Sign In
EX-4.1

Exhibit 4.1

[Face of Note]

UNLESS THIS CERTIFICATE IS PRESENTED BY AN AUTHORIZED REPRESENTATIVE OF CDS CLEARING AND DEPOSITORY SERVICES INC. (“CDS”) TO WELLS FARGO & COMPANY (THE “ISSUER”) OR ITS AGENT FOR REGISTRATION OF TRANSFER, EXCHANGE OR PAYMENT, AND ANY CERTIFICATE ISSUED IN RESPECT THEREOF IS REGISTERED IN THE NAME OF CDS & CO., OR IN SUCH OTHER NAME AS IS REQUESTED BY AN AUTHORIZED REPRESENTATIVE OF CDS (AND ANY PAYMENT IS MADE TO CDS & CO. OR TO SUCH OTHER ENTITY AS IS REQUESTED BY AN AUTHORIZED REPRESENTATIVE OF CDS), ANY TRANSFER, PLEDGE OR OTHER USE HEREOF FOR VALUE OR OTHERWISE BY OR TO ANY PERSON IS WRONGFUL SINCE THE REGISTERED HOLDER HEREOF, CDS & CO., HAS A PROPERTY INTEREST IN THE SECURITIES REPRESENTED BY THIS CERTIFICATE HEREIN AND IT IS A VIOLATION OF ITS RIGHTS FOR ANOTHER PERSON TO HOLD, TRANSFER OR DEAL WITH THIS CERTIFICATE. THIS CERTIFICATE IS ISSUED PURSUANT TO A BOOK ENTRY ONLY SECURITIES SERVICES AGREEMENT BETWEEN ISSUER AND CDS, AS SUCH AGREEMENT MAY BE REPLACED OR AMENDED FROM TIME TO TIME.

UNLESS PERMITTED UNDER SECURITIES LEGISLATION, (A) OTHER THAN IN MANITOBA, THE HOLDER OF THIS SECURITY MUST NOT TRADE THE SECURITY BEFORE THE DATE THAT IS 4 MONTHS AND A DAY AFTER THE LATER OF (I) APRIL 23, 2024 AND (II) THE DATE THE ISSUER BECAME A REPORTING ISSUER IN ANY PROVINCE OR TERRITORY, AND (B) IN MANITOBA, ANY HOLDER OF THIS SECURITY PURCHASED UNDER THE “ACCREDITED INVESTOR” EXEMPTION MUST NOT TRADE THE SECURITY BEFORE THE DATE THAT IS 12 MONTHS AND A DAY AFTER APRIL 23, 2024 OR UNTIL THE ISSUER FILES A PROSPECTUS FOR THE SECURITY.

This Security is not a deposit or other obligation of a depository institution and is not insured by the Federal Deposit Insurance Corporation, the Deposit Insurance Fund, the Canadian Deposit Insurance Fund or any other governmental agency.

 

CUSIP NO. 949746TJ0    PRINCIPAL AMOUNT: CAD_____________

ISIN CA949746TJ07

REGISTERED NO. _

WELLS FARGO & COMPANY

5.083% Fixed-to-Floating Rate Notes Due April 26, 2028

WELLS FARGO & COMPANY, a corporation duly organized and existing under the laws of the State of Delaware (hereinafter called the “Company,” which term includes any successor corporation under the Indenture hereinafter referred to), for value received, hereby promises to pay to


