Exhibit 4.4
TERMS AND CONDITIONS OF THE NOTES
The following is the text of the terms and conditions which, as completed by the relevant Final Terms, will be endorsed on each Note in definitive form issued under the Programme. The terms and conditions applicable to any Note in global form will differ from those terms and conditions which would apply to the Note were it in definitive form to the extent described under "Summary of Provisions Relating to the Notes while in Global Form" below.
| 1. | Introduction |
| (a) | Programme |
Deere & Company ("Deere"), John Deere Capital Corporation ("Deere Capital"), John Deere Bank S.A. ("Deere Luxembourg") and John Deere Cash Management ("Deere Cash Management") (each an "Issuer", and, collectively the "Issuers") have established a Euro Medium Term Note Programme (the "Programme") for the issuance of up to U.S.$9,000,000,000 in aggregate principal amount of notes outstanding at any time (the "Notes"). Notes issued by Deere Cash Management are guaranteed by Deere (a "Guarantor") and Notes issued by Deere Luxembourg are guaranteed by Deere Capital (a "Guarantor" and together with Deere, the "Guarantors").
In these Conditions, references to "Issuer" are to Deere, Deere Capital, Deere Luxembourg or Deere Cash Management, as the case may be, as the Issuer of the Notes under the Programme and references to the "relevant Issuer" shall be construed accordingly. In these Conditions, references to "Guarantor" are to Deere or Deere Capital as Guarantor, in the case of Deere, of Notes to be issued by Deere Cash Management and, in the case of Deere Capital, of Notes to be issued by Deere Luxembourg and references to the "relevant Guarantor" shall be construed accordingly.
| (b) | Final Terms |
Notes issued under the Programme are issued in series (each a "Series") and each Series may comprise one or more tranches (each a "Tranche") of Notes. Each Tranche is the subject of a final terms (the "Final Terms") which completes these terms and conditions (the "Conditions"). The terms and conditions applicable to any particular Tranche of Notes are these Conditions as completed by the relevant Final Terms. The applicable Final Terms will specify whether the Issuer is Deere, Deere Capital, Deere Luxembourg or Deere Cash Management. In the event of any inconsistency between these Conditions and the relevant Final Terms, the relevant Final Terms shall prevail.
| (c) | Agency Agreement |
The Notes are the subject of an amended and restated issue and paying agency agreement dated 12 June 2024 (the "Agency Agreement") between the Issuers, the Guarantors, The Bank of New York Mellon, London Branch (the "Fiscal Agent", which expression includes any successor fiscal agent appointed from time to time in connection with the Notes), The Bank of New York Mellon SA/NV, Luxembourg Branch as registrar (the "Registrar") which expression includes any successor registrar appointed from time to time in connection with the Notes, the paying agents named therein (together with the Fiscal Agent, the "Paying Agents", which expression includes any successor or additional paying agents appointed from time to time in connection with the Notes) and the transfer agents named therein (together with the Registrar, the "Transfer Agents", which expression includes any successor or additional transfer agents appointed from time to time in connection with the Notes). In these Conditions references to "Agents" are to the Paying Agents and the Transfer Agents and any reference to "Agent" is to any one of them.
| (d) | Deeds of Guarantee |
Notes issued by Deere Cash Management are the subject of a deed of guarantee dated 12 June 2024 (the "Deere Deed of Guarantee") entered into by Deere. Notes issued by Deere Luxembourg are the subject of a deed of guarantee dated 12 June 2024 (the "JDCC Deed of Guarantee" together with the Deere Deed of Guarantee, the "Deeds of Guarantee" and each a "Deed of Guarantee") entered into by Deere Capital.
| (e) | Deed of Covenant |
The Notes may be issued in bearer form ("Bearer Notes"), or in registered form ("Registered Notes"). The Notes have the benefit of a Deed of Covenant dated 12 June 2024 ("the Deed of Covenant"). The Registered Notes are constituted by the Deed of Covenant entered into by the relevant Issuer.
| (f) | The Notes |
All subsequent references in these Conditions to "Notes" are to the Notes which are the subject of the relevant Final Terms. Copies of the relevant Final Terms are available for inspection by Noteholders during normal business hours at the Specified Office of the Fiscal Agent, the initial Specified Office of which is set out below.
| (g) | Summaries |
Certain provisions of these Conditions are summaries of the Agency Agreement, the Deeds of Guarantee and the Deed of Covenant and are subject to their detailed provisions. Noteholders and the holders of the related interest coupons, if any, (the "Couponholders" and the "Coupons", respectively) are bound by, and are deemed to have notice of, all the provisions of the Agency Agreement, the Deeds of Guarantee and the Deed of Covenant applicable to them. Copies of the Agency Agreement, the Deeds of Guarantee and the Deed of Covenant are available for inspection by Noteholders during normal business hours at the Specified Offices of each of the Agents, the initial Specified Offices of which are set out below.
| 2. | Interpretation |
| (a) | Definitions |
In these Conditions the following expressions have the following meanings:
"2006 ISDA Definitions" means, in relation to a Series of Notes, the 2006 ISDA Definitions (as supplemented, amended and updated as at the date of issue of the first Tranche of the Notes of such Series) as published by ISDA (copies of which may be obtained from ISDA at www.isda.org);
"2021 ISDA Definitions" means, in relation to a Series of Notes, the latest version of the 2021 ISDA Interest Rate Derivatives Definitions (including each Matrix (and any successor Matrix thereto), as defined in such 2021 ISDA Interest Rate Derivatives Definitions) as at the date of issue of the first Tranche of Notes of such Series, as published by ISDA on its website (www.isda.org);
"Accrual Yield" has the meaning given in the relevant Final Terms;
"Additional Business Centre(s)" means the city or cities specified as such in the relevant Final Terms;
"Additional Financial Centre(s)" means the city or cities specified as such in the relevant Final Terms;
"Attributable Debt" shall mean, as of any particular time, the present value, discounted at a rate per annum equal to the weighted average interest rate of all Notes denominated in euro outstanding at the time under the Programme, compounded semi-annually, of the obligation of a lessee for rental payments during the remaining term of any lease (including any period for which such lease has been extended or may, at the option of the lessor, be extended); the net amount of rent required to be paid for any such period shall be the total amount of the rent payable by the lessee with respect to such period, but may exclude amounts required to be paid on account of maintenance and repairs, insurance, taxes, assessments, water rates and similar charges; and, in the case of any lease which is terminable by the lessee upon the payment of a penalty, such net amount shall also include the amount of such penalty, but no rent shall be considered as required to be paid under such lease subsequent to the first date upon which it may be so terminated;
"BBSW" means, in respect of any Specified Currency and any Specified Period, the interest rate benchmark known as the Bank Bill Swap reference rate which is calculated and published by a
designated distributor (currently Thomson Reuters) in accordance with the requirements from time to time of the Australian Financial Markets Association (or any other person which takes over the administration of that rate) based on estimated interbank borrowing rates for a number of designated currencies and maturities which are provided, in respect of each such currency, by a panel of contributor banks (details of historic BBSW rates can be obtained from the designated distributor);
"Business Day" means:
| (i) | in relation to any sum payable in euro, a TARGET Settlement Day and a day on which commercial banks and foreign exchange markets settle payments generally in each (if any) Additional Business Centre; |
"Business Day Convention", in relation to any particular date, has the meaning given in the relevant Final Terms and, if so specified in the relevant Final Terms, may have different meanings in relation to different dates and, in this context, the following expressions shall have the following meanings:
| (i) | "Following Business Day Convention" means that the relevant date shall be postponed to the first following day that is a Business Day; |
"Calculation Agent" means the Fiscal Agent or such other Person specified in the relevant Final Terms as the party responsible for calculating the Rate(s) of Interest and Interest Amount(s) and/or such other amount(s) as may be specified in the relevant Final Terms;
"Calculation Amount" has the meaning given in the relevant Final Terms;
"Central Bank" means the Central Bank of Ireland, competent authority for the purposes of the EU Prospectus Regulation;
"CNY" means Renminbi Yuan, the lawful currency of the PRC;
"CNY Dealer" means an independent foreign exchange dealer of international repute active in the Renminbi exchange market in Hong Kong;
"Code" means the U.S. Internal Revenue Code of 1986, as amended;
"Consolidated Net Worth" shall mean the aggregate of capital and surplus of Deere and its consolidated Subsidiaries, less minority interests in Subsidiaries, determined in accordance with accounting principles generally accepted in the United States of America ("GAAP");
"Coupon Sheet" means, in respect of a Note, a coupon sheet relating to the Note;
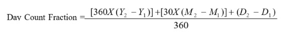
"Day Count Fraction" means (subject as provided in Condition 6 (Fixed Rate Note Provisions)), in respect of the calculation of an amount for any period of time (whether or not constituting an Interest Period) (the "Calculation Period"), such day count fraction as may be specified in these Conditions or the relevant Final Terms and:
| (i) | if "Actual/Actual (ICMA)" is so specified, means: |
| (a) | where the Calculation Period is equal to or shorter than the Regular Period during which it falls, the actual number of days in the Calculation Period divided by the product of (1) the actual number of days in such Regular Period and (2) the number of Regular Periods in any year; and |
| (b) | where the Calculation Period is longer than one Regular Period, the sum of: |

where:
"Y1" is the year, expressed as a number, in which the first day of the Calculation Period falls;
"Y2" is the year, expressed as a number, in which the day immediately following the last day included in the Calculation Period falls;
"M1" is the calendar month, expressed as a number, in which the first day of the Calculation Period falls;
"M2" is the calendar month, expressed as number, in which the day immediately following the last day included in the Calculation Period falls;
"D1" is the first calendar day, expressed as a number, of the Calculation Period, unless such number would be 31, in which case D1 will be 30; and
"D2" is the calendar day, expressed as a number, immediately following the last day included in the Calculation Period, unless such number would be 31 and D1 is greater than 29, in which case D2 will be 30;

where:
"Y1" is the year, expressed as a number, in which the first day of the Calculation Period falls;
"Y2" is the year, expressed as a number, in which the day immediately following the last day included in the Calculation Period falls;
"M1" is the calendar month, expressed as a number, in which the first day of the Calculation Period falls;
"M2" is the calendar month, expressed as a number, in which the day immediately following the last day included in the Calculation Period falls;
"D1" is the first calendar day, expressed as a number, of the Calculation Period, unless such number would be 31, in which case D1 will be 30; and
"D2" is the calendar day, expressed as a number, immediately following the last day included in the Calculation Period, unless such number would be 31, in which case D2 will be 30;

where:
"Y1" is the year, expressed as a number, in which the first day of the Calculation Period falls;
"Y2" is the year, expressed as a number, in which the day immediately following the last day included in the Calculation Period falls;
"M1" is the calendar month, expressed as a number, in which the first day of the Calculation Period falls;
"M2" is the calendar month, expressed as a number, in which the day immediately following the last day included in the Calculation Period falls;
"D1" is the first calendar day, expressed as a number, of the Calculation Period, unless (i) that day is the last day of February or (ii) such number would be 31, in which case D1 will be 30; and
"D2" is the calendar day, expressed as a number, immediately following the last day included in the Calculation Period, unless (i) that day is the last day of February but not the Maturity Date or (ii) such number would be 31, in which case D2 will be 30,
provided, however, that in each such case the number of days in the Calculation Period is calculated from and including the first day of the Calculation Period to but excluding the last day of the Calculation Period;
"Early Redemption Amount (Tax)" means, in respect of any Note, its principal amount or such other amount as may be specified in, or determined in accordance with, the relevant Final Terms;
"Early Termination Amount" means, in respect of any Note, its principal amount or such other amount as may be specified in, or determined in accordance with, these Conditions or the relevant Final Terms;
"EU Prospectus Regulation" means Regulation (EU) 2017/1129, as amended or superseded;
"EURIBOR" means, in respect of any Specified Currency and any Specified Period, the interest rate benchmark known as the Euro zone interbank offered rate which is calculated and published by a designated distributor (currently Thomson Reuters) in accordance with the requirements from time to time of the European Money Markets Institute (or any person which takes over administration of that rate);
"Extraordinary Resolution" has the meaning given in the Agency Agreement;
"Excluded Sale and Lease-back Transaction" means (A) a Sale and Lease-back Transaction which, if the Attributable Debt in respect of such Sale and Lease-back Transaction had been a Security Interest, would have been permitted by paragraph (i) of the definition of Permitted Security Interest and (B) other Sale and Lease-back Transactions where the net proceeds of such sale are at least equal to the fair value (as determined by the Board of Directors of Deere) of the property and (i) Deere, within 120 days of the effective date of any such arrangement, applies an amount equal to the fair value (as so determined) of such property to any Notes redeemed prior to their Maturity Date or the purchase and retirement of Notes or to the payment or other retirement of funded debt for money borrowed, incurred or assumed by Deere which ranks senior to or pari passu with the Notes or of funded debt for money borrowed, incurred or assumed by any Material Subsidiary (other than, in either case, funded debt owned by Deere or any Material Subsidiary), or
(ii) Deere shall, at or prior to the time of entering into the Sale and Lease-back Transaction, enter
into a bona fide commitment or commitments to expend for the acquisition or improvement of any Important Property an amount at least equal to the fair value (as so determined) of such property. For this purpose, funded debt means any Debt (as defined in Condition 5(a) (Negative Pledge with respect to Senior Notes)) which by its terms matures at or is extendable or renewable at the sole option of the obligor without requiring the consent of the obligee to a date more than twelve months after the date of the creation of such Debt;
