canada in Richmond Hill, Ontario.

References in this Security to Canadian dollars shall mean, as of any time, the coin or currency that is legal tender for the payment of private and public debt in Canada.

 

(Face of Security continued on next page)

-11-


Payments Due on a Business Day

Notwithstanding any provision of this Security or the Indenture, if any amount of principal, premium or interest would otherwise be due on this Security on a day (the “Specified Day”) that is not a Business Day, such amount may be paid or made available for payment on the next succeeding Business Day with the same force and effect as if such amount were paid on the Specified Day, and no interest will accrue on the amount so payable for the period from the Specified Day to such next succeeding Business Day. Interest Periods shall not be adjusted for non-Business Days, except as provided in the next paragraph.

If an Interest Payment Date scheduled to occur after March 5, 2031 would otherwise be a day that is not a Business Day, then such date shall be postponed to the next day that is a Business Day; provided that, if such next succeeding Business Day falls in the next calendar month, the Interest Payment Date shall be advanced to the immediately preceding Business Day. Notwithstanding the foregoing, an Interest Payment Date that falls on the Maturity of the principal hereof will not be changed. Any Interest Period beginning on or ending immediately prior to an Interest Payment Date that is postponed or advanced as provided in this paragraph shall be adjusted accordingly. Notwithstanding the foregoing, the initial Interest Period during the period beginning on March 5, 2031 shall begin on March 5, 2031.

For all purposes of this Security, “Business Day” means, prior to March 5, 2031, each Monday, Tuesday, Wednesday, Thursday and Friday that is not a day on which banking institutions generally are authorized or obligated by law or executive order to close in The City of New York or Toronto, Ontario; and on or after March 5, 2031, each Monday, Tuesday, Wednesday, Thursday and Friday that is not a day on which banking institutions generally are authorized or obligated by law or executive order to close in The City of New York or Toronto, Ontario and that is also a Bank of Canada business day.

“Bank of Canada business day” means a day that Schedule I banks under the Bank Act (Canada) are open for business in Toronto, Ontario, Canada, other than a Saturday or a Sunday or a public holiday in Toronto (or such revised regular publication calendar for CORRA, CORRA Compounded Index or an Applicable Fallback Rate as may be adopted by the Reference Rate Administrator from time to time).

The provisions of this section shall apply to this Security in lieu of the provisions of Section 1.13 of the Indenture.

 

(Face of Security continued on next page)

-12-


Payments Made in U.S. Dollars

Notwithstanding any provision of this Security or the Indenture, if any amount payable on this Security is payable on any day and if Canadian dollars are not available to the Company on the two Business Days before such day, due to the imposition of exchange controls, disruption in a currency market or any other circumstances beyond the control of the Company, the Company will be entitled to satisfy its obligation to pay such amount in Canadian dollars by making such payment in U.S. dollars. The amount of such payment in U.S. dollars shall be determined by an Exchange Rate Agent to be appointed by the Company, on the basis of the noon buying rate for cable transfers in The City of New York for Canadian dollars (the “Exchange Rate”) as of the latest day before the day on which such payment is to be made. Any payment made under such circumstances in U.S. dollars where the required payment is in Canadian dollars will not constitute an Event of Default under this Security or the Indenture.

Exchange Rate Agent

As used herein, the “Exchange Rate Agent” shall mean such agent appointed by the Company to act with respect to this series after the date of issuance (including any affiliate of the Company); provided that the Company may, and in its sole discretion, appoint any other institution (including any affiliate of the Company) to serve as any such agent from time to time. The Company will give the Trustee prompt written notice of any change in any such appointment. Insofar as this Security provides for any such agent to obtain rates, quotes or other data from a bank, dealer or other institution for use in making any determination hereunder, such agent may do so from any institution or institutions of the kind contemplated hereby notwithstanding that any one or more of such institutions are any such agent, affiliates of any such agent or affiliates of the Company.

All determinations made by the Exchange Rate Agent pursuant to the terms of this Security shall be, absent manifest error, conclusive for all purposes and binding on the holder of this Security and the Company, and the Exchange Rate Agent shall have no liability therefor.