CDS & CO., or registered assigns, the principal sum of _______________________________________ CANADIAN DOLLARS (CAD_____________) on April 26, 2028 and to pay interest thereon (i) from April 23, 2024 (or from the most recent Fixed Rate Interest Payment Date to which interest has been paid or duly provided for) to, but excluding, April 26, 2027 (the “Fixed Rate Period”), semi-annually on each April 26 and October 26, commencing October 26, 2024 and ending April 26, 2027 (each, a “Fixed Rate Interest Payment Date”), at a rate equal to 5.083% per annum, and (ii) from, and including, April 26, 2027 (or from the most recent Floating Rate Interest Payment Date to which interest has been paid or duly provided for) to, but excluding, the date of Maturity (the “Floating Rate Period”), quarterly on each January 26, April 26, July 26 and October 26, commencing July 26, 2027 and ending on the date of Maturity (each, a “Floating Rate Interest Payment Date”), at a rate equal to Daily Compounded CORRA (Index) (as defined herein) plus 1.04% (the “Spread”), subject to a minimum interest rate of 0% per annum (the “Minimum Interest Rate”) and to modification as described under “Determination of Daily Compounded CORRA (Index)” below, until the principal hereof is paid or made available for payment. References herein to “Interest Payment Date” shall mean, as applicable, a Fixed Rate Interest Payment Date or a Floating Rate Interest Payment Date.

“Business Day” is a day, other than a Saturday or Sunday, that is neither a legal holiday nor a day on which banking institutions are authorized or required by law or regulation or executive order to close in Toronto, Ontario, Canada or New York, New York, United States.

An “Interest Period” means the period from, and including, an Interest Payment Date to, but excluding, the next succeeding Interest Payment Date, except for the initial Interest Period, which will be the period from April 23, 2024 to, but excluding, October 26, 2024.

As used herein with respect to the Floating Rate Period:

A “Bank of Canada Business Day” is a day that Schedule 1 banks under the Bank Act (Canada) are open for business in Toronto, Ontario, Canada, other than a Saturday or a Sunday or a public holiday in Toronto (or such revised regular publication calendar for CORRA, the CORRA Compounded Index or an Applicable CORRA Fallback Rate as may be adopted by the CORRA Reference Rate Administrator from time to time).

The “Calculation Agent” has not been appointed, but the Company will appoint a Calculation Agent prior to the commencement of the Floating Rate Period. An affiliate of the Company may be appointed the Calculation Agent. All references herein to “designee” shall mean the Calculation Agent appointed by the Company.

“CORRA” means, with respect to any Bank of Canada Business Day, a reference rate equal to the daily Canadian Overnight Repo Rate Average for that day, as published by the CORRA Reference Rate Administrator, on the website of the CORRA Reference Rate Administrator or any successor website on the immediately following Bank of Canada Business Day. As used herein, references to “compounded CORRA” mean Daily Compounded CORRA (as defined below).

 

2


The “CORRA Compounded Index” means the measure of the cumulative impact of CORRA compounding over time administered and published by the CORRA Reference Rate Administrator.

The “CORRA Reference Rate Administrator” means the Bank of Canada or any successor administrator for CORRA and/or the CORRA Compounded Index or the administrator (or its successor) of another Applicable CORRA Fallback Rate, as applicable.

The “Interest Determination Date” means the date that is two Bank of Canada Business Days before each Interest Payment Date (or, in the case of the final Interest Period during the Floating Rate Period, the Stated Maturity Date or, if this Security is redeemed during such period, the Redemption Date).

An “Observation Period” means, in respect of each Interest Period during the Floating Rate Period, the period from, and including, the date two Bank of Canada Business Days preceding the first date in such Interest Period to, but excluding, the date two Bank of Canada Business Days preceding the Interest Payment Date for such period (or, in the case of the final Interest Period during the Floating Rate Period, the Stated Maturity Date or, if this Security is redeemed during such period, the Redemption Date).

With respect to the Fixed Rate Period, interest on this Security for a full semi-annual Interest Period will be computed on the basis of a 360-day year of twelve 30-day months. For an Interest Period during the Fixed Rate Period that is not a full semi-annual Interest Period, interest will be computed on the basis of a 365-day year and the actual number of days in such Interest Period. If a Fixed Rate Interest Payment Date is not a Business Day, interest on this Security shall be payable on the next day that is a Business Day, with the same force and effect as if made on such Fixed Rate Interest Payment Date, and without any interest or other payment with respect to the delay.