"FATCA" means (a) sections 1471 to 1474 of the Code or any associated regulations or other official guidance; (b) any treaty, law, regulation or other official guidance enacted in any other jurisdiction that seeks to implement a similar financial account information reporting or withholding tax regime; (c) any intergovernmental agreement, treaty, regulation, guidance, standard or other agreement between or among Governmental Authorities entered into in order to comply with, facilitate, supplement or implement any matter described in (a) through (b) above; and (d) any agreement pursuant to the implementation of any matter described in (a) or (c) above with the U.S. Internal Revenue Service, the U.S. government or any governmental or taxation authority in any other jurisdiction;
"Final Redemption Amount" means, in respect of any Note, its principal amount or such other amount as may be specified in, or determined in accordance with, the relevant Final Terms;
"Fixed Coupon Amount" has the meaning given in the relevant Final Terms;
"Governmental Authority" means any de facto or de jure government (or any agency or instrumentality thereof), court, tribunal, administrative or other governmental authority or any other entity (private or public) charged with the regulation of the financial markets (including the central bank) of Hong Kong;
"Guarantee" means, in relation to any Indebtedness of any Person, any obligation of another Person to pay such Indebtedness;
"Guarantee of the Notes" means either the guarantee of the Notes given by Deere in the Deere Deed of Guarantee or the guarantee of the Notes given by Deere Capital in the JDCC Deed of Guarantee;
"Holder", in the case of Bearer Notes, has the meaning given in Condition 3(b) (Form, Denomination, Title and Transfer – Title to Bearer Notes) and, in the case of Registered Notes has the meaning given in Condition 3(d) (Form, Denomination, Title and Transfer – Title to Registered Notes);
"Hong Kong" means the Hong Kong Special Administrative Region of the PRC;
"Illiquidity" means where the general Renminbi exchange market in Hong Kong becomes illiquid and, as a result of which, the Issuer cannot obtain sufficient Renminbi in order to satisfy its obligation to pay interest and principal (in whole or in part) in respect of the Notes as determined by the Issuer in good faith and in a commercially reasonable manner following consultation (if practicable) with two other CNY Dealers;
"Important Property" means (a) any manufacturing plant, including land, all buildings and other improvements thereon, and all manufacturing machinery and equipment located therein, used by the Issuer or Deere or a Material Subsidiary primarily for the manufacture of products to be sold by the Issuer or Deere or such Material Subsidiary, (b) the executive office and administrative building of Deere in Moline, Illinois, and (c) research and development facilities, including land and buildings and other improvements thereon and research and development machinery and equipment located therein, in each case, used by the Issuer or Deere or a Material Subsidiary; except in any case property of which the aggregate fair value as determined by the Board of Directors of Deere does not at the time exceed 1 per cent. of Consolidated Net Worth of Deere, as shown on the audited consolidated balance sheet contained in the latest annual report to stockholders of Deere;
"Inconvertibility" means the occurrence of any event that makes it impossible for the Issuer to convert any amount due in respect of the Notes in the general Renminbi exchange market in Hong Kong, other than where such impossibility is due solely to the failure of the Issuer to comply with
any law, rule or regulation enacted by any Governmental Authority (unless such law, rule or regulation is enacted after the Issue Date and it is impossible for the Issuer, due to an event beyond its control, to comply with such law, rule or regulation);
"Indebtedness" means any indebtedness of any Person for money borrowed or raised including (without limitation) any indebtedness for or in respect of:
| (i) | amounts raised by acceptance under any acceptance credit facility; |
| (ii) | amounts raised under any note purchase facility; |
"Interest Amount" means, in relation to a Note and an Interest Period, the amount of interest payable in respect of that Note for that Interest Period;
"Interest Commencement Date" means the Issue Date of the Notes or such other date as may be specified as the Interest Commencement Date in the relevant Final Terms;
"Interest Determination Date" has the meaning given in the relevant Final Terms;
"Interest Payment Date" means the date or dates specified as such in, or determined in accordance with the provisions of, the relevant Final Terms and, if a Business Day Convention is specified in the relevant Final Terms:
| (i) | as the same may be adjusted in accordance with the relevant Business Day Convention; or |
"Interest Period" means each period beginning on (and including) the Interest Commencement Date or any Interest Payment Date and ending on (but excluding) the next Interest Payment Date (or, if the Notes are redeemed on an earlier date, the relevant redemption date);
"ISDA" means the International Swaps and Derivatives Association, Inc. (or any successor); "ISDA Definitions" has the meaning given in the relevant Final Terms;
"Issue Date" has the meaning given in the relevant Final Terms; "Luxembourg" means the Grand Duchy of Luxembourg; "Margin" has the meaning given in the relevant Final Terms;
"Material Subsidiary" shall mean any Subsidiary of Deere which is engaged in, or whose principal assets consist of property used by Deere or any Material Subsidiary in, the manufacture of products within the United States of America or Canada, or in the sale of products principally to customers located in the United States of America or Canada, except any corporation which is
a retail dealer in which Deere has, directly or indirectly, an investment under an arrangement providing for the liquidation of such investment;
"Maturity Date" has the meaning given in the relevant Final Terms;
"Maximum Redemption Amount" has the meaning given in the relevant Final Terms; "Minimum Redemption Amount" has the meaning given in the relevant Final Terms;
"Non-transferability" means the occurrence of any event that makes it impossible for the Issuer to deliver Renminbi between accounts inside Hong Kong or from an account inside Hong Kong to an account outside Hong Kong, other than where such impossibility is due solely to the failure of the Issuer to comply with any law, rule or regulation enacted by any Governmental Authority (unless such law, rule or regulation is enacted after the Issue Date and it is impossible for the Issuer, due to an event beyond its control, to comply with such law, rule or regulation);
"Noteholder", in the case of Bearer Notes, has the meaning given in Condition 3(b) (Form, Denomination, Title and Transfer – Title to Bearer Notes) and, in the case of Registered Notes, has the meaning given in Condition 3(d) (Form, Denomination, Title and Transfer – Title to Registered Notes);
"Optional Redemption Amount (Call)" means, in respect of any Note, its principal amount or such other amount as may be specified in, or determined in accordance with, the relevant Final Terms;
"Optional Redemption Amount (Put)" means, in respect of any Note, its principal amount or such other amount as may be specified in, or determined in accordance with, the relevant Final Terms;
"Optional Redemption Date (Call)" has the meaning given in the relevant Final Terms; "Optional Redemption Date (Put)" has the meaning given in the relevant Final Terms;
"Participating Member State" means a Member State of the European Union which adopts the euro as its lawful currency in accordance with the Treaty;
"Payment Business Day" means:
| (i) | if the currency of payment is euro, any day which is: |
Additional Financial Centre; or
| (ii) | if the currency of payment is not euro, any day which is: |
"Permitted Lien" means:
| (i) | any Security Interest created on or over any fixed assets or other physical properties hereafter acquired to secure all or part of the purchase price thereof or the acquiring |
hereafter of such assets or properties subject to any existing lien or charge securing indebtedness (whether or not assumed);
| (ix) | any Security Interest securing Securitisation Indebtedness; or |
"Permitted Security Interest" means:
| (i) | any Security Interest created on or over any property acquired, constructed or improved by the Issuer, Deere or any Material Subsidiary which is created or assumed contemporaneously with, or within 120 days after, such acquisition, construction or improvement to secure or provide for the payment of all or any part of the purchase price of such property or the cost of such construction or improvement incurred or (in addition to Security Interests contemplated by paragraphs (ii), (iii) and (iv) below) Security Interests on any property existing at the time of acquisition thereof provided that such Security Interest shall not apply to any Important Property theretofore owned by the Issuer, Deere or any Material Subsidiary other than, in the case of any such construction or improvement, any theretofore unimproved real property on which the property so constructed, or the improvement, is located; |
| (v) | any Security Interest created on or over any property in favour of the United States of America or any State thereof, or any department, agency or instrumentality or political subdivision of the United States of America or any State thereof, to secure partial, progress, advance or other payments pursuant to any contract or statute or to secure any indebtedness incurred for the purpose of financing all or any part of the purchase price or the cost of constructing or improving the property subject to such Security Interest and Security Interests given to secure indebtedness incurred in connection with the financing of construction of pollution control facilities, the interest on which indebtedness is exempt from income taxes under the Code; |
| (viii) | judgment liens, so long as the finality of such judgment is being contested in good faith and execution thereon is stayed; |
| (xii) | any Security Interest created on or over any Margin Stock (as defined in Regulation U of the Board of Governors of the Federal Reserve System of the United States of America) |
owned by the Issuer, Deere and its Material Subsidiaries to the extent such Margin Stock so secured exceeds 25 per cent. of the fair market value of the sum of the Important Property of the Issuer, Deere and the Material Subsidiaries plus the shares of stock (including Margin Stock) and indebtedness issued or incurred by the Material Subsidiaries; or
"Person" means any individual, company, corporation, firm, partnership, joint venture, association, organisation, state or agency of a state or other entity, whether or not having separate legal personality;
"PRC" means the People's Republic of China which, for the purpose of these Conditions, shall exclude Hong Kong, the Macao Special Administrative Region of the People's Republic of China and Taiwan;
"Principal Financial Centre" means, in relation to any currency, the principal financial centre for that currency provided, however, that:
| (i) | in relation to euro, it means the principal financial centre of such Member State of the European Union as is selected (in the case of a payment) by the payee or (in the case of a calculation) by the Calculation Agent; |
"Put Option Notice" means a notice which must be delivered to a Paying Agent by any Noteholder wanting to exercise a right to redeem a Note at the option of the Noteholder;
"Put Option Receipt" means a receipt issued by a Paying Agent to a depositing Noteholder upon deposit of a Note with such Paying Agent by any Noteholder wanting to exercise a right to redeem a Note at the option of the Noteholder;
"Rate Calculation Business Day" means a day (other than a Saturday, Sunday or public holiday) on which commercial banks are open for general business (including dealings in foreign exchange) in Hong Kong and in New York City;
"Rate Calculation Date" means the day which is two Rate Calculation Business Days before the due date for any payment of the relevant amount under these Conditions;
"Rate of Interest" means the rate or rates (expressed as a percentage per annum) of interest payable in respect of the Notes specified in the relevant Final Terms or calculated or determined in accordance with the provisions of these Conditions and the relevant Final Terms;
"Redemption Amount" means, as appropriate, the Final Redemption Amount, the Early Redemption Amount (Tax), the Optional Redemption Amount (Call), the Optional Redemption Amount (Put), the Early Termination Amount or such other amount in the nature of a redemption amount as may be specified in, or determined in accordance with the provisions of, the relevant Final Terms;
"Reference Price" has the meaning given in the relevant Final Terms;
"Reference Rate" means one of the following benchmark rates (as specified in the relevant Final Terms) in respect of the currency and period specified in the relevant Final Terms:
| (i) | EURIBOR; |
| (ii) | SHIBOR; |
| (iii) | BBSW; |
| (iv) | SONIA; |
| (v) | SONIA Compounded Index; |
| (vi) | SOFR; and |
| (vii) | SOFR Compounded Index, |
other than in the case of U.S. dollar-denominated floating rate Notes for which the Reference Rate is specified in the relevant Final Terms as being SOFR, the term "Reference Rate" shall, following the occurrence of a Benchmark Event under Condition 7(n) (Benchmark Discontinuation), include any Successor Rate or Alternative Rate and shall, if a Benchmark Event should occur subsequently in respect of any such Successor Rate or Alternative Rate, also include any further Successor Rate or further Alternative Rate;
"Regular Period" means:
| (i) | in the case of Notes where interest is scheduled to be paid only by means of regular payments, each period from and including the Interest Commencement Date to but excluding the first Interest Payment Date and each successive period from and including one Interest Payment Date to but excluding the next Interest Payment Date; |
"Relevant Date" means, in relation to any payment, whichever is the later of (a) the date on which the payment in question first becomes due and (b) if the full amount payable has not been received by the Fiscal Agent on or prior to such due date, the date on which (the full amount having been so received) notice to that effect has been given to the Noteholders;
"Relevant Financial Centre" has the meaning given in the relevant Final Terms provided, however, that in no event shall any location within the United States or its possessions be a Relevant Financial Centre for the purposes of any payments in respect of any Note;
"Relevant Jurisdiction" means the United States where the Issuer or the Guarantor, if applicable, is Deere or Deere Capital, or Luxembourg where the Issuer is Deere Luxembourg or Deere Cash Management;
"Relevant Screen Page" means the page, section or other part of a particular information service (including, without limitation, Reuters) specified as the Relevant Screen Page in the relevant Final Terms, or such other page, section or other part as may replace it on that information service or such other information service, in each case, as may be nominated by the Person providing or sponsoring the information appearing there for the purpose of displaying rates or prices comparable to the Reference Rate;
"Relevant Time" has the meaning given in the relevant Final Terms;"Renminbi" or "CNY" means the official currency of the PRC;