Calculation Agent

As used herein, the “Calculation Agent” shall initially mean Goldman Sachs & Co. LLC; provided that the Company may, in its sole discretion, appoint any other institution (including any affiliate of the Company) to serve as any such agent from time to time. The Company will give the Trustee prompt written notice of any change in any such appointment. Insofar as this Security provides for any such agent to obtain rates, quotes or other data from a bank, dealer or other institution for use in making any determination hereunder, such agent may do so from any institution or institutions of the kind contemplated hereby notwithstanding that any one or more of such institutions are any such agent, affiliates of any such agent or affiliates of the Company. All determinations made by the Calculation Agent may be made by such agent in its sole discretion and, absent manifest error, shall be conclusive for all purposes and binding on the Holder of this Security and the Company. The Calculation Agent shall not have any liability therefor.

 

 

 

(Face of Security continued on next page)

-13-


Reference is hereby made to the further provisions of this Security set forth on the reverse hereof, which further provisions shall for all purposes have the same effect as if set forth at this place.

Unless the certificate of authentication hereon has been executed by the Trustee by manual or electronic signature, this Security shall not be entitled to any benefit under the Indenture or be valid or obligatory for any purpose.

 

(Face of Security continued on next page)

-14-


IN WITNESS WHEREOF, the Company has caused this instrument to be duly executed.

Dated: March 5, 2026

 

THE GOLDMAN SACHS GROUP, INC.
By:  

 

  Name:
  Title:

This is one of the Securities of the series designated herein and referred to in the Indenture.

Dated: March 5, 2026

 

THE BANK OF NEW YORK MELLON, as Trustee
By:  

 

  Authorized Signatory


(Reverse of Security)

1. Securities and Indenture.

This Security is one of a duly authorized issue of securities of the Company (herein called the “Securities”) issued and to be issued in one or more series under a Senior Debt Indenture, dated as of July 16, 2008 (herein called the “Indenture”, which term shall have the meaning assigned to it in such instrument), between the Company and The Bank of New York Mellon, as Trustee (herein called the “Trustee”, which term includes any successor trustee under the Indenture), and reference is hereby made to the Indenture for a statement of the respective rights, limitations of rights, duties and immunities thereunder of the Company, the Trustee and the Holders of the Securities and of the terms upon which the Securities are, and are to be, authenticated and delivered.

2. Series and Denominations.

This Security is one of the series designated on the face hereof, limited to an aggregate principal amount as shall be determined and may be increased from time to time by the Company. Any election by the Company so to increase such aggregate principal amount shall be evidenced by a certificate of an Authorized Person (as defined in the Determination of an Authorized Person, dated March 5, 2026, with respect to this series). References herein to “this series” mean the series of Securities designated on the face hereof, provided that, for purposes of Sections 6 and 7 below, the term “series” (and references to Securities of a series) shall be deemed to refer only to Securities having the same CUSIP number. The Securities of this series are issuable only in registered form without coupons in denominations of integral multiples of CAD1,000, subject to a minimum denomination of CAD100,000.

3. Additional Amounts.

If the beneficial owner of this Security is a United States Alien (as defined below), the Company will pay all additional amounts that may be necessary so that every net payment of the principal of and interest on this Security to such beneficial owner, after deduction or withholding for or on account of any present or future tax, assessment or governmental charge imposed with respect to such payment by any U.S. Taxing Authority (as defined below), will not be less than the amount provided for in this Security to be then due and payable; provided, however, that the Company shall have no obligation to pay additional amounts for or on account of any one or more of the following:

 

(Face of Security continued on next page)

-16-


(i) any tax, assessment or other governmental charge imposed solely because at any time there is or was a connection between such beneficial owner (or between a fiduciary, settlor, beneficiary, shareholder or member of such beneficial owner, if such beneficial owner is an estate, trust, partnership or corporation) and the United States (as defined below) (other than the mere receipt of a payment on, or the ownership or holding of, a Security), including because such beneficial owner (or such fiduciary, settlor, beneficiary, shareholder or member) at any time, for U.S. federal income tax purposes: (a) is or was a citizen or resident, or is or was treated as a resident, of the United States, (b) is or was present in the United States, (c) is or was engaged in a trade or business in the United States, (d) has or had a permanent establishment in the United States, (e) is or was a domestic or foreign personal holding company, a passive foreign investment company or a controlled foreign corporation, (f) is or was a corporation that accumulates earnings to avoid U.S. federal income tax or (g) is or was a “10-percent shareholder” of the Company as defined in Section 871(h)(3) of the U.S. Internal Revenue Code or any successor provision;