With respect to the Floating Rate Period, interest on this Security for a quarterly Interest Period will be determined by reference to Daily Compounded CORRA (Index) plus the Spread, subject to the Minimum Interest Rate, modification as described under “Determination of Daily Compounded CORRA (Index)” below and as determined by the Calculation Agent. Interest on this Security for a quarterly Interest Period during the Floating Rate Period will be computed on the basis of a 365-day year and the actual number of days in such Interest Period. If any Floating Rate Interest Payment Date, other than a date of Maturity, during the Floating Rate Period falls on a day that is not a Business Day, it will be postponed to the following Business Day, except that if that Business Day would fall in the next calendar month, the Floating Rate Interest Payment Date will be the immediately preceding Business Day. If the date of Maturity would fall on a day that is not a Business Day, the payment of principal and interest on this Security shall be made on the next Business Day, with the same force and effect as if made on the date of Maturity, and no additional interest shall accrue on the amount so payable for the period from and after such date of Maturity.

 

3


Determination of Daily Compounded CORRA (Index)

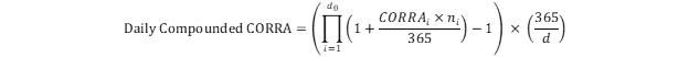
“Daily Compounded CORRA (Index)” means, for an Observation Period, the rate calculated using the below methodology that references the CORRA Compounded Index (as determined by the Company or its designee) with the resulting percentage being rounded, if necessary, to the fifth decimal place, with 0.000005% being rounded upwards and -0.000005% being rounded downwards.

 

LOGO

where:

“CORRA Compounded Indexstart” is equal to the CORRA Compounded Index value on the date that is two Bank of Canada Business Days preceding the first date of the relevant Interest Period during the Floating Rate Period;

“CORRA Compounded Indexend” is equal to the CORRA Compounded Index value on the date that is two Bank of Canada Business Days preceding the Interest Payment Date relating to such Interest Period during the Floating Rate Period (or, in the case of the final Interest Period during the Floating Rate Period, the Stated Maturity Date or, if this Security is redeemed during such period, the Redemption Date); and

“d” is the number of calendar days in the relevant Observation Period.

Fallback Provisions

Notwithstanding the foregoing, if (1) the CORRA Compounded Indexstart or the CORRA Compounded Indexend is not published or displayed by the CORRA Reference Rate Administrator or an authorized distributor by 11:30 a.m. Toronto time (or an amended publication time, if any, as specified in the CORRA Reference Rate Administrator’s methodology for calculating the CORRA Compounded Index) on the Interest Determination Date for an Interest Period during the Floating Rate Period but a CORRA Compounded Index Cessation Effective Date (as defined below) has not occurred or (2) the Company or its designee determines that a CORRA Compounded Index Cessation Event (as defined below) has occurred, the terms and provisions set forth in paragraphs (i) through (iii) below will apply, in the order set forth below. Notwithstanding paragraphs (i) through (iii) below, in connection with the implementation of Daily Compounded CORRA or an Applicable CORRA Fallback Rate, the Company or its designee may make such changes or adjustments to (1) the Applicable CORRA Fallback Rate or the spread thereon, (2) any interest determination date, interest payment date, other relevant date, business day convention or interest period, (3) the manner, timing and frequency of determining rates and amounts of interest that are payable on this Security and the conventions relating to such determination, (4) the timing and frequency of making payments of interest, (5) rounding conventions, (6) tenors, and (7) any other terms or provisions of this Security and related definitions, in each case that the Company or its designee determines, from time to time, are consistent with accepted market practice or applicable regulatory or legislative action or guidance for the use of Daily Compounded CORRA

 

4


or such Applicable CORRA Fallback Rate for debt obligations comparable to this Security in such circumstances.