"Renminbi Notes" means Notes issued in Renminbi;
"Reserved Matter" means any proposal to change any date fixed for payment of principal or interest in respect of the Notes, to reduce the amount of principal or interest payable on any date in respect of the Notes, to alter the method of calculating the amount of any payment in respect of the Notes or the date for any such payment, to change the currency of any payment under the Notes or to change the quorum requirements relating to meetings or the majority required to pass an Extraordinary Resolution;
"Sale and Lease-back Transactions" means any arrangement with any Person providing for the leasing to the Issuer, the Guarantor or any Material Subsidiary of any Important Property owned or hereafter acquired by the Issuer, the Guarantor or such Material Subsidiary (except for temporary leases for a term, including any renewal thereof, of not more than three years and except for leases between the Issuer, the Guarantor and Material Subsidiary or between Material Subsidiaries), which Important Property has been or is to be sold or transferred by the Issuer, the Guarantor or such Material Subsidiary to such Person;
"Security Interest" means any mortgage, charge, pledge, lien or other security interest including, without limitation, anything analogous to any of the foregoing under the laws of any jurisdiction;
"Securitisation Indebtedness" shall mean the aggregate outstanding indebtedness for borrowed money, owner trust certificates (however classified) or credit enhancements incurred in connection with transactions involving (i) the sale, transfer or other disposition of receivables or leases (retail or wholesale) by Deere Capital or any of its Subsidiaries and (ii) the issuance of commercial paper, medium term notes or any other form of financing by any structured bankruptcy-remote Subsidiary of Deere Capital or any related conduit lender (such transactions, "Securitisations"), provided, that the aggregate outstanding credit enhancements in the form of cash or letter(s) of credit provided by Deere Capital or any of its Subsidiaries (other than any structured bankruptcy-remote Subsidiary) in excess of 10 per cent. of the aggregate outstanding indebtedness for borrowed money and owner trust certificates (however classified) incurred in connection with such Securitisations shall not be deemed for the purposes of the Programme to be Securitisation Indebtedness;
"SHIBOR" means, in respect of a Renminbi-denominated issuance and any Specified Period, the interest rate benchmark known as the Shanghai Interbank Offered Rate which is calculated and published by a designated distributor (currently Thomson Reuters) in accordance with the requirements from time to time of the National Interbank Funding (or any other person which takes over the administration of that rate) based on estimated interbank Renminbi-denominated borrowing rates on various maturities which are provided by a panel of contributor banks (details of historic SHIBOR rates can be obtained from the designated distributor);
"SOFR" has the meaning given in Condition 7(f) (Screen Rate Determination (Floating Rate Notes referencing SOFR));
"SONIA" has the meaning given in Condition 7(e) (Screen Rate Determination (Floating Rate Notes referencing SONIA));
"Specified Currency" has the meaning given in the relevant Final Terms;
"Specified Denomination(s)" has the meaning given in the relevant Final Terms provided that Notes will be issued in denominations of at least EUR 100,000 or the equivalent in any other specified currency as may be specified in the relevant Final Terms, subject to compliance with all applicable legal and/or regulatory and/or central bank requirements;
"Specified Office" has the meaning given in the Agency Agreement; "Specified Period" has the meaning given in the relevant Final Terms;
"Spot Rate", for a Rate Calculation Date, means the spot U.S. dollar/Renminbi exchange rate for the purchase of U.S. dollars with Renminbi in the over-the-counter Renminbi exchange market in Hong Kong for settlement in two business days, as determined by the Calculation Agent at or around 11.00 a.m. (Hong Kong time) on such date, on a deliverable basis by reference to Reuters
Screen Page TRADCNY3, or if no such rate is available, on a non-deliverable basis by reference to Reuters Screen Page TRADNDF. If neither rate is available, the most recently available Renminbi/U.S. dollar official fixing rate for settlement in two business days reported by The State Administration of Foreign Exchange of the PRC, which is reported on the Reuters Screen Page CNY=SAEC. Reference to a page on the Reuters Screen means the display page so designated on the Reuter Monitor Money Rates Service (or any successor service) or such other page as may replace that page for the purpose of displaying a comparable currency exchange rate, and if a spot rate is not readily available, the Calculation Agent may consult with two CNY Dealers to determine the applicable rate, taking into consideration all available information which the CNY Dealers deem relevant, including price information obtained from the Renminbi non-deliverable exchange market in Hong Kong or elsewhere and the U.S. dollar/CNY exchange rate in the PRC's domestic foreign exchange market;
"Subsidiary" means any corporation a majority of the outstanding voting stock of which is owned, directly or indirectly, by the Issuer or by one or more other Subsidiaries of such Issuer. For the purposes of this definition, "voting stock" means stock having voting power for the election of directors, whether at all times or only so long as no senior class of stock has such voting power by reason of any contingency;
"Talon" means a talon for further Coupons;
"T2" means the real time gross settlement system operated by the Eurosystem or any successor system;
"TARGET Settlement Day" means any day on which T2 is open for the settlement of payments in euro;
"Treaty" means the Treaty on the Functioning of the European Union, as amended;
"U.S. Dollar Equivalent" means the Renminbi amount converted into U.S. dollars using the Spot Rate for the relevant Rate Calculation Date; and
"Zero Coupon Note" means a Note specified as such in the relevant Final Terms.
| (b) | Interpretation |
In these Conditions:
| (i) | if the Notes are Zero Coupon Notes or are Registered Notes, references to Coupons and Couponholders are not applicable; |
| 3. | Form, Denomination, Title and Transfer |
| (a) | Bearer Notes: Notes in bearer form will not be issued under the Programme, unless and until there is a change in U.S. income tax law that permits the issuance of bearer debt without adverse tax consequences to the Issuer or the relevant Guarantor. Bearer Notes are in the Specified Denomination(s) with Coupons and, if specified in the relevant Final Terms, Talons attached at the time of issue. In the case of a Series of Bearer Notes with more than one Specified Denomination, Bearer Notes of one Specified Denomination will not be exchangeable for Bearer Notes of another Specified Denomination. |
| (c) | Registered Notes: Registered Notes are in the Specified Denomination(s), which may include a minimum denomination specified in the relevant Final Terms and higher integral multiples of a smaller amount specified in the relevant Final Terms. |
| (e) | Ownership: The Holder of any Note or Coupon shall (except as otherwise required by law) be treated as its absolute owner for all purposes (whether or not it is overdue and regardless of any notice of ownership, trust or any other interest therein, any writing thereon or, in the case of Registered Notes, on the Note Certificate relating thereto (other than the endorsed form of transfer) or any notice of any previous loss or theft thereof) and no Person shall be liable for so treating such Holder. No person shall have any right to enforce any term or condition of any Note under the Contracts (Rights of Third Parties) Act 1999. |
| (f) | Transfers of Registered Notes: Subject to Condition 3(i) and Condition 3(j) below, a Registered Note may be transferred upon surrender of the relevant Note Certificate, with the endorsed form of transfer duly completed, at the Specified Office of the Registrar or any Transfer Agent, together with such evidence as the Registrar or (as the case may be) such Transfer Agent may reasonably require to prove the title of the transferor and the authority of the individuals who have executed the form of transfer; provided, however, that a Registered Note may not be transferred unless the principal amount of Registered Notes transferred and (where not all of the Registered Notes held by a Holder are being transferred) the principal amount of the balance of Registered Notes not transferred are Specified Denominations. Where not all the Registered Notes represented by the surrendered Note Certificate are the subject of the transfer, a new Note Certificate in respect of the |
balance of the Registered Notes will be issued to the transferor. With respect to Notes issued by Deere Luxembourg or Deere Cash Management, the transfer will not be deemed to be effective until its registration in the relevant Duplicate Register in accordance with Condition 3(g) below.
| 4. | Status of the Notes and the Guarantees |
| (a) | Status of the Senior Notes |
This Condition 4(a) is applicable in relation to Notes specified in the relevant Final Terms as being unsubordinated or not specified as being subordinated ("Senior Notes"). The Senior Notes constitute direct, general, unconditional and unsubordinated obligations of the Issuer which will at all times rank pari passu and without any preference among themselves and at least pari passu with all other present and future unsecured and unsubordinated obligations of the Issuer, save for such obligations as may be preferred by provisions of law that are both mandatory and of general application.
| (b) | Status of the Subordinated Notes |
This Condition 4(b) is applicable only in relation to Notes which are specified in the relevant Final Terms as being subordinated ("Subordinated Notes") and are issued by Deere or Deere Capital. Subordinated Notes issued by Deere or Deere Capital constitute direct, unsecured and subordinated obligations of Deere or Deere Capital, as the case may be, which will at all times rank pari passu without prejudice among themselves and at least pari passu and rateably with all other present and future unsecured and subordinated obligations of Deere or Deere Capital from time to time outstanding save for such obligations as may be preferred by provisions of law that are both mandatory and of general application. The rights and claims of holders of the Subordinated Notes issued by Deere or Deere Capital, as the case may be, will, in the event that Deere or Deere Capital, as the case may be, is wound-up, dissolved, liquidated or ceases to exist as a body corporate, excluding where such event results in there being a successor to Deere or Deere Capital, as the case may be, and the obligations under the Notes are assumed by that successor, be subordinated in right of payment to unsubordinated and unsecured creditors of Deere or Deere Capital, as the case may be.
| (c) | Guarantee by Deere of Notes issued by Deere Cash Management |
Deere has in the Deere Deed of Guarantee unconditionally and irrevocably guaranteed the due and punctual payment of all sums from time to time payable by Deere Cash Management, in respect of Senior Notes issued by it. This Guarantee of the Senior Notes constitutes direct, general, unconditional and unsubordinated obligations of Deere which will at all times rank at least pari passu with all other present and future unsubordinated and unsecured obligations of Deere, save for such obligations as may be preferred by provisions of law that are both mandatory and of general application.
| (d) | Guarantee by Deere Capital of Notes issued by Deere Luxembourg |
Deere Capital has in the JDCC Deed of Guarantee unconditionally and irrevocably guaranteed the due and punctual payment of all sums from time to time payable by Deere Luxembourg in respect of Senior Notes issued by them. This Guarantee of the Senior Notes constitutes direct, general, unconditional and unsubordinated obligations of Deere Capital which will at all times rank at least pari passu with all other present and future unsubordinated and unsecured obligations of Deere Capital, save for such obligations as may be preferred by provisions of law that are both mandatory and of general application.
| 5. | Negative Pledge with respect to Senior Notes |
| (a) | This Condition 5(a) is applicable only in relation to Senior Notes issued by Deere and Deere Cash Management. So long as any Senior Note remains outstanding, the relevant Issuer shall not and Deere (as Guarantor) shall not permit any Material Subsidiary to, issue, incur, assume or guarantee any debt ("Debt") secured by any Security Interest (other than a Permitted Security Interest) upon any present or future Important Property, or upon any present or future shares of stock or indebtedness issued by any Material Subsidiary without (a) at the same time or prior thereto securing the Senior Notes equally and rateably therewith or (b) providing such other security for the Senior Notes as may be approved by an Extraordinary Resolution of Noteholders. |
Notwithstanding the foregoing, the relevant Issuer or Deere (as Guarantor) or any Material Subsidiary may, without (a) equally and rateably securing the Senior Notes or (b) providing such other security for the Senior Notes as may be approved by an Extraordinary Resolution of Noteholders, issue, incur, assume or guarantee Debt secured by a Security Interest which does not constitute a Permitted Security Interest, up to an aggregate amount which, together with the sum of (A) all other Debt issued or incurred by the relevant Issuer, Deere (as Guarantor) and its Material Subsidiaries secured by Security Interests (other than a Permitted Security Interest) which would otherwise be subject to the foregoing restrictions and (B) the Attributable Debt in respect of Sale and Lease-back Transactions in existence at such time does not at such time (other than Excluded Sale and Lease-back Transactions) exceed 5 per cent. of the Consolidated Net Worth of Deere, as shown on the audited consolidated balance sheet contained in the latest annual report of Deere.
| 6. | Fixed Rate Note Provisions |
| (a) | Application |
This Condition 6 is applicable to the Notes only if the Fixed Rate Note Provisions are specified in the relevant Final Terms as being applicable.
| (b) | Accrual of Interest |
The Notes bear interest from, and including, the Interest Commencement Date at the Rate of Interest payable in arrear on each Interest Payment Date, subject as provided in Conditions 11 (Payments – Bearer Notes) and 12 (Payments – Registered Notes). Each Note will cease to bear interest from the due date for final redemption unless, upon due presentation, payment of the Redemption Amount is improperly withheld or refused, in which case it will continue to bear interest in accordance with this Condition 6 (as well after as before judgment) until whichever is the earlier of (i) the day on which all sums due in respect of such Note up to that day are received by or on behalf of the relevant Noteholder and (ii) the day which is seven days after the Fiscal Agent has notified the Noteholders that it has received all sums due in respect of the Notes up to such seventh day (except to the extent that there is any subsequent default in payment).
| (c) | Fixed Coupon Amount |
The amount of interest payable in respect of each Note for any Interest Period shall be the relevant Fixed Coupon Amount and, if the Notes are in more than one Specified Denomination, shall be the relevant Fixed Coupon Amount in respect of the relevant Specified Denomination.