(ii) any tax, assessment or governmental charge imposed solely because of a change in applicable law or regulation, or in any official interpretation or application of applicable law or regulation, that becomes effective more than 15 days after the day on which the payment becomes due or is duly provided for, whichever occurs later;

(iii) any estate, inheritance, gift, sales, excise, transfer, wealth or personal property tax or any similar tax, assessment or other governmental charge;

(iv) any tax, assessment or other governmental charge imposed solely because such beneficial owner or any other Person fails to comply with any certification, identification or other reporting requirement concerning the nationality, residence, identity or connection with the United States of the Holder or any beneficial owner of this Security, if compliance is required by statute, by regulation of the U.S. Treasury Department or by an applicable income tax treaty to which the United States is a party, as a precondition to exemption from such tax, assessment or other governmental charge;

(v) any tax, assessment or other governmental charge that is payable otherwise than by deduction or withholding from payments of principal of or interest on this Security;

(vi) any tax, assessment or other governmental charge imposed solely because the payment is to be made by a particular Paying Agent (which term may include the Company) and would not be imposed if made by another Paying Agent (which term may include the Company);

 

(Face of Security continued on next page)

-17-


(vii) any tax, assessment or other governmental charge imposed solely because the Holder (1) is a bank purchasing this Security in the ordinary course of its lending business or (2) is a bank that is neither (A) buying this Security for investment purposes only nor (B) buying this Security for resale to a third party that either is not a bank or holding this Security for investment purposes only; or

(viii) any combination of the taxes, assessments or other governmental charges described in items (i) through (vii) of this Section 3.

Additional amounts also will not be paid with respect to any payment of principal of or interest on this Security to any United States Alien who is a fiduciary or a partnership, or who is not the sole beneficial owner of any such payment, to the extent that the Company would not be required to pay additional amounts to any beneficiary or settlor of such fiduciary or any member of such a partnership, or to any beneficial owner of the payment, if that Person had been treated as the beneficial owner of this Security for this purpose.

In addition, any amounts to be paid on this Security will be paid net of any deduction or withholding imposed or required pursuant to Sections 1471 through 1474 of the U.S. Internal Revenue Code, any current or future regulations or official interpretations thereof, any agreement entered into pursuant to Section 1471(b) of the U.S. Internal Revenue Code, or any fiscal or regulatory legislation, rules or practices adopted pursuant to any intergovernmental agreement entered into in connection with the implementation of such Sections of the U.S. Internal Revenue Code, and no additional amounts will be required to be paid on account of any such deduction or withholding.

The term “United States Alien” means any Person who, for U.S. federal income tax purposes, is a nonresident alien individual, a foreign corporation, a foreign partnership one or more of the members of which is, for United States federal income tax purposes, a foreign corporation, a nonresident alien individual or a nonresident alien fiduciary of a foreign estate or trust, or a nonresident alien fiduciary of an estate or trust that is not subject to U.S. federal income tax on a net income basis on income or gain from this Security. For the purposes of this Section 3 and Section 4 only, (a) the term “United States” means the United States of America (including the states thereof and the District of Columbia), together with the territories, possessions and all other areas subject to the jurisdiction of the United States of America and (b) the term “U.S. Taxing Authority” means the United States of America or any state, other jurisdiction or taxing authority in the United States.

Except as specifically provided in this Security, the Company shall not be required to make any payment with respect to any tax, assessment or other governmental charge imposed by any government or any political subdivision or taxing authority thereof or therein.

 

(Face of Security continued on next page)

-18-


Whenever in the Securities of this series (or in the Indenture, including in Sections 5.01(1) and (2) thereof, insofar as applicable to this series) there is a reference, in any context, to the payment of the principal of or interest on any Security of this series, such mention shall be deemed to include mention of any payment of additional amounts to United States Aliens in respect of such payment of principal or interest to the extent that, in such context, such additional amounts are, were or would be payable in respect thereof pursuant to this Section 3 or any corresponding section of another Security of this series, as the case may be. Express mention of the payment of additional amounts in any provision of any Security of this series shall not be construed as excluding additional amounts in the provisions of any Security of this series (or of the Indenture insofar as it applies to this series) where such express mention is not made.