 

  (i)

If (1) the CORRA Compounded Indexstart or the CORRA Compounded Indexend is not published or displayed by the CORRA Reference Rate Administrator or an authorized distributor by 11:30 a.m. Toronto time (or an amended publication time, if any, as specified in the CORRA Reference Rate Administrator’s methodology for calculating the CORRA Compounded Index) on the Interest Determination Date for an Interest Period during the Floating Rate Period but a CORRA Compounded Index Cessation Effective Date has not occurred, or (2) the Company or its designee determines that a CORRA Compounded Index Cessation Event has occurred, then the rate of interest for the applicable Interest Period during the Floating Rate Period will be calculated by the Company or its designee in accordance with the formula for “Daily Compounded CORRA” below, taking into account any adjustments deemed necessary by the Company or its designee to account for any difference in structure, with the resulting percentage being rounded, if necessary, to the fifth decimal place, with 0.000005% being rounded upwards and -0.000005% being rounded downwards:

 

LOGO

where:

d0” for any Observation Period is the number of Bank of Canada Business Days in the relevant Observation Period;

i” is a series of whole numbers from one to d0, each representing the relevant Bank of Canada Business Day in chronological order from, and including, the first Bank of Canada Business Day in the relevant Observation Period;

CORRAi”, for any Bank of Canada Business Day “i” in the relevant Observation Period, is equal to the daily CORRA rate in respect of that day as published by the CORRA Reference Rate Administrator on the website of the CORRA Reference Rate Administrator or any successor website on the immediately following Bank of Canada Business Day, which is Bank of Canada Business Day “i” + 1, provided that if by not later than 11:00 a.m. Toronto Time (or the amended publication deadline for CORRA, if any, specified by the CORRA Reference Rate Administrator) neither the CORRA Reference Rate Administrator nor authorized distributors provide or publish CORRA in respect of that day and a CORRA Cessation Effective Date (as defined below) has not occurred, then, references to CORRA will be deemed to be references to the last provided or published CORRA;

ni”, for any Bank of Canada Business Day “i” in the relevant Observation Period, is the number of calendar days from, and including, such Bank of Canada Business Day “i” to,

 

5


but excluding, the following Bank of Canada Business Day, which is Bank of Canada Business Day “i” + 1; and

d” is the number of calendar days in the relevant Observation Period.

 

  (ii)

If the Company or its designee determines that a CORRA Cessation Event (as defined below) has occurred, then the rate for an Interest Determination Date which occurs on or after the CORRA Cessation Effective Date with respect to compounded CORRA will be the CAD Recommended Rate (as defined below), to which the Company or its designee shall apply the most recently published spread, as at the CORRA Cessation Effective Date with respect to compounded CORRA after making such adjustments to the CAD Recommended Rate as the Company or its designee determines to be necessary to account for any difference in term, structure or tenor of the CAD Recommended Rate by comparison to compounded CORRA. If there is a CAD Recommended Rate before the end of the first Bank of Canada Business Day following the CORRA Cessation Effective Date with respect to compounded CORRA but neither the administrator nor authorized distributors provide or publish the CAD Recommended Rate and a Fallback Index Cessation Effective Date (as defined below) with respect to it has not occurred, then, in respect of any day for which the CAD Recommended Rate is required, references to the CAD Recommended Rate will be deemed to be references to the last provided or published CAD Recommended Rate.

 

  (iii)

If there is no CAD Recommended Rate before the end of the first Bank of Canada Business Day following a CORRA Cessation Effective Date with respect to compounded CORRA; or there is a CAD Recommended Rate and a Fallback Index Cessation Effective Date subsequently occurs with respect to it, then the rate for an Interest Determination Date which occurs on or after the CORRA Cessation Effective Date with respect to compounded CORRA or the Fallback Index Cessation Effective Date with respect to the CAD Recommended Rate (as applicable) will be the BOC Target Rate (as defined below), to which the Company or its designee shall apply the most recently published spread, as at the Fallback Index Cessation Effective Date with respect to compounded CORRA, after making such adjustments to the BOC Target Rate as the Company or its designee determines to be necessary to account for any difference in term, structure or tenor of the BOC Target Rate by comparison to compounded CORRA. If neither the administrator nor authorized distributors provide or publish the BOC Target Rate and a Fallback Index Cessation Effective Date with respect to the BOC Target Rate has not occurred, then, in respect of any day for which the BOC Target Rate is required, references to the BOC Target Rate will be deemed to be references to the last provided or published BOC Target Rate.