| (d) | Calculation of Interest Amount |
The amount of interest payable in respect of each Note for any period for which a Fixed Coupon Amount is not specified shall be calculated by applying the Rate of Interest to the Calculation Amount, multiplying the product by the relevant Day Count Fraction, rounding the resulting figure to the nearest sub-unit of the Specified Currency (half a sub-unit being rounded upwards) and multiplying such rounded figure by a fraction equal to the Specified Denomination of such Note divided by the Calculation Amount. For this purpose a "sub-unit" means, in the case of any currency other than euro, the lowest amount of such currency that is available as legal tender in the country of such currency and, in the case of euro, means one cent.
| (e) | Renminbi Notes |
This Condition 6(e) shall apply to Renminbi Notes which are Fixed Rate Notes only where the Final Terms for such Notes specify that the Interest Payment Dates are subject to adjustment. The relevant Fixed Coupon Amount for such Notes shall be calculated by the Calculation Agent by multiplying the product of the Rate of Interest and the Calculation Amount by the relevant Day Count Fraction and rounding the resultant figure to the nearest CNY0.01, with CNY0.005 being rounded upwards. The Calculation Agent shall cause the relevant Fixed Coupon Amount and the relevant Interest Payment Date to be notified to the Issuer, the Paying Agents, the Registrar (in the case of Registered Notes) and the Holders in accordance with Condition 20 (Notices) and, if the Notes are listed on a stock exchange and the rules of such exchange so requires, such exchange as soon as possible after their determination or calculation but in no event later than the fourth Business day thereafter or, if earlier in the case of notification to the stock exchange, the time required by the rules of the relevant stock exchange.
| 7. | Floating Rate Note Provisions |
| (a) | Application |
This Condition 7 is applicable to the Notes only if the Floating Rate Note Provisions are specified in the relevant Final Terms as being applicable.
| (b) | Accrual of interest |
The Notes bear interest from (and including) the Interest Commencement Date at the Rate of Interest payable in arrear on each Interest Payment Date, subject as provided in Conditions 11 (Payments – Bearer Notes) and 12 (Payments – Registered Notes). Each Note will cease to bear interest from the due date for final redemption unless, upon due presentation, payment of the Redemption Amount is improperly withheld or refused, in which case it will continue to bear interest in accordance with this Condition (both before and after judgment) until whichever is the earlier of (i) the day on which all sums due in respect of such Note up to that day are received by or on behalf of the relevant Noteholder and (ii) the day which is seven days after the Fiscal Agent
has notified the Noteholders that it has received all sums due in respect of the Notes up to such seventh day (except to the extent that there is any subsequent default in payment).
| (c) | Screen Rate Determination (Floating Rate Notes other than those referencing SONIA, SONIA Compounded Index, SOFR or SOFR Compounded Index) |
Subject to Condition 7(n) (Benchmark Discontinuation), if Screen Rate Determination is specified in the relevant Final Terms as the manner in which the Rate(s) of Interest is/are to be determined, the Rate of Interest applicable to the Notes for each Interest Period will be (other than in respect of Notes for which SONIA, SOFR or any related index is specified as the Reference Rate in the relevant Final Terms) determined by the Calculation Agent on the following basis:
provided, however, that if no rate is available for a period of time next shorter or, as the case may be, next longer than the length of the relevant Interest Period, then the Calculation Agent shall calculate the Rate of Interest at such time and by reference to such sources as the Issuer, in consultation with an Independent Adviser appointed by the Issuer (and such Independent Adviser acting in good faith and in a commercially reasonable manner) determines appropriate;
and the Rate of Interest for such Interest Period shall be the sum of the Margin and the rate or (as the case may be) the arithmetic mean so determined, provided, however, that if the Calculation Agent is unable to determine a rate or (as the case may be) an arithmetic mean in accordance with the above provisions in relation to any Interest Period, the Rate of Interest applicable to the Notes during such Interest Period will be the sum of the Margin and the rate or (as the case may be) the arithmetic mean last determined in relation to the Notes in respect of a preceding Interest Period.
| (d) | ISDA Determination |
If ISDA Determination is specified in the relevant Final Terms as the manner in which the Rate(s) of Interest is/are to be determined, the Rate of Interest applicable to the Notes for each Interest Period will be the sum of the Margin and the relevant ISDA Rate where "ISDA Rate" in relation to any Interest Period means a rate equal to the Floating Rate that would be determined by the Calculation Agent under an interest rate swap transaction if the Calculation Agent were acting as Calculation Agent for that interest rate swap transaction under the terms of an agreement incorporating the ISDA Definitions and under which:
| (i) | if the Final Terms specify either "2006 ISDA Definitions" or "2021 ISDA Definitions" as the applicable ISDA Definitions: |
| (A) | the Floating Rate Option is as specified in the relevant Final Terms; |
provided, however, that if there is no rate available for a period of time next shorter than the length of the relevant Interest Period or, as the case may be, next longer than the length of the relevant Interest Period, then the Calculation Agent shall calculate the Rate of Interest at such time and by reference to such sources as the Issuer, in consultation with an Independent Adviser appointed by the Issuer, and such Independent Adviser acting in good faith and in a commercially reasonable manner, determines appropriate;
(c) Lockout Period Business Days, if applicable, are the days specified in the relevant Final Terms;
| (F) | if the specified Floating Rate Option is an Overnight Floating Rate Option, Averaging is specified to be applicable in the relevant Final Terms and: |
specified in the relevant Final Terms and (c) Observation Period Shift Additional Business Days, if applicable, are the days specified in the relevant Final Terms; or
(a) Observation Period Shift is the number of Observation Period Shift Business Days (as defined in the ISDA Definitions) specified in the relevant Final Terms and (b) Observation Period Shift Additional Business Days, if applicable, are the days specified in the relevant Final Terms;
| (ii) | references in the ISDA Definitions to: |
| (A) | "Confirmation" shall be references to the relevant Final Terms; |
| (B) | "Calculation Period" shall be references to the relevant Interest Period; |
| (C) | "Termination Date" shall be references to the Maturity Date; and |
| (D) | "Effective Date" shall be references to the Interest Commencement Date; and |
| (iii) | if the Final Terms specify "2021 ISDA Definitions" as the applicable ISDA Definitions: |
| (A) | "Administrator/Benchmark Event" shall be disapplied; and |
| (e) | Screen Rate Determination (Floating Rate Notes referencing SONIA) |
| (i) | This Condition 7(e) is applicable to the Notes only if the Floating Rate Note Provisions are specified in the relevant Final Terms as being applicable, Screen Rate Determination is specified in the relevant Final Terms as the manner in which the Rate(s) of Interest is/are to be determined, and the Reference Rate is specified in the relevant Final Terms as being SONIA. |
| (iii) | For the purposes of this Condition 7(e): |
"Compounded Daily SONIA", with respect to an Interest Period, will be calculated by the Calculation Agent on each Interest Determination Date in accordance with the following formula, and the resulting percentage will be rounded, if necessary, to the fourth decimal place, with 0.00005 being rounded upwards:

"d" means the number of calendar days in:
| (i) | where "Lag" is specified as the Observation Method in the relevant Final Terms, the relevant Interest Period; or |
| (ii) | where "Observation Shift" is specified as the Observation Method in the relevant Final Terms, the relevant Observation Period; |
"D" is the number specified in the relevant Final Terms (or, if no such number is specified, 365);
"do" means the number of London Banking Days in:
| (i) | where "Lag" is specified as the Observation Method in the relevant Final Terms, the relevant Interest Period; or |
| (ii) | where "Observation Shift" is specified as the Observation Method in the relevant Final Terms, the relevant Observation Period; |
"i" means a series of whole numbers from one to do, each representing the relevant London Banking Day in chronological order from, and including, the first London Banking Day in:
| (i) | where "Lag" is specified as the Observation Method in the relevant Final Terms, the relevant Interest Period; or |
| (ii) | where "Observation Shift" is specified as the Observation Method in the relevant Final Terms, the relevant Observation Period; |
to, and including, the last London Banking Day in such period;
"Interest Determination Date" means, in respect of any Interest Period, the date falling "p" London Banking Days prior to the Interest Payment Date for such Interest Period (or the date falling "p" London Banking Days prior to such earlier date, if any, on which the Notes are due and payable).
"London Banking Day" or "LBD" means any day on which commercial banks are open for general business (including dealing in foreign exchange and foreign currency deposits) in London;
"ni" for any London Banking Day "i", in the relevant Interest Period or Observation Period (as applicable) is the number of calendar days from, and including, such London Banking Day "i" up to, but excluding, the following London Banking Day;
"Observation Period" means, in respect of an Interest Period, the period from, and including, the date falling "p" London Banking Days prior to the first day of such Interest Period (and the first Interest Period shall begin on and include the Interest Commencement Date) and ending on, but excluding, the date which is "p" London Banking Days prior to the Interest Payment Date for such Interest Period (or the date falling "p" London Banking Days prior to such earlier date, if any, on which the Notes become due and payable);
"p" for any Interest Period or Observation Period (as applicable), means the number of London Banking Days specified as the "Lag Period" or the "Observation Shift Period" (as applicable) in the relevant Final Terms or if no such period is specified, five London Banking Days;
"SONIA Reference Rate" means, in respect of any London Banking Day, a reference rate equal to the daily Sterling Overnight Index Average ("SONIA") rate for such London Banking Day as provided by the administrator of SONIA to authorised distributors and as then published on the Relevant Screen Page (or if the Relevant Screen Page is unavailable, as otherwise is published by such authorised distributors) on the London Banking Day immediately following such London Banking Day; and
"SONIAi" means the SONIA Reference Rate for:
| (i) | where "Lag" is specified as the Observation Method in the relevant Final Terms, the London Banking Day falling "p" London Banking Days prior to the relevant London Banking Day "i"; or |
For the avoidance of doubt, the formula for the calculation of Compounded Daily SONIA only compounds the SONIA Reference Rate in respect of any London Banking Day. The SONIA Reference Rate applied to a day that is a non-London Banking Day will be taken by applying the SONIA Reference Rate for the previous London Banking Day but without compounding.
| (f) | Screen Rate Determination (Floating Rate Notes referencing SOFR) |
| (i) | This Condition 7(f) is applicable to the Notes only if the Floating Rate Note Provisions are specified in the relevant Final Terms as being applicable, Screen Rate Determination is specified in the relevant Final Terms as the manner in which the Rate(s) of Interest is/are |
to be determined, and the Reference Rate is specified in the relevant Final Terms as being SOFR.
| (iii) | For the purposes of this Condition 7(f): |
"Benchmark" means Compounded SOFR, which is a compounded average of daily SOFR, as determined for each Interest Period in accordance with the specific formula and other provisions set out in this Condition 7(f).
Daily SOFR rates will not be published in respect of any day that is not a U.S. Government Securities Business Day, such as a Saturday, Sunday or holiday. For this reason, in determining Compounded SOFR in accordance with the specific formula and other provisions set forth herein, the daily SOFR rate for any U.S. Government Securities Business Day that immediately precedes one or more days that are not U.S. Government Securities Business Days will be multiplied by the number of calendar days from and including such U.S. Government Securities Business Day to, but excluding, the following
U.S. Government Securities Business Day.
If the Issuer determines that a Benchmark Transition Event and its related Benchmark Replacement Date have occurred in respect of Compounded SOFR (or the daily SOFR used in the calculation hereof) prior to the relevant SOFR Determination Time, then the provisions under Condition 7(f)(iv) below will apply.