 

(Face of Security continued on next page)

-19-


4. Redemption at the Company’s Option.

(a) The Securities of this series may be redeemed, as a whole but not in part, at the option of the Company, at a redemption price equal to 100% of the principal amount of the Securities to be redeemed, together with interest accrued and unpaid to but excluding the Redemption Date, if, as a result of any amendment to, or change in, the laws or regulations of any U.S. Taxing Authority (as defined in Section 3 above), or any amendment to or change in any official interpretation or application of such laws or regulations, which amendment or change becomes effective or is announced on or after February 26, 2026, the Company will become obligated to pay, on the next Interest Payment Date, additional amounts in respect of any Security of this series pursuant to Section 3 of this Security or any corresponding section of another Security of this series. If the Company becomes entitled to redeem the Securities of this series, it may do so on any day thereafter pursuant to the Indenture; provided, however, that (1) the Company gives the Holder of this Security notice of such redemption not more than 60 days nor less than 30 days prior to the Redemption Date as provided in the Indenture, (2) no such notice of redemption may be given earlier than 90 days prior to the next Interest Payment Date on which the Company would be obligated to pay such additional amounts and (3) at the time such notice is given, such obligation to pay such additional amounts remains in effect. Immediately prior to the giving of any notice of redemption of Securities pursuant to this Section 4(a), the Company will deliver to the Trustee an Officers’ Certificate stating that the Company is entitled to effect such redemption and setting forth in reasonable detail a statement of facts showing that the conditions precedent to the right of the Company to so redeem the Securities have occurred. Interest installments due on or prior to a Redemption Date will be payable to the Holder of this Security or one or more Predecessor Securities, of record at the close of business on the relevant record date, all as provided in the Indenture.

(b) In addition, the Securities of this series may be redeemed, at the Company’s option, in whole at any time, or in part from time to time, on or after September 5, 2026 (or, if any additional Securities of this series are issued after March 5, 2026, beginning six months after the last issue date for the additional Securities of this series), and to, but excluding, March 5, 2031, at a redemption price equal to the greater of (1) 100% of the principal amount of the Securities to be redeemed or (2) the Canada Yield Price, as described below, plus, in each case, accrued and unpaid interest to but excluding the Redemption Date. Notice of a redemption pursuant to this Section 4(b) must be provided to the Holder of this Security not more than 60 calendar days nor less than 5 Business Days prior to the Redemption Date. Interest installments due on or prior to a Redemption Date will be payable to the Holder of this Security or one or more Predecessor Securities, of record at the close of business on the relevant record date, all as provided in the Indenture.

 

(Face of Security continued on next page)

-20-


The “Canada Yield Price” of the Securities of this series (or the portion thereof to be redeemed) shall be calculated to provide a yield to maturity, compounded semi-annually and calculated in accordance with generally accepted Canadian financial practice, equal to the sum of the Government of Canada Yield calculated as of approximately 10:15 a.m. (Toronto time) on the third business day in Toronto preceding the Redemption Date, plus 21.5 basis points, assuming for this purpose that the Securities of this series would mature on March 5, 2031 (rather than the Stated Maturity of the principal hereof).

“Government of Canada Yield” means, on any date, with respect to any Securities of this series, the yield to maturity on such date, compounded semi-annually and calculated in accordance with generally accepted Canadian financial practice, which an assumed new issue of non-callable Government of Canada bonds denominated in Canadian dollars would carry if issued in Canada at 100% of its principal amount on such date, with a term to maturity as nearly as possible equal to the remaining term to maturity of such Securities, assuming for this purpose that the Securities of this series would mature on March 5, 2031 (rather than the Stated Maturity of the principal hereof). The Government of Canada Yield will be calculated by the Company as the average (rounded to three decimal points) of the bid-side yields determined by two major Canadian investment dealers selected by the Company.