As used in the foregoing terms and provisions relating to the determination of Daily Compounded CORRA (Index):

“Applicable CORRA Fallback Rate” means one of the CAD Recommended Rate or the BOC Target Rate, as applicable.

“BOC Target Rate” means the Bank of Canada’s target for the overnight rate as set by the Bank of Canada and published on the Bank of Canada’s website.

 

6


“CAD Recommended Rate” means the rate (inclusive of any spreads or adjustments) recommended as the replacement for CORRA by a committee officially endorsed or convened by the Bank of Canada for the purpose of recommending a replacement for CORRA (which rate may be produced by the Bank of Canada or another administrator) and as provided by the administrator of that rate or, if that rate is not provided by the administrator thereof (or a successor administrator), published by an authorized distributor.

A “CORRA Cessation Effective Date” means, in respect of one or more CORRA Cessation Events, the first date on which CORRA is no longer provided. If CORRA ceases to be provided on the same day that it is required to determine the rate for an Interest Period but it was provided on the Interest Determination Date for such Interest Period, then the CORRA Cessation Effective Date will be the next day on which the rate would ordinarily have been published.

A “CORRA Cessation Event” means:

(1) a public statement or publication of information by or on behalf of the administrator of CORRA announcing that it has ceased or will cease to provide CORRA permanently or indefinitely, provided that, at the time of the statement or publication, there is no successor administrator that will continue to provide CORRA; or

(2) a public statement or publication of information by the regulatory supervisor for the administrator of CORRA, the Bank of Canada, an insolvency official with jurisdiction over the administrator for CORRA, a resolution authority with jurisdiction over the administrator for CORRA or a court or an entity with similar insolvency or resolution authority over the administrator for CORRA, which states that the administrator of CORRA has ceased or will cease to provide CORRA permanently or indefinitely, provided that, at the time of the statement or publication, there is no successor administrator that will continue to provide CORRA.

A “CORRA Compounded Index Cessation Effective Date” means, in respect of one or more CORRA Compounded Index Cessation Events, the first date on which the CORRA Compounded Index is no longer provided. If the CORRA Compounded Index ceases to be provided on the same day that it is required to determine the rate for an Interest Period but it was provided on the Interest Determination Date for such Interest Period, then the CORRA Compounded Index Cessation Effective Date will be the next day on which the rate would ordinarily have been published.

A “CORRA Compounded Index Cessation Event” means:

(1) a public statement or publication of information by or on behalf of the administrator of the CORRA Compounded Index announcing that it has ceased or will cease to provide the CORRA Compounded Index permanently or indefinitely, provided that, at the time of the statement or publication, there is no successor administrator that will continue to provide the CORRA Compounded Index; or

 

7


(2) a public statement or publication of information by the regulatory supervisor for the administrator of the CORRA Compounded Index, the Bank of Canada, an insolvency official with jurisdiction over the administrator for the CORRA Compounded Index, a resolution authority with jurisdiction over the administrator for the CORRA Compounded Index or a court or an entity with similar insolvency or resolution authority over the administrator for the CORRA Compounded Index, which states that the administrator of the CORRA Compounded Index has ceased or will cease to provide the CORRA Compounded Index permanently or indefinitely, provided that, at the time of the statement or publication, there is no successor administrator that will continue to provide the CORRA Compounded Index.

A “Fallback Index Cessation Effective Date” means, in respect of one or more Fallback Index Cessation Events (as defined below), the first date on which the Applicable CORRA Fallback Rate is no longer provided. If the Applicable CORRA Fallback Rate ceases to be provided on the same day that it is required to determine the rate for an Interest Determination Date pursuant to the terms of this Security but it was provided at the time at which it is to be observed pursuant to the terms of this Security (or, if no such time is specified in the terms and provisions of this Security, at the time at which it is ordinarily published), then the Fallback Index Cessation Effective Date will be the next day on which the rate would ordinarily have been published.