"Compounded SOFR" with respect to any Interest Period, means the rate of return of a daily compound interest investment computed in accordance with the following formula (and the resulting percentage will be rounded, if necessary, to the nearest one hundred- thousandth of a percentage point, with 0.000005 being rounded upwards to 0.00001):

"d" is the number of calendar days in:
| (i) | where "Lag" is specified as the Observation Method in the relevant Final Terms, the relevant Interest Period; or |
| (ii) | where "Observation Shift" is specified as the Observation Method in the relevant Final Terms, the relevant Observation Period. |
"D" is the number specified in the relevant Final Terms (or, if no such number is specified, 360);
"do" is the number of U.S. Government Securities Business Days in:
| (i) | where "Lag" is specified as the Observation Method in the relevant Final Terms, the relevant Interest Period; or |
| (ii) | where "Observation Shift" is specified as the Observation Method in the relevant Final Terms, the relevant Observation Period. |
"i" is a series of whole numbers from one to do, each representing the relevant U.S. Government Securities Business Day in chronological order from, and including, the first
U.S. Government Securities Business Day in:
| (i) | where "Lag" is specified as the Observation Method in the relevant Final Terms, the relevant Interest Period; or |
to and including the last U.S. Government Securities Business Day in such period;
"Interest Determination Date" means, in respect of any Interest Period, the date falling "p" U.S. Government Securities Business Days prior to the Interest Payment Date for such Interest Period (or the date falling "p" U.S. Government Securities Business Days prior to such earlier date, if any, on which the Notes are due and payable);
"ni" for any U.S. Government Securities Business Day "i" in the relevant Interest Period or Observation Period (as applicable), is the number of calendar days from, and including, such U.S. Government Securities Business Day "i" to, but excluding, the following U.S. Government Securities Business Day ("i+1");
"Observation Period" in respect of an Interest Period means the period from, and including, the date falling "p" U.S. Government Securities Business Days preceding the first day in such Interest Period (and the first Interest Period shall begin on and include the Interest Commencement Date) to, but excluding, the date falling "p" U.S. Government Securities Business Days preceding the Interest Payment Date for such Interest Period (or the date falling "p" U.S. Government Securities Business Days prior to such earlier date, if any, on which the Notes become due and payable);
"p" for any Interest Period or Observation Period (as applicable) means the number of
U.S. Government Securities Business Days specified as the "Lag Period" or the "Observation Shift Period" (as applicable) in the relevant Final Terms or if no such period is specified, five U.S. Government Securities Business Days;
"SOFR" with respect to any U.S. Government Securities Business Day, means:
| (i) | the Secured Overnight Financing Rate published for such U.S. Government Securities Business Day as such rate appears on the SOFR Administrator's Website at 3:00 p.m. (New York time) on the immediately following U.S. |
Government Securities Business Day (the "SOFR Determination Time"); or
"SOFR Administrator" means the Federal Reserve Bank of New York (or a successor administrator of the Secured Overnight Financing Rate);
"SOFR Administrator's Website" means the website of the Federal Reserve Bank of New York, or any successor source;
"SOFRi" means the SOFR for:
| (i) | where "Lag" is specified as the Observation Method in the applicable Final Terms, the U.S. Government Securities Business Day falling "p" U.S. Government Securities Business Days prior to the relevant U.S. Government Securities Business Day "i"; or |
"U.S. Government Securities Business Day" means any day except for a Saturday, a Sunday or a day on which the Securities Industry and Financial Markets Association recommends that the fixed income departments of its members be closed for the entire day for purposes of trading in U.S. government securities.
Any determination, decision or election that may be made by the Issuer pursuant to this Condition 7(f)(iv), including any determination with respect to a tenor, rate or adjustment or of the occurrence or non-occurrence of an event, circumstance or date and any decision to take or refrain from taking any action or any selection:
| (i) | will be conclusive and binding absent manifest error; |
| (ii) | will be made in the sole discretion of the Issuer; and |
"Benchmark" means, initially, Compounded SOFR, as such term is defined above; provided that if the Issuer determines on or prior to the Reference Time that a Benchmark Transition Event and its related Benchmark Replacement Date have occurred with respect to Compounded SOFR (or the published daily SOFR used in the calculation thereof) or the then-current Benchmark, then "Benchmark" shall mean the applicable Benchmark Replacement.
"Benchmark Replacement" means the first alternative set forth in the order below that can be determined by the Issuer as of the Benchmark Replacement Date:
| (i) | the sum of: (A) the alternate rate of interest that has been selected or recommended by the Relevant Governmental Body as the replacement for the then-current Benchmark and (B) the Benchmark Replacement Adjustment; |
"Benchmark Replacement Adjustment" means the first alternative set forth in the order below that can be determined by the Issuer as of the Benchmark Replacement Date:
| (i) | the spread adjustment, or method for calculating or determining such spread adjustment, (which may be a positive or negative value or zero) that has been selected or recommended by the Relevant Governmental Body for the applicable Unadjusted Benchmark Replacement; |
"Benchmark Replacement Conforming Changes" means, with respect to any Benchmark Replacement, any technical, administrative or operational changes (including changes to the timing and frequency of determining rates and making payments of interest, rounding of amounts or tenors, and other administrative matters) that the Issuer decides may be appropriate to reflect the adoption of such Benchmark Replacement in a manner substantially consistent with market practice (or, if the Issuer decides that adoption of any portion of such market practice is not administratively feasible or if the Issuer determines that no market practice for use of the Benchmark Replacement exists, in such other manner as the Issuer determines is reasonably necessary);
"Benchmark Replacement Date" means the earliest to occur of the following events with respect to the then-current Benchmark (including the daily published component used in the calculation thereof):
| (i) | in the case of paragraph (i) or (ii) of the definition of "Benchmark Transition Event", the later of (a) the date of the public statement or publication of information referenced therein and (b) the date on which the administrator of the Benchmark permanently or indefinitely ceases to provide the Benchmark (or such component); or |
For the avoidance of doubt, if the event that gives rise to the Benchmark Replacement Date occurs on the same day as, but earlier than, the Reference Time in respect of any determination, the Benchmark Replacement Date will be deemed to have occurred prior to the Reference Time for such determination;
"Benchmark Transition Event" means the occurrence of one or more of the following events with respect to the then-current Benchmark (including the daily published component used in the calculation thereof):
| (i) | a public statement or publication of information by or on behalf of the administrator of the Benchmark (or such component) announcing that such administrator has ceased or will cease to provide the Benchmark (or such component), permanently or indefinitely, provided that, at the time of such statement or publication, there is no successor administrator that will continue to provide the Benchmark (or such component); or |
| (iii) | a public statement or publication of information by the regulatory supervisor for the administrator of the Benchmark announcing that the Benchmark is no longer representative; |
"ISDA Fallback Adjustment" means the spread adjustment (which may be a positive or negative value or zero) that would apply for derivatives transactions referencing the 2006 ISDA Definitions to be determined upon the occurrence of an index cessation event with respect to the Benchmark;
"ISDA Fallback Rate" means the rate that would apply for derivatives transactions referencing the 2006 ISDA Definitions to be effective upon the occurrence of an index cessation date with respect to the Benchmark for the applicable tenor excluding the applicable ISDA Fallback Adjustment;
"Reference Time" with respect to any determination of the Benchmark means (i) if the Benchmark is Compounded SOFR, the SOFR Determination Time, and (ii) if the Benchmark is not Compounded SOFR, the time determined by the Issuer after giving effect to the Benchmark Replacement Conforming Changes;
"Relevant Governmental Body" means the Federal Reserve Board and/or the Federal Reserve Bank of New York, or a committee officially endorsed or convened by the Federal Reserve Board and/or the Federal Reserve Bank of New York or any successor thereto; and
"Unadjusted Benchmark Replacement" means the Benchmark Replacement excluding the Benchmark Replacement Adjustment.
No later than notifying the Fiscal Agent of the same, the Issuer shall deliver to the Fiscal Agent a certificate signed by two authorised signatories of the Issuer:
| (g) | Screen Rate Determination (Floating Rate Notes referencing SONIA Compounded Index or SOFR Compounded Index) |
This Condition 7(g) is applicable to the Notes only if the Floating Rate Note Provisions are specified in the relevant Final Terms as being applicable, Screen Rate Determination is specified in the relevant Final Terms as the manner in which the Rate(s) of Interest is/are to be determined, and Index Determination is specified in the relevant Final Terms as being applicable.
Where Index Determination is specified in the relevant Final Terms as being applicable, the Rate of Interest for each Interest Period will be the compounded daily reference rate for the relevant Interest Period, calculated in accordance with the following formula:

and rounded to the Relevant Decimal Place, plus or minus the Margin (if any), all as determined and calculated by the Calculation Agent, where:
"Compounded Index" means either the SONIA Compounded Index or the SOFR Compounded Index, as specified in the relevant Final Terms;
"Compounded Index End" means the relevant Compounded Index value on the End date; "Compounded Index Start" means the relevant Compounded Index value on the Start date;
"d" is the number of calendar days from (and including) the day on which the relevant Compounded Index Start is determined to (but excluding) the day on which the relevant Compounded Index End is determined;
"End" means the day falling the Relevant Number of Index Days prior to the Interest Payment Date for such Interest Period, or such other date on which the relevant payment of interest falls due (but which by its definition or the operation of the relevant provisions is excluded from such Interest Period);
"Index Days" means, in the case of the SONIA Compounded Index, London Banking Days, and, in the case of the SOFR Compounded Index, U.S. Government Securities Business Days;
"Numerator" means, in the case of the SONIA Compounded Index, 365 and, in the case of the SOFR Compounded Index, 360;
"Relevant Decimal Place" shall, unless otherwise specified in the Final Terms, be the fifth decimal place, rounded up or down, if necessary (with 0.000005 being rounded upwards);
"Relevant Number" is as specified in the applicable Final Terms, but, unless otherwise specified shall be five;
"SOFR Compounded Index" means the Compounded SOFR rate as published at 15:00 (New York time) by Federal Reserve Bank of New York (or a successor administrator of SOFR) on the website of the Federal Reserve Bank of New York, or any successor source;
"SONIA Compounded Index" means the Compounded Daily SONIA rate as published at 10:00 (London time) by the Bank of England (or a successor administrator of SONIA) on the Bank of England's Interactive Statistical Database, or any successor source; and
"Start" means the day falling the Relevant Number of Index Days prior to the first day of the relevant Interest Period.
If, with respect to any Interest Period, the relevant rate is not published for the relevant Compounded Index either on the relevant Start or End date, then the Calculation Agent shall calculate the rate of interest for that Interest Period as if Index Determination was not specified in the applicable Final Terms and as if Compounded Daily SONIA or Compounded SOFR (as defined in Condition 7(e) (Screen Rate Determination (Floating Rate Notes referencing SONIA)) or Condition 7(f) (Screen Rate Determination (Floating Rate Notes referencing SOFR)), as applicable) had been specified instead in the Final Terms, and in each case "Observation Shift" had been specified as the Observation Method in the relevant Final Terms, and where the Observation Shift Period for the purposes of the references to that term in Condition 7(e) (Screen Rate Determination (Floating Rate Notes referencing SONIA)) or Condition 7(f) (Screen Rate Determination (Floating Rate Notes referencing SOFR)) (as applicable) shall be deemed to be the same as the Relevant Number specified in the Final Terms and where, in the case of Compounded Daily SONIA, the Relevant Screen Page will be determined by the Issuer. For the avoidance of doubt, if (i) (in the case of SONIA Compounded Index) a Benchmark Event has occurred in respect of SONIA, the provisions of Condition 7(n) (Benchmark Discontinuation) shall apply, and (ii) (in the case of SOFR Compounded Index) a Benchmark Transition Event and its related Benchmark
Replacement Date has occurred in respect of SOFR, the provisions of Condition 7(f) (Screen Rate Determination (Floating Rate Notes referencing SOFR)) shall apply.
| (h) | Maximum or Minimum Rate of Interest |
If any Maximum Rate of Interest or Minimum Rate of Interest is specified in the relevant Final Terms, then the Rate of Interest shall in no event be greater than the maximum or be less than the minimum so specified. If no Minimum Rate of Interest is specified in the relevant Final Terms, then the Minimum Rate of Interest in respect of each relevant Interest Period shall be deemed to be zero, and in no event shall the Rate of Interest calculated in accordance with this Condition 7 be less than zero.
| (i) | Calculation of Interest Amount |
The Calculation Agent will, as soon as practicable after the time at which the Rate of Interest is to be determined in relation to each Interest Period, calculate the Interest Amount payable in respect of each Note for such Interest Period. The Interest Amount will be calculated by applying the Rate of Interest for such Interest Period to the Calculation Amount multiplying the product by the relevant Day Count Fraction, rounding the resulting figure to the nearest sub-unit of the Specified Currency (half a sub-unit being rounded upwards) and multiplying such rounded figure by a fraction equal to the Specified Denomination of the relevant Note divided by the Calculation Amount. For this purpose a "sub-unit" means, in the case of any currency other than euro, the lowest amount of such currency that is available as legal tender in the country of such currency and, in the case of euro, means one cent.
| (j) | Calculation of other amounts |
If the relevant Final Terms specifies that any other amount is to be calculated by the Calculation Agent, the Calculation Agent will, as soon as practicable after the time or times at which any such amount is to be determined, calculate the relevant amount. The relevant amount will be calculated by the Calculation Agent in the manner specified in the relevant Final Terms.
| (k) | Publication |
The Calculation Agent will cause each Rate of Interest and Interest Amount determined by it, together with the relevant Interest Payment Date, and any other amount(s) required to be determined by it together with any relevant payment date(s) to be notified to the Paying Agents and each competent authority, stock exchange and/or quotation system (if any) by which the Notes have then been admitted to listing, trading and/or quotation as soon as practicable after such determination but (in the case of each Rate of Interest, Interest Amount and Interest Payment Date) in any event not later than the first day of the relevant Interest Period. Notice thereof shall also promptly be given to the Noteholders. The Calculation Agent will be entitled to recalculate any Interest Amount (on the basis of the foregoing provisions) without notice in the event of an extension or shortening of the relevant Interest Period. If the Calculation Amount is less than the minimum Specified Denomination the Calculation Agent shall not be obliged to publish each Interest Amount but instead may publish only the Calculation Amount and the Interest Amount in respect of a Note having the minimum Specified Denomination.
| (l) | Notifications etc |
All notifications, opinions, determinations, certificates, calculations, quotations and decisions given, expressed, made or obtained for the purposes of this Condition by the Calculation Agent will (in the absence of manifest error) be binding on the Issuer, the Guarantor, the Paying Agents, the Noteholders and the Couponholders and (subject as aforesaid) no liability to any such Person will attach to the Calculation Agent in connection with the exercise or non-exercise by it of its powers, duties and discretions for such purposes.
| (m) | Determination of Rate of Interest following acceleration |
If (i) the Notes become due and payable in accordance with Condition 14 (Events of Default) and
(ii) the Rate of Interest for the Interest Period during which the Notes become due and payable is to be determined by reference to any of Condition 7(e) (Screen Rate Determination (Floating Rate
Notes referencing SONIA)), Condition 7(f) (Screen Rate Determination (Floating Rate Notes referencing SOFR)) and Condition 7(g) (Screen Rate Determination (Floating Rate Notes referencing SONIA Compounded Index or SOFR Compounded Index)), then the final Interest Determination Date shall be the date on which the Notes become so due and payable, and such Rate of Interest shall continue to apply to the Notes for so long as interest continues to accrue thereon as provided in the Conditions.
| (n) | Benchmark Discontinuation |
| (i) | Independent Adviser |
Other than in the case of a U.S. dollar-denominated floating rate Note for which the Reference Rate is specified in the relevant Final Terms as being SOFR or SOFR Compounded Index, notwithstanding Condition 7(c) (Screen Rate Determination (Floating Rate Notes other than those referencing SONIA, SONIA Compounded Index, SOFR or SOFR Compounded Index)) and Condition 7(e) (Screen Rate Determination (Floating Rate Notes referencing SONIA)), if a Benchmark Event occurs in relation to an Original Reference Rate at any time when these Conditions provide for any remaining Rate of Interest (or any component part thereof) to be determined by reference to such Original Reference Rate, then the Issuer shall use its reasonable endeavours to appoint an Independent Adviser, as soon as reasonably practicable, to determine a Successor Rate, failing which an Alternative Rate (in accordance with Condition 7(n)(ii)) and, in either case, an Adjustment Spread, if any (in accordance with Condition 7(n)(iii)) and any Benchmark Amendments (in accordance with Condition 7(n)(iv)).