(c) In addition, on March 5, 2031 or on or after February 5, 2032, the Securities of this series may be redeemed, at the Company’s option, in whole, but not in part, at a redemption price equal to 100% of the principal amount of the Securities to be redeemed, together with accrued and unpaid interest to but excluding the Redemption Date. Notice of a redemption pursuant to this Section 4(c) must be provided to the Holder of this Security not more than 60 calendar days nor less than 5 Business Days prior to the Redemption Date. Interest installments due on or prior to a Redemption Date will be payable to the Holder of this Security or one or more Predecessor Securities, of record at the close of business on the relevant record date, all as provided in the Indenture.

5. Defeasance.

The Indenture contains provisions for defeasance at any time of the entire indebtedness of this Security or certain restrictive covenants, Events of Default and Covenant Breaches with respect to this Security, in each case upon compliance with certain conditions set forth in the Indenture. Both of such provisions are applicable to this Security.

 

(Face of Security continued on next page)

-21-


6. Modification and Waiver.

The Indenture permits, with certain exceptions as therein provided, the amendment thereof and the modification of the rights and obligations of the Company and the rights of the Holders of the Securities to be affected under the Indenture at any time by the Company and the Trustee with the consent of the Holders of a majority in principal amount of all Securities at the time Outstanding to be affected, considered together as one class for this purpose (such Securities to be affected may be Securities of the same or different series and, with respect to any series, may comprise fewer than all the Securities of such series). The Indenture also contains provisions (i) permitting the Holders of a majority in principal amount of the Securities at the time Outstanding to be affected under the Indenture, considered together as one class for this purpose (such affected Securities may be Securities of the same or different series and, with respect to any particular series, may comprise fewer than all the Securities of such series), on behalf of the Holders of all Securities so affected, to waive compliance by the Company with certain provisions of the Indenture and (ii) permitting the Holders of a majority in principal amount of the Securities at the time Outstanding of any series to be affected under the Indenture (with each such series considered separately for this purpose), on behalf of the Holders of all Securities of such series, to waive certain past defaults under the Indenture and their consequences. Any such consent or waiver by the Holder of this Security shall be conclusive and binding upon such Holder and upon all future Holders of this Security and of any Security issued upon the registration of transfer hereof or in exchange herefor or in lieu hereof, whether or not notation of such consent or waiver is made upon this Security. For the purpose of this paragraph, the term “default” means, with respect to any Securities, any event which is, or after notice or lapse of time or both would become, an Event of Default or Covenant Breach in respect of such Securities.

7. Remedies.

If an Event of Default with respect to Securities of this series shall occur and be continuing, the principal of the Securities of this series may be declared due and payable in the manner and with the effect provided in the Indenture. With respect to this Security, the only Events of Default are payment defaults that continue for 30 days and insolvency events, all as specified in the Indenture. Any other default under or breach of the Indenture or the Securities will not give rise to an Event of Default, whether after notice, the passage of time or otherwise.

As provided in and subject to the provisions of the Indenture, the Holder of this Security shall not have the right to institute any proceeding with respect to the Indenture or for the appointment of a receiver or trustee or for any other remedy thereunder, unless such Holder shall have previously given the Trustee written notice of a continuing Event of Default or Covenant Breach with respect to the Securities of this

 

(Face of Security continued on next page)

-22-


series, the Holders of not less than 25% in principal amount of the Securities of this series at the time Outstanding shall have made written request to the Trustee to institute proceedings in respect of such Event of Default or Covenant Breach, as applicable, as Trustee and offered the Trustee indemnity reasonably satisfactory to it, and the Trustee shall not have received from the Holders of a majority in principal amount of Securities of this series at the time Outstanding a direction inconsistent with such request, and shall have failed to institute any such proceeding, for 60 days after receipt of such notice, request and offer of indemnity. The foregoing shall not apply to any suit instituted by the Holder of this Security for the enforcement of any payment of principal hereof or any premium or interest hereon on or after the respective due dates expressed herein.

If so provided pursuant to the terms of any specific Securities, the above-referenced provisions of the Indenture regarding the ability of Holders to waive certain defaults, or to request the Trustee to institute proceedings (or to give the Trustee other directions) in respect thereof, may be applied differently with regard to such Securities.