A “Fallback Index Cessation Event” means:

(1)a public statement or publication of information by or on behalf of the administrator or provider of the Applicable CORRA Fallback Rate announcing that it has ceased or will cease to provide the Applicable CORRA Fallback Rate permanently or indefinitely, provided that, at the time of the statement or publication, there is no successor administrator or provider that will continue to provide the Applicable CORRA Fallback Rate; or

(2)a public statement or publication of information by the regulatory supervisor for the administrator or provider of the Applicable CORRA Fallback Rate, the Bank of Canada, an insolvency official with jurisdiction over the administrator or provider for the Applicable CORRA Fallback Rate, a resolution authority with jurisdiction over the administrator or provider for the Applicable CORRA Fallback Rate or a court or an entity with similar insolvency or resolution authority over the administrator or provider for the Applicable CORRA Fallback Rate, which states that the administrator or provider of the Applicable CORRA Fallback Rate has ceased or will cease to provide the Applicable CORRA Fallback Rate permanently or indefinitely, provided that, at the time of the statement or publication, there is no successor administrator or provider that will continue to provide the Applicable CORRA Fallback Rate.

Any determination, decision, election or calculation that may be made by the Company or its designee pursuant to the provisions described in this section “Determination of Daily Compounded CORRA (Index),” including any determination with respect to a rate or adjustment or of the occurrence or non-occurrence of an event, circumstance or date and any decision to take or refrain from taking any action or any selection, will be conclusive and binding absent manifest

 

8


error, may be made in the Company’s or its designee’s sole discretion, and, notwithstanding anything to the contrary in the documentation relating to this Security, shall become effective without consent from any other party.

For the avoidance of doubt, any spread or other adjustment applied to Daily Compounded CORRA or an Applicable CORRA Fallback Rate shall be in addition to the Spread applicable to this Security during the Floating Rate Period.

 

 

The interest so payable, and punctually paid or duly provided for, on any Interest Payment Date will, as provided in the Indenture, be paid to the Person in whose name this Security (or one or more Predecessor Securities) is registered at the close of business on the Regular Record Date for such interest immediately preceding such Interest Payment Date. The Regular Record Date for an Interest Payment Date shall be the third Business Day immediately preceding to such Interest Payment Date. Interest payable upon Maturity will be paid to the Person to whom principal is payable.

If Canadian dollars are unavailable for payments on this Security, the Company will satisfy its obligations to make the payments on this Security by making those payments on the date of payment in U.S. dollars on the basis of the Bank of Canada daily exchange rate (the “Market Exchange Rate”). If that rate of exchange is not then available or is not published for Canadian dollars, the Market Exchange Rate will be based on the highest bid quotation in New York, New York received by the exchange rate agent at approximately 11:00 a.m., New York City time, on the second Business Day preceding the applicable payment date from three recognized foreign exchange dealers for the purchase by the quoting dealer of Canadian dollars for U.S. dollars for settlement on the payment date in the aggregate amount of Canadian dollars payable to the Holder of this Security and at which the applicable dealer commits to execute a contract. One of the dealers providing quotations may be the exchange rate agent appointed by the Company unless the exchange rate agent is an affiliate of the Company. If those bid quotations are not available, the exchange rate agent will determine the Market Exchange Rate at its sole discretion. The Company will appoint an exchange rate agent in the event the Company is entitled to make payments on this Security in U.S. dollars and will notify the Holder of this Security of such appointment. Any payment made in U.S. dollars as provided above where the required payment is in unavailable Canadian dollars will not constitute an Event of Default under the Indenture.

Any interest not punctually paid or duly provided for will forthwith cease to be payable to the Holder on such Regular Record Date and may either be paid to the Person in whose name this Security (or one or more Predecessor Securities) is registered at the close of business on a Special Record Date for the payment of such Defaulted Interest to be fixed by the Trustee, notice whereof shall be given to Holders of Securities of this series not less than 10 days prior to such Special Record Date, or be paid at any time in any other lawful manner not inconsistent with the requirements of any securities exchange on which the Securities of this series may be listed, and upon such notice as may be required by such exchange, all as more fully provided in the Indenture.