An Independent Adviser appointed pursuant to this Condition 7(n) shall act in good faith and in a commercially reasonable manner and in consultation with the Issuer. In the absence of bad faith or fraud, the Independent Adviser shall have no liability whatsoever to the Issuer, the Guarantor, the Agents, any other party specified in the relevant Final Terms as being responsible for calculating the Rate of Interest, the Noteholders or Couponholders for any determination made by it or for any advice given to the Issuer in connection with the operation of this Condition 7(n).
| (ii) | Successor Rate or Alternative Rate |
If the Independent Adviser determines that:
If, following the occurrence of a Benchmark Event and in relation to the determination of the Rate of Interest on the relevant Interest Determination Date, no Successor Rate or Alternative Rate (as applicable) is determined pursuant to this Condition 7(n) by such Interest Determination Date, the Rate of Interest applicable to the next succeeding Interest Period shall be determined in accordance with Condition 7(n)(vii).
| (iii) | Adjustment Spread |
If the Independent Adviser determines (A) that an Adjustment Spread should be applied to the Successor Rate or the Alternative Rate (as the case may be) and (B) the quantum of,
or a formula or methodology for determining, such Adjustment Spread, then such Adjustment Spread shall be applied to the Successor Rate or the Alternative Rate (as the case may be for each subsequent determination of a relevant Rate of Interest (or a relevant component part thereof) by reference to such Successor Rate or Alternative Rate (as applicable)).
| (iv) | Benchmark Amendments |
If any Successor Rate, Alternative Rate or Adjustment Spread is determined in accordance with this Condition 7(n) and the Independent Adviser determines (A) that amendments to these Conditions (including, without limitation, amendments to the definitions of Day Count Fraction, Business Day, Interest Payment Date, Interest Determination Date, Relevant Time or Relevant Screen Page and related provisions) and/or the Agency Agreement are necessary to ensure the proper operation of such Successor Rate, Alternative Rate and/or Adjustment Spread (such amendments, the "Benchmark Amendments") and (B) the terms of the Benchmark Amendments, then the Calculation Agent shall, at the discretion and expense of the Issuer and subject to the Issuer giving notice thereof in accordance with Condition 7(n)(v), without any requirement for the consent or approval of Noteholders, vary these Conditions and/or the Agency Agreement to give effect to such Benchmark Amendments with effect from the date specified in such notice; provided that, the Calculation Agent shall not be obliged to effect any Benchmark Amendment if in the sole opinion of the Calculation Agent doing so would impose more onerous obligations upon it or expose it to any additional duties, responsibilities or liabilities or reduce or amend the protective provisions afforded to it in these Conditions or the Agency Agreement in any way.
In connection with any such variation in accordance with this Condition 7(n)(iv), the Issuer shall comply with the rules of any stock exchange or other relevant authority on which the Notes are for the time being listed or on which they have been admitted to trading.
| (v) | Notices, etc. |
The Issuer will notify the Fiscal Agent, the Paying Agent, any other party specified in the applicable Final Terms as being responsible for calculating the Rate of Interest and, in accordance with Condition 20 (Notices), the Noteholders promptly of any Successor Rate, Alternative Rate, Adjustment Spread and the specific terms of any Benchmark Amendments and the effective date of such Benchmark Amendments, if any, determined under this Condition 7(n).
The Successor Rate or Alternative Rate and the Adjustment Spread (if any) and the Benchmark Amendments (if any) specified in such notice will (in the absence of manifest error or bad faith in the determination of the Successor Rate or Alternative Rate and the Adjustment Spread (if any) and the Benchmark Amendments (if any)) be binding on the Issuer, the Fiscal Agent, the Calculation Agent, the Paying Agent and the Noteholders.
| (vi) | Survival of Original Reference Rate |
Without prejudice to the obligations of the Issuer under the provisions of this Condition 7(n), the Original Reference Rate and the fallback provisions provided for in Condition 7(c) (Screen Rate Determination (Floating Rate Notes other than those referencing SONIA, SONIA Compounded Index, SOFR or SOFR Compounded Index)) or Condition 7(e) (Screen Rate Determination (Floating Rate Notes referencing SONIA)) (as applicable) will continue to apply unless and until a Benchmark Event has occurred.
| (vii) | Fallbacks |
If, following the occurrence of a Benchmark Event and in relation to the determination of the Rate of Interest on the relevant Interest Determination Date, no Successor Rate or Alternative Rate (as applicable) is determined pursuant to this Condition 7(n) by such Interest Determination Date, the Rate of Interest applicable to the next succeeding Interest
Period shall be equal to the Rate of Interest last determined in relation to the Notes in respect of the immediately preceding Interest Period (though substituting, where a different Margin or Maximum or Minimum Rate of Interest is to be applied to the relevant Interest Period from that which applied to the last preceding Interest Period, the Margin or Maximum or Minimum Rate of Interest relating to the relevant Interest Period, in place of the Margin or Maximum or Minimum Rate of Interest relating to that last preceding Interest Period).
For the avoidance of doubt, this Condition 7(n)(vii) shall apply to the determination of the Rate of Interest on the relevant Interest Determination Date only, and the Rate of Interest applicable to any subsequent Interest Period(s) is subject to the subsequent operation of, and to adjustment as provided in, this Condition 7(n).
| (viii) | Definitions |
As used in this Condition 7(n):
"Adjustment Spread" means either a spread (which may be positive or negative), or the formula or methodology for calculating a spread, in either case, which the Independent Adviser determines is required to be applied to the relevant Successor Rate or the relevant Alternative Rate (as the case may be) and is the spread, formula or methodology which:
"Alternative Rate" means an alternative benchmark or screen rate which the Independent Adviser determines in accordance with Condition 7(n)(ii) is customary in market usage in the international debt capital markets for the purposes of determining rates of interest (or the relevant component part thereof) for a commensurate period and in the same Specified Currency as the Notes;
"Benchmark Amendments" has the meaning given to it in Condition 7(n)(iv); "Benchmark Event" means:
the Original Reference Rate) and (ii) the date falling six months prior to the specified date referred to in (B)(i) above;
"Independent Adviser" means an independent financial institution of international repute or other independent financial adviser experienced in the international capital markets appointed by the Issuer under Condition 7(n)(i) at its own expense;
"Original Reference Rate" means the originally-specified benchmark or screen rate (as applicable) used to determine the relevant Rate of Interest (or any component part thereof) on the Notes;
"Relevant Nominating Body" means, in respect of a benchmark or screen rate (as applicable):
"Successor Rate" means a successor to or replacement of the Original Reference Rate which is formally recommended by any Relevant Nominating Body.
| 8. | Zero Coupon Note Provisions |
| (a) | Application |
This Condition 8 is applicable to the Notes only if the Zero Coupon Note Provisions are specified in the relevant Final Terms as being applicable.
| (b) | Late payment on Zero Coupon Notes |
If the Redemption Amount payable in respect of any Zero Coupon Note is improperly withheld or refused, the Redemption Amount shall thereafter be an amount equal to the sum of:
| (i) | the Reference Price; and |
| 9. | Interest to be non-contingent |
Interest on the Notes will not be determined by reference to the receipts, sales, income, profits or cashflow of the Issuer or a related person, or by reference to the change in the value of any property held by the Issuer or a related person.
| 10. | Redemption and Purchase |
| (a) | Scheduled redemption |
Unless previously redeemed, or purchased and cancelled, the Notes will be redeemed at their Final Redemption Amount on the Maturity Date, subject as provided in Conditions 11 (Payments – Bearer Notes) and 12 (Payments – Registered Notes).
| (b) | Redemption for tax reasons |
The Notes may be redeemed at the option of the Issuer in whole, but not in part:
| (i) | at any time (if the Floating Rate Note Provisions are not specified in the relevant Final Terms as being applicable); or |
on giving not less than 30 nor more than 60 days' notice to the Noteholders, or such other period(s) as may be specified in the relevant Final Terms (which notice shall be irrevocable), at their Early Redemption Amount (Tax), together with interest accrued (if any) to the date fixed for redemption, if:
any change in the application or official interpretation of such laws or regulations (including a holding by a court of competent jurisdiction), which change or amendment becomes effective on or after the date of issue of the first Tranche of the Notes, and (2) such obligation cannot be avoided by the Guarantor taking reasonable measures available to it,
provided, however, that no such notice of redemption shall be given earlier than:
Prior to the publication of any notice of redemption pursuant to this Condition 10(b), the Issuer shall deliver or procure that there is delivered to the Fiscal Agent (1) a certificate signed by two directors of the Issuer stating that the Issuer is entitled to effect such redemption and setting forth a statement of facts showing that the conditions precedent to the right of the Issuer so to redeem have occurred and (2) an opinion of independent legal advisers of recognised standing to the effect that the Issuer or (as the case may be) the Guarantor has or will become obliged to pay such additional amounts or (as the case may be) the Guarantor has or will become obliged to make such withholding or deduction as a result of such change or amendment. Upon the expiry of any such notice as is referred to in this Condition 10(b), the Issuer shall be bound to redeem the Notes in accordance with this Condition 10(b).
| (c) | Redemption at the option of the Issuer |
If the Call Option is specified in the relevant Final Terms as being applicable, the Notes may be redeemed at the option of the Issuer in whole or, if so specified in the relevant Final Terms, in part on any Optional Redemption Date (Call) at the relevant Optional Redemption Amount (Call) on the Issuer's giving not less than 30 nor more than 60 days' notice to the Noteholders, or such other period(s) as may be specified in the relevant Final Terms (which notice shall be irrevocable and shall oblige the Issuer to redeem the Notes or, as the case may be, the Notes specified in such notice on the relevant Optional Redemption Date (Call) at the Optional Redemption Amount (Call) plus accrued interest (if any) to such date).
| (d) | Partial redemption |
If the Notes are to be redeemed in part only on any date in accordance with Condition 10(c) (Redemption at the option of the Issuer), in the case of Bearer Notes, the Notes to be redeemed shall be selected by the drawing of lots in such place as the Fiscal Agent approves and in such manner as the Fiscal Agent considers appropriate, subject to compliance with applicable law, the rules of each competent authority, stock exchange and/or quotation system (if any) by which the Notes have then been admitted to listing, trading and/or quotation and the notice to Noteholders referred to in Condition 10(c) (Redemption at the option of the Issuer) shall specify the serial numbers of the Notes so to be redeemed and, in the case of Registered Notes, each Note shall be redeemed in part in the proportion which the aggregate principal amount of the outstanding Notes to be redeemed on the relevant Optional Redemption Date (Call) bears to the aggregate principal amount of outstanding Notes on such date. If any Maximum Redemption Amount or Minimum Redemption Amount is specified in the relevant Final Terms, then the Optional Redemption
Amount (Call) shall in no event be greater than the maximum or be less than the minimum so specified.