No reference herein to the Indenture and no provision of this Security or of the Indenture shall alter or impair the obligation of the Company, which is absolute and unconditional, to pay the principal of and premium (if any) and interest on this Security at the times, place and rate, and in the coin or currency, herein prescribed. As used in this Section 7, the term “series” (and references to the Securities of a series) shall mean only Securities having the same CUSIP number.

8. Transfer and Exchange.

As provided in the Indenture and subject to certain limitations therein set forth, the transfer of this Security is registrable in the Security Register, upon surrender of this Security for registration of transfer at the office or agency of the Company in any place where the principal of and interest on this Security are payable, duly endorsed by, or accompanied by a written instrument of transfer in form satisfactory to the Company and the Security Registrar duly executed by, the Holder hereof or his or her attorney duly authorized in writing, and thereupon one or more new Securities of this series and of like tenor, of authorized denominations and for the same aggregate principal amount, will be issued to the designated transferee or transferees.

As provided in the Indenture and subject to certain limitations therein set forth, Securities of this series are exchangeable for a like aggregate principal amount of Securities of this series and of like tenor of a different authorized denomination, as requested by the Holder surrendering the same.

 

(Face of Security continued on next page)

-23-


No service charge shall be made for any such registration of transfer or exchange, but the Company may require payment of a sum sufficient to cover any tax or other governmental charge payable in connection therewith.

Prior to due presentment of this Security for registration of transfer, the Company, the Trustee and any agent of the Company or the Trustee may treat the Person in whose name this Security is registered as the owner hereof for all purposes, whether or not this Security be overdue, and neither the Company, the Trustee nor any such agent shall be affected by notice to the contrary.

This Security is a Global Security and is subject to the provisions of the Indenture relating to Global Securities, including the limitations in Section 3.05 thereof on transfers and exchanges of Global Securities except that for the purposes of all Global Securities of this series, the first sentence of Clause (2) in the last paragraph of Section 3.05 of the Indenture shall be modified to read in its entirety as follows:

Notwithstanding any other provision in this Indenture, and subject to such applicable provisions, if any, as may be specified as contemplated by Section 3.01, no Global Security may be exchanged in whole or in part for Securities registered, and no transfer of a Global Security in whole or in part may be registered, in the name of any Person other than the Depositary for such Global Security or a nominee thereof unless (A) such Depositary has notified the Company that it (i) is unwilling or unable to continue as Depositary for such Global Security or (ii) has ceased to be a recognized clearing agency under the Securities Act (Ontario) or a recognized clearing house under the Securities Act (Quebec) or a similarly recognized entity under other applicable Canadian or provincial securities legislation, (B) there shall have occurred and be continuing an Event of Default or Covenant Breach with respect to such Global Security or (C) the Company has executed and delivered to the Trustee a Company Order stating that such Global Security shall be exchanged in whole for Securities that are not Global Securities (in which case such exchange shall promptly be effected by the Trustee).

9. Notices.

Notices that are required hereunder or under the Indenture to be given to Holders of the Securities of this series shall be given to Holders of the Securities of this series as set forth in the Indenture.

 

(Face of Security continued on next page)

-24-


10. Governing Law.

This Security and the Indenture shall be governed by and construed in accordance with the laws of the State of New York.

11. Terms Defined in the Indenture.

All terms used in this Security which are defined in the Indenture but not otherwise defined herein shall have the meanings assigned to them in the Indenture.

 

 

 

 

(Face of Security continued on next page)

-25-


ASSIGNMENT

FOR VALUE RECEIVED, the undersigned hereby sell(s), assign(s) and transfer(s) unto                                                                                               

PLEASE INSERT SOCIAL SECURITY OR OTHER

IDENTIFYING NUMBER OF ASSIGNEE

 

/________________/

 

 

(Please Print or Typewrite Name and Address

Including Postal Zip Code of Assignee)

 

 

the attached Security and all rights thereunder, and hereby irrevocably constitutes and appoints                                                                                                   to transfer said Security on the books of the Company, with full power of substitution in the premises.

Dated:

Signature Guaranteed

 

 

    

 

NOTICE: Signature must be guaranteed.      NOTICE: The signature to this assignment must correspond with the name of the Holder as written upon the face of the attached Security in every particular, without alteration or any change whatever.