 

9


Payment of interest on this Security will be made in immediately available funds at the office or agency of the Company maintained for that purpose in Toronto, Ontario, Canada in Canadian dollars; provided, however, that, at the option of the Company, payment of interest may be paid by check mailed to the Person entitled thereto at such Person’s last address as it appears in the Security Register or by wire transfer to such account as may have been designated by such Person. Any such designation for wire transfer purposes shall be made by providing written notice to the Paying Agent not later than 10 calendar days prior to the applicable Interest Payment Date. Payment of principal of and interest on this Security at Maturity will be made against presentation of this Security at the office or agency of the Company maintained for that purpose in Toronto, Ontario, Canada. Notwithstanding the foregoing, for so long as this Security is a Global Security registered in the name of the Depositary, payments of principal and interest on this Security will be made to the Depositary by wire transfer of immediately available funds.

The Paying Agent and Security Registrar for this Security is BNY Trust Company of Canada. All notices to the Paying Agent under this Security shall be in writing and addressed to its corporate trust office at 1 York Street, 6th Floor, Toronto, Ontario, Canada M5J 0B6 or to such other address as the Company may notify to the Holder of this Security. References in this Security to the office or agency of the Company in Toronto, Ontario, Canada are to the corporate trust office of the Paying Agent.

The Company will pay any administrative costs imposed by banks on payors in making payments on this Security in immediately available funds and the Holder of this Security will pay any administrative costs imposed by banks on payees in connection with such payments. Any tax, assessment or governmental charge imposed upon payments on this Security will be borne by the Holder of this Security.

Reference is hereby made to the further provisions of this Security set forth on the reverse hereof, which further provisions shall for all purposes have the same effect as if set forth at this place.

Unless the certificate of authentication hereon has been executed by the Trustee referred to on the reverse hereof by manual signature or its duly authorized agent under the Indenture referred to on the reverse hereof by manual signature, this Security shall not be entitled to any benefit under the Indenture or be valid or obligatory for any purpose.

[The remainder of this page has been left intentionally blank]

 

10


IN WITNESS WHEREOF, the Company has caused this instrument to be duly executed.

DATED:

 

WELLS FARGO & COMPANY
By:  

 

Attest:  

 

TRUSTEE’S CERTIFICATE OF

AUTHENTICATION

This is one of the Securities of the

series designated therein referred to

in the within-mentioned Indenture.

CITIBANK, N.A.,

as Trustee

 

By:  

 

  Authorized Signature

OR

BNY TRUST COMPANY OF CANADA,

as Authenticating Agent for the Trustee

 

By:  

 

  Authorized Signature


[Reverse of Note]

WELLS FARGO & COMPANY

5.083% Fixed-to-Floating Rate Notes Due April 26, 2028

This Security is one of a duly authorized issue of securities of the Company (herein called the “Securities”), issued and to be issued in one or more series under an indenture dated as of February 21, 2017, as amended or supplemented from time to time (herein called the “Indenture”), between the Company and Citibank, N.A., as Trustee (herein called the “Trustee,” which term includes any successor trustee under the Indenture), to which Indenture and all indentures supplemental thereto reference is hereby made for a statement of the respective rights, limitations of rights, duties and immunities thereunder of the Company, the Trustee and the Holders of the Securities, and of the terms upon which the Securities are, and are to be, authenticated and delivered. This Security is one of the series designated on the face hereof, limited in aggregate principal amount to CAD1,250,000,000; provided, however, that the Company may, so long as no Event of Default has occurred and is continuing, without the consent of the Holders of the Securities of this series, issue additional Securities with the same terms as the Securities of this series, and such additional Securities shall be considered part of the same series under the Indenture as the Securities of this series.