| (e) | Redemption at the option of Noteholders |
If the Put Option is specified in the relevant Final Terms as being applicable, the Issuer shall at the option of the Holder of any Note redeem such Note on the Optional Redemption Date (Put) specified in the relevant Put Option Notice at the relevant Optional Redemption Amount (Put) together with interest (if any) accrued to such date. In order to exercise the option contained in this Condition 10(e), the Holder of a Note must, not less than 30 nor more than 60 days before the relevant Optional Redemption Date (Put) (or such other period(s) as may be specified in the relevant Final Terms), deposit with any Paying Agent (in the case of Bearer Notes) such Note together with all unmatured Coupons relating thereto or (in the case of Registered Notes) the certificate representing such Notes with the Registrar or any Transfer Agent, together with a duly completed Put Option Notice in the form obtainable from any Paying Agent. The Paying Agent with which a Note is so deposited shall deliver a duly completed Put Option Receipt to the depositing Noteholder. No Note, once deposited with a duly completed Put Option Notice in accordance with this Condition 10(e), may be withdrawn; provided, however, that if, prior to the relevant Optional Redemption Date (Put), any such Note becomes immediately due and payable or, upon due presentation of any such Note on the relevant Optional Redemption Date (Put), payment of the redemption moneys is improperly withheld or refused, the relevant Paying Agent shall mail notification thereof to the depositing Noteholder at such address as may have been given by such Noteholder in the relevant Put Option Notice and shall hold such Note at its Specified Office for collection by the depositing Noteholder against surrender of the relevant Put Option Receipt. For so long as any outstanding Note is held by a Paying Agent in accordance with this Condition 10(e), the depositor of such Note and not such Paying Agent shall be deemed to be the Holder of such Note for all purposes.
| (f) | No other redemption |
The Issuer shall not be entitled to redeem the Notes otherwise than as provided in Conditions 10(a) to 10(e) above.
| (g) | Early redemption of Zero Coupon Notes |
Unless otherwise specified in the relevant Final Terms, the Redemption Amount payable on redemption of a Zero Coupon Note at any time before the Maturity Date shall be an amount equal to the sum of:
| (i) | the Reference Price; and |
Where such calculation is to be made for a period which is not a whole number of years, the calculation in respect of the period of less than a full year shall be made on the basis of such Day Count Fraction as may be specified in the relevant Final Terms for the purposes of this Condition 10(g) or, if none is so specified, a Day Count Fraction of 30E/360.
| (h) | Purchase |
The Issuer, the Guarantor or any of their respective Subsidiaries may at any time after 183 days following the Issue Date purchase Notes in the open market or otherwise and at any price, provided that all unmatured Coupons are purchased therewith.
| (i) | Cancellation |
All Notes so redeemed or purchased by the Issuer, the Guarantor or any of their respective Subsidiaries and any unmatured Coupons attached to or surrendered with them shall be cancelled and may not be reissued or resold.
| 11. | Payments – Bearer Notes |
This Condition 11 is only applicable to Bearer Notes.
| (e) | Deductions for unmatured Coupons: If the relevant Final Terms specifies that the Fixed Rate Note Provisions are applicable and a Bearer Note is presented without all unmatured Coupons relating thereto: |
| (i) | if the aggregate amount of the missing Coupons is less than or equal to the amount of principal due for payment, a sum equal to the aggregate amount of the missing Coupons will be deducted from the amount of principal due for payment; provided, however, that if the gross amount available for payment is less than the amount of principal due for payment, the sum deducted will be that proportion of the aggregate amount of such missing Coupons which the gross amount actually available for payment bears to the amount of principal due for payment; |
| (A) | so many of such missing Coupons shall become void (in inverse order of maturity) as will result in the aggregate amount of the remainder of such missing Coupons (the "Relevant Coupons") being equal to the amount of principal due for payment; provided, however, that where this Condition 11(e)(ii)(A) would otherwise require a fraction of a missing Coupon to become void, such missing Coupon shall become void in its entirety; and |
Each sum of principal so deducted shall be paid in the manner provided in Condition 11(a) against presentation and (provided that payment is made in full) surrender of the relevant missing Coupons.
| (f) | Unmatured Coupons void: If the relevant Final Terms specifies that this Condition 11(f) is applicable or that the Floating Rate Note Provisions are applicable, on the due date for final redemption of any Note or early redemption in whole of such Note pursuant to Condition 10(b) (Redemption for tax reasons), Condition 10(e) (Redemption at the option of Noteholders), Condition 10(c) (Redemption at the option of the Issuer) or Condition 14 (Events of Default), all unmatured Coupons relating thereto (whether or not still attached) shall become void and no payment will be made in respect thereof. |
| (i) | Partial payments: If a Paying Agent makes a partial payment in respect of any Bearer Note or Coupon presented to it for payment, such Paying Agent will endorse thereon a statement indicating the amount and date of such payment. |
| (j) | Exchange of Talons: On or after the maturity date of the final Coupon which is (or was at the time of issue) part of a Coupon Sheet relating to the Bearer Notes, the Talon forming part of such Coupon Sheet may be exchanged at the Specified Office of the Fiscal Agent for a further Coupon Sheet (including, if appropriate, a further Talon but excluding any Coupons in respect of which claims have already become void pursuant to Condition 15 (Prescription)). Upon the due date for redemption of any Bearer Note, any unexchanged Talon relating to such Note shall become void and no Coupon will be delivered in respect of such Talon. |
All notifications, opinions, determinations, certificates, calculations, quotations and decisions given, expressed, made or obtained for the purposes of the provisions of this Condition 11(k) by the Calculation Agent, will (in the absence of wilful default, bad faith or manifest error) be binding on the Issuer, the Agents and all Holders.
| 12. | Payments – Registered Notes |
This Condition 12 is only applicable to Registered Notes.
| (a) | Principal: Payments of principal shall be made by cheque drawn in the currency in which the payment is due drawn on, or, upon application by a Holder of a Registered Note to the Specified Office of the Fiscal Agent not later than the fifteenth day before the due date for any such payment, by transfer to an account denominated in that currency (or, if that currency is euro, any other account to which euro may be credited or transferred) and maintained by the payee with, a bank in the Principal Financial Centre of that currency (in the case of a sterling cheque, a town clearing branch of a bank in the City of London) and (in the case of redemption) upon surrender (or, in the case of part payment only, endorsement) of the relevant Note Certificates at the Specified Office of any Paying Agent. |
| (c) | Payments subject to fiscal laws: All payments in respect of the Registered Notes are subject in all cases to (i) any fiscal or other laws and regulations applicable thereto in the place of payment, but without prejudice to the provisions of Condition 13 (Taxation) and (ii) any withholding or deduction required pursuant to FATCA. No commissions or expenses shall be charged to the Noteholders in respect of such payments. |
| (e) | Partial payments: If a Paying Agent makes a partial payment in respect of any Registered Note in relation to a partial redemption or otherwise, the Issuer shall procure that the amount and date of such payment are noted on the Register and the relevant Duplicate Register and, in the case of partial payment upon presentation of a Note Certificate, that a statement indicating the amount and the date of such payment is endorsed on the relevant Note Certificate. |
In such event, payments of the U.S. Dollar Equivalent of the relevant principal or interest in respect of Registered Notes represented by Note Certificates shall be made by a U.S. dollar denominated cheque drawn on a bank in New York City and mailed to the holder of such Note Certificates at its address appearing in the Register, or, upon application by the holder to the specified office of the Registrar or any Transfer Agent before the Record Date, by transfer to a U.S. dollar denominated account with a bank in New York City.
All notifications, opinions, determinations, certificates, calculations, quotations and decisions given, expressed, made or obtained for the purposes of the provisions of this Condition 12(f) by the Calculation Agent, will (in the absence of wilful default, bad faith or manifest error) be binding on the Issuer, the Agents and all Holders.
| 13. | Taxation |
| (a) | Gross up |
All payments of principal and interest in respect of the Notes and the Coupons by or on behalf of the Issuer or the Guarantor shall be made free and clear of, and without withholding or deduction for or on account of, any present or future taxes, duties, assessments or governmental charges of whatsoever nature imposed, levied, collected, withheld or assessed by the applicable Relevant
Jurisdiction (in the case of payments by the Issuer) or the United States of America (in the case of payments by the Guarantor) or any political subdivision therein or any authority therein or thereof having power to tax, unless the withholding or deduction of such taxes, duties, assessments or governmental charges is required by law. In that event, the Issuer or (as the case may be) the Guarantor shall pay such additional amounts as will result in receipt by the Noteholders and the Couponholders after such withholding or deduction of such amounts as would have been received by them had no such withholding or deduction been required, except that no such additional amounts shall be payable in respect of any Note or Coupon:
| (i) | held by, or on behalf of, a Holder which is liable to such taxes, duties, assessments or governmental charges in respect of such Note or Coupon by reason of its having some connection with the jurisdiction by which such taxes, duties, assessments or charges have been imposed, levied, collected, withheld or assessed other than the mere holding of such Note or Coupon; or |
| (ii) | presented for payment in the applicable Relevant Jurisdiction; or |
| (vi) | if such amount is payable otherwise than by withholding from a payment on such Note or Coupon or such amount is required to be withheld by a paying agent, if such payment can be made without such withholding by any other paying agent under the Agency Agreement; or |
| (xii) | in the case of any combination of items (i) through (xi), |
nor shall additional amounts be paid to a holder that is a fiduciary or partnership or other than the sole beneficial owner of such payment to the extent that a beneficiary or settlor of such fiduciary or partnership or beneficial owner would not have been entitled to such additional amounts had such beneficiary, settlor or beneficial owner been the Holder of the Note.
| (b) | Taxing jurisdiction |
If the Issuer or the Guarantor becomes subject at any time to any taxing jurisdiction other than the Relevant Jurisdiction or the United States respectively, references in these Conditions to the Relevant Jurisdiction or the United States shall be construed as references to the Relevant Jurisdiction or (as the case may be) the United States and/or such other jurisdiction.
| 14. | Events of Default |
If any of the following events occurs and is continuing:
| (a) | Non-payment of interest: default in the payment of any interest upon any Note of that Series or any related Coupon, when such interest or Coupon becomes due and payable, and continuance of such default for a period of 30 days; or |
| (c) | Breach of other obligations: default in the performance, or breach, of any covenant or agreement of the Issuer (or, if applicable, the Guarantor) in respect of the Notes of the relevant Series, the Agency Agreement or the Deed of Guarantee (other than a covenant or warranty in respect of the Notes of such Series, a default in the performance of which or the breach of which is elsewhere in this Condition specifically dealt with or which has expressly been included in such Notes solely for the benefit of Series of Notes other than that Series) and continuance of such default or breach for a period of 60 days after there has been given, by registered or certified mail, to the Issuer or, if applicable, the Guarantor or the Specified Office of the Fiscal Agent by Noteholders of at least 25 per cent. in principal amount of Notes outstanding of that Series a written notice specifying such default or breach and requiring it to be remedied stating that such notice is a "Notice of Default"; or |
(iii) the Issuer takes any action for a readjustment or deferment of any of its obligations or makes a general assignment or an arrangement or composition with or for the benefit of its creditors or declares a moratorium in respect of any of its Indebtedness or any Guarantee of any Indebtedness given by it or (iv) the Issuer is ordered by a court of competent jurisdiction to cease to carry on all or any substantial part of its business (otherwise than, in the case of the Issuer, for the purposes of or pursuant to an amalgamation, reorganisation or restructuring whilst solvent and in the case of a Subsidiary of the Issuer, for the purposes of or pursuant to any amalgamation, reorganisation or restructuring); or
| (e) | Bankruptcy, etc of Deere or Deere Capital: in the case of Notes issued by or guaranteed by Deere or Deere Capital (i) Deere or Deere Capital (as the case may be) pursuant to or within the meaning of any Bankruptcy Law commences a voluntary case, or consents to the entry of an order for relief against it in an involuntary case, or consents to the appointment of a Custodian of it or for all or |
substantially all of its property or makes a general assignment for the benefit of its creditors; or (ii) a court of competent jurisdiction enters an order or decree under any Bankruptcy Law that is for relief against Deere or Deere Capital (as the case may be) in an involuntary case, or appoints a Custodian of it or for all or substantially all of its property, or orders the liquidation of it and the order or decree remains unstayed and in effect for 90 days. In this Condition, the term "Bankruptcy Law" means title 11, U.S. Code or any similar Federal or State law for the relief of debtors. The term "Custodian" means any receiver, trustee, assignee, liquidator or other similar official under any Bankruptcy law, then any Senior Note of any Issuer or any Subordinated Note issued by Deere or Deere Capital may, by written notice addressed by the holder thereof to the Issuer and the Guarantor and delivered to the Issuer and the Guarantor or to the Specified Office of the Fiscal Agent, be declared immediately due and payable, whereupon it shall become immediately due and payable at its Early Termination Amount together with accrued interest (if any) without further action or formality.
| 15. | Prescription |
Claims for principal in respect of Bearer Notes shall become void unless the relevant Bearer Notes are presented for payment within ten years of the appropriate Relevant Date. Claims for interest in respect of Bearer Notes shall become void unless the relevant Coupons are presented for payment within five years of the appropriate Relevant Date. Claims for principal and interest in respect of Registered Notes shall become void unless the relevant Note Certificates are surrendered for payment within ten years of the appropriate Relevant Date.
| 16. | Replacement of Notes and Coupons |
If any Note, Note Certificate or Coupon is lost, stolen, mutilated, defaced or destroyed, it may be replaced at the Specified Office of the Fiscal Agent, in the case of Bearer Notes, or the Registrar, in the case of Registered Notes (and, if the Notes are then admitted to listing, trading and/or quotation by any competent authority, stock exchange and/or quotation system which requires the appointment of a Paying Agent or Transfer Agent in any particular place, the Paying Agent or Transfer Agent having its Specified Office in the place required by such competent authority, stock exchange and/or quotation system), subject to all applicable laws and competent authority, stock exchange and/or quotation system requirements, upon payment by the claimant of the expenses incurred in connection with such replacement and on such terms as to evidence, security, indemnity and otherwise as the Issuer may reasonably require. Mutilated or defaced Notes, Note Certificates or Coupons must be surrendered before replacements will be issued.
| 17. | Agents |
In acting under the Agency Agreement and in connection with the Notes and the Coupons, the Paying Agents act solely as agents of the Issuer and the Guarantor and do not assume any obligations towards or relationship of agency or trust for or with any of the Noteholders or Couponholders.
The initial Calculation Agent (if any) is specified in the relevant Final Terms. The Issuer and the Guarantor reserve the right at any time to vary or terminate the appointment of any Paying Agent and to appoint a successor fiscal agent or Calculation Agent and additional or successor paying agents; provided, however, that:
| (i) | the Issuer and the Guarantor shall at all times maintain a fiscal agent and a registrar; and |
Notice of any change in any of the Agents or in their Specified Offices shall promptly be given to the Noteholders.
| 18. | Meetings of Noteholders; Modification and Waiver |
| (a) | Meetings of Noteholders |
The Agency Agreement contains provisions for convening meetings of Noteholders to consider matters relating to the Notes, including the modification of any provision of these Conditions. Any such modification may be made if sanctioned by an Extraordinary Resolution. Such a meeting may be convened by the Issuer and the Guarantor (acting together) and shall be convened by them upon the request in writing of Noteholders holding not less than one-tenth of the aggregate principal amount of the outstanding Notes. The quorum at any meeting convened to vote on an Extraordinary Resolution will be two or more Persons holding or representing one more than half of the aggregate principal amount of the outstanding Notes or, at any adjourned meeting, two or more Persons being or representing Noteholders whatever the principal amount of the Notes held or represented; provided, however, that Reserved Matters may only be sanctioned by an Extraordinary Resolution passed at a meeting of Noteholders at which two or more Persons holding or representing not less than three-quarters or, at any adjourned meeting, one quarter of the aggregate principal amount of the outstanding Notes form a quorum. Any Extraordinary Resolution duly passed at any such meeting shall be binding on all the Noteholders and Couponholders, whether present or not.
Any such meeting of the Noteholders may be convened at a physical location, or such other method (which may include, without limitation, a conference call or video conference) as the Fiscal Agent may determine in accordance with the provisions of the Agency Agreement.
In addition, a resolution in writing signed by or on behalf of all Noteholders who for the time being are entitled to receive notice of a meeting of Noteholders will take effect as if it were an Extraordinary Resolution. Such a resolution in writing may be contained in one document or several documents in the same form, each signed by or on behalf of one or more Noteholders.
For the avoidance of doubt, Articles 470-3 to 470-19 of the Luxembourg law on commercial companies dated 10 August 1915, as amended, are hereby excluded in respect of the Notes, Coupons and Talons.
| (b) | Modification |
The Notes, these Conditions, the Deeds of Guarantee and the Deed of Covenant may be amended without the consent of the Noteholders or the Couponholders to correct a manifest error. In addition, the parties to the Agency Agreement may agree to modify any provision thereof, but the Issuer and the Guarantor shall not agree, without the consent of the Noteholders, to any such modification unless it is of a formal, minor or technical nature, it is made to correct a manifest error or it is, in the opinion of such parties, not materially prejudicial to the interests of the Noteholders.
In addition, the parties to the Agency Agreement may agree such modifications to the Agency Agreement, the Notes, these Conditions, the Deeds of Guarantee and the Deed of Covenant as may be required in order to give effect to Condition 7(n) (Benchmark Discontinuation) in connection with effecting any Alternative Reference Rate, Successor Rate, Adjustment Spread or Benchmark Amendments referred to in Condition 7(n) (Benchmark Discontinuation) or Condition 7(f) (Screen Rate Determination (Floating Rate Notes referencing SOFR)) in connection with any Benchmark Replacement or Benchmark Conforming Changes without the requirement for the consent or sanction of the Noteholders or Couponholders.
| 19. | Further Issues |
The Issuer may from time to time, without the consent of the Noteholders or the Couponholders, create and issue further notes having the same terms and conditions as the Notes in all respects (or in all respects except for the first payment of interest) so as to form a single series with the Notes.
| 20. | Notices |
| (a) | Bearer Notes: Notices to the Holders of Bearer Notes admitted to the Official List of the Irish Stock Exchange plc, trading as Euronext Dublin ("Euronext Dublin") and/or admitted to trading on the regulated market of Euronext Dublin will be deemed to be validly given if published on the website of Euronext Dublin or published in a leading English language daily newspaper of general circulation in Ireland and approved by Euronext Dublin. It is expected that such publication will be made in The Irish Times. Any such notice shall be deemed to have been given on the date of first publication (or if required to be published in more than one newspaper, on the first date on which publication shall have been made in all the required newspapers). Couponholders shall be deemed for all purposes to have notice of the contents of any notice given to the Holders of Bearer Notes. |
| 21. | Currency Indemnity |
If any sum due from the Issuer in respect of the Notes or the Coupons or any order or judgment given or made in relation thereto has to be converted from the currency (the "first currency") in which the same is payable under these Conditions or such order or judgment into another currency (the "second currency") for the purpose of (a) making or filing a claim or proof against the Issuer,
(b) obtaining an order or judgment in any court or other tribunal or (c) enforcing any order or judgment given or made in relation to the Notes, the Issuer shall indemnify each Noteholder, on the written demand of such Noteholder addressed to the Issuer and delivered to the Issuer or to the Specified Office of the Fiscal Agent, against any loss suffered as a result of any discrepancy between (i) the rate of exchange used for such purpose to convert the sum in question from the first currency into the second currency and (ii) the rate or rates of exchange at which such Noteholder may in the ordinary course of business purchase the first currency with the second currency upon receipt of a sum paid to it in satisfaction, in whole or in part, of any such order, judgment, claim or proof.
This indemnity constitutes a separate and independent obligation of the Issuer and shall give rise to a separate and independent cause of action.
| 22. | Rounding |
For the purposes of any calculations referred to in these Conditions (unless otherwise specified in these Conditions or the relevant Final Terms), (a) all percentages resulting from such calculations will be rounded, if necessary, to the nearest one hundred-thousandth of a percentage point (with 0.000005 per cent. being rounded up to 0.00001 per cent.), (b) all United States dollar amounts used in or resulting from such calculations will be rounded to the nearest cent (with one half cent being rounded up), (c) all Japanese yen amounts used in or resulting from such calculations will be rounded downwards to the next lower whole Japanese yen amount, and (d) all amounts denominated in any other currency used in or resulting from such calculations will be rounded to the nearest two decimal places in such currency, with 0.005 being rounded upwards.
| 23. | Governing Law and Jurisdiction |
| (a) | Governing law: The Notes, each Deed of Guarantee, the Agency Agreement and the Deed of Covenant and all non-contractual obligations arising out of or in connection with them are governed by, English law except that in the case of Subordinated Notes issued by Deere or Deere Capital, the provisions of Condition 4(b) (Status of the Subordinated Notes) and all matters arising from or in connection with them shall be governed by and construed in accordance with the federal laws of the United States of America. For the avoidance of doubt, the provisions of articles 470-3 |
to 470-19 of the Luxembourg law on commercial companies dated 10 August 1915, as amended, are excluded in respect of the Notes, Coupons and Talons.
| (c) | Appropriate forum: Each Issuer and Guarantor agrees that the courts of England are the most appropriate and convenient courts to settle any Dispute and, accordingly, that it will not argue to the contrary. |
| (e) | Service of process: Each Issuer and Guarantor agrees that the documents which start any Proceedings and any other documents required to be served in relation to those Proceedings may be served on it by being delivered to Law Debenture Corporate Services Limited at its registered office from time to time, being at the date of these Conditions at 8th Floor, 100 Bishopsgate, London, EC2N 4AG, United Kingdom, or, if different, its registered office for the time being or at any address of the Issuers or the Guarantors in Great Britain at which process may be served on it in accordance with the Companies Act 2006. If such person is not or ceases to be effectively appointed to accept service of process on behalf of the Issuers or the Guarantors, the Issuers and Guarantors (acting together) shall, on the written demand of any of the Noteholders addressed to the Issuers and the Guarantors and delivered to the Issuers and the Guarantors or to the Specified Office of the Fiscal Agent, appoint a further person in England to accept service of process on its behalf and, failing such appointment within 15 days, any Noteholder shall be entitled to appoint such a person by written notice addressed to the Issuers and the Guarantors and delivered to the Issuers and the Guarantors or to the Specified Office of the Fiscal Agent. Nothing in this Condition 23(e) shall affect the right of any Noteholder to serve process in any other manner permitted by law. This Condition applies to Proceedings in England and to Proceedings elsewhere. |
| 24. | Rights of Third Parties |
No person shall have any right to enforce any term or condition of the Notes under the Contract (Rights of Third Parties) Act 1999 but this shall not affect any right or remedy of a third party which exists or is available apart from such Act.
| 25. | Acknowledgement of Bail-in and Loss Absorption Powers in respect of Notes and Coupons issued by Deere Luxembourg |
This Condition applies to the Notes and Coupons issued by Deere Luxembourg only.
Notwithstanding, and to the exclusion of, any other term of the Notes or any other agreements, arrangements or understandings between Deere Luxembourg, any Noteholder or Couponholder and, by its acquisition of any Note or Coupon, each Noteholder and Couponholder (which, for the purposes of this Condition 25, includes each holder of a beneficial interest in the Notes and/or the Coupons) acknowledges and accepts that any liability arising under the Notes or Coupons may be subject to the exercise of Bail-in and Loss Absorption Powers by the Relevant Resolution Authority and acknowledges, accepts, consents to and agrees to be bound by:
| (a) | the effect of the exercise of any Bail-in and Loss Absorption Powers by the Relevant Resolution Authority, which exercise (without limitation) may include and result in any of the following, or a combination thereof: |
| (i) | the reduction of all, or a portion, of the Liability in respect of the Notes and/or Coupons; |
obligations, including by means of an amendment, modification or variation of the terms of the Notes and/or Coupons;
| (iii) | the cancellation of the Notes and/or Coupons or the Liability in respect thereof; |
"Bail-in and Loss Absorption Powers" means any loss absorption, write-down, conversion, transfer, modification, suspension or similar or resolution related power existing from time to time under, and exercised in compliance with, any laws, regulations, rules or requirements in effect in Luxembourg, relating to: (i) the transposition of Directive 2014/59/EU (the "BRRD"), including without limitation, the law of 18 December 2015 on the default of credit institutions and certain investment firms (as amended) (the "Luxembourg Resolution Law"), and Regulation (EU) No. 806/2014 of the European Parliament and of the Council of 15 July 2014 establishing uniform rules and a uniform procedure for the resolution of credit institutions and certain investment firms in the framework of a Single Resolution Mechanism and a Single Resolution Fund and amending Regulation (EU) No. 1093/2010 (as amended from time to time, the "Single Resolution Mechanism Regulation"), or otherwise arising under Luxembourg law; and (ii) in each case the instruments, rules and standards created thereunder, pursuant to which any obligation of Deere Luxembourg (or any affiliate of Deere Luxembourg) can be reduced (in part or in whole), cancelled, modified, or converted into shares, other securities or other obligations of Deere Luxembourg or any other person (or suspended for a temporary period), whether in connection with the implementation of a bail-in tool following placement in resolution or otherwise;
"Liability" means any contractual or non-contractual liability (engagement) of Deere Luxembourg under or in relation to the Notes and/or Coupons (other than an Excluded Liability), including without limitation the Relevant Amounts in respect of the Notes and/or Coupons, in accordance with laws, regulations, rules or requirements implementing the BRRD into Luxembourg law, including, but not limited to, the Luxembourg Resolution Law;
"Excluded Liability" means a liability (engagement) excluded from the Bail-in or Loss Absorption Powers pursuant to the laws, regulations, rules or requirements in effect in Luxembourg, in particular, without limitation, pursuant to Article 45 (2) of the Luxembourg Resolution Law;
"Relevant Amounts" means the outstanding principal amount of the Notes, together with any accrued but unpaid interest and additional amounts due on the Notes and/or Coupons. References to such amounts will include amounts that have become due and payable, but which have not been paid, prior to the exercise of any Bail-in and Loss Absorption Powers by the Relevant Resolution Authority; and
"Relevant Resolution Authority" means the resolution authority with the ability to exercise any Bail-in and Loss Absorption Powers in relation to Deere Luxembourg, including in respect of Luxembourg, the Commission de Surveillance du Secteur Financier, acting in its capacity as resolution authority within the meaning of Article 3(1) of BRRD, the Single Resolution Board established pursuant to the Single Resolution Mechanism Regulation, and/or any other authority entitled to exercise or participate in the exercise of any Bail-in or Loss Absorption Power from time to time (including the Council of the European Union and the European Commission when acting pursuant to Article 18 of the Single Resolution Mechanism Regulation).