The Securities of this series are not subject to repayment at the option of the Holder hereof prior to April 26, 2028. The Securities of this series are redeemable at the option of the Company, subject to the prior approval of the Board of Governors of the Federal Reserve Board or other appropriate federal banking agency, if necessary, (i) in whole, but not in part, in the event that the Company becomes, or will become, obligated to pay any additional amounts as set forth below, (ii) in whole, but not in part, on April 26, 2027 or (iii) in whole at any time or in part from time to time, on or after March 26, 2028 and prior to April 26, 2028, in each case at a Redemption Price equal to 100% of the principal amount of the Securities of this series to be redeemed, plus any accrued but unpaid interest to, but excluding, the Redemption Date. In the case of a partial redemption of the Securities of this series then held in book-entry form, the Securities of this series to be redeemed will be selected by BNY Trust Company of Canada, in its capacity as Paying Agent, in accordance with the customary procedures of CDS. In the case of a redemption of the Securities of this series, notice of redemption, in whole or in part, will be provided to the Paying Agent at least 15 days and not more than 60 days prior to the Redemption Date. The Securities of this series will not be entitled to any sinking fund.

Subject to the exemptions and limitations set forth below, the Company will pay additional amounts on this Security in Canadian dollars with respect to any beneficial owner of this Security that is a Non-U.S. Holder to ensure that each net payment to that Non-U.S. Holder on this Security that it beneficially owns will not be less, due to the payment of United States withholding tax, than the amount then otherwise due and payable. In no event will the Company be obligated to pay additional amounts that exceed the amount required to do so. For this purpose, a “net payment” on this Security means a payment by the Company, or any Paying Agent, including payment of principal and interest, after deduction for any present or future tax, assessment, or other

 

12


governmental charge of the United States. If paid, these additional amounts will constitute additional interest on the Securities of this series.

As used in this Security, a “Non-U.S. Holder” is any beneficial owner of this Security that, for U.S. federal income tax purposes, is not a U.S. Holder and that is not a partnership (or other entity treated as a partnership for U.S. federal income tax purposes). A “U.S. Holder” is a beneficial owner of this Security that is, for U.S. federal income tax purposes, (i) an individual citizen or resident of the United States, (ii) a corporation (or any other entity treated as a corporation for U.S. federal income tax purposes) created or organized in or under the laws of the United States, any state thereof or the District of Columbia, (iii) an estate whose income is subject to U.S. federal income tax regardless of its source, or (iv) a trust if (A) a United States court has the authority to exercise primary supervision over the administration of the trust and one or more U.S. persons (as defined under the Internal Revenue Code of 1986, as amended (the “Code”)), are authorized to control all substantial decisions of the trust or (B) it has a valid election in place to be treated as a U.S. person. An individual may, subject to certain exceptions, be deemed to be a resident of the United States by reason of being present in the United States for a least 31 days in the calendar year and for an aggregate of at least 183 days during a three-year period ending in the current calendar year (counting for such purposes all of the days present in the current year, one-third of the days present in the immediately preceding year and one-sixth of the days present in the second preceding year). “United States” means the United States of America, including each state of the United States and the District of Columbia, its territories, its possessions, and other areas within its jurisdiction. For this purpose, United States withholding tax means a withholding tax of the United States, other than a territory or possession.

The Company will not be required to pay additional amounts to a Non-U.S. Holder, however, in any of the circumstances described in items (1) through (14) below.

(1) Additional amounts will not be payable if a payment on this Security is reduced as a result of any tax, assessment, or other governmental charge that is imposed or withheld solely by reason of the beneficial owner:

 

   

having a relationship with the United States as a citizen, resident, or otherwise having a present connection with the United States;

 

   

having had such a relationship in the past; or

 

   

being considered as having had such a relationship.

(2) Additional amounts will not be payable if a payment on this Security is reduced as a result of any tax, assessment, or other governmental charge that is imposed or withheld solely by reason of the beneficial owner:

 

   

being treated as present in or engaged in a trade or business in the United States;

 

13


   

being treated as having been present in or engaged in a trade or business in the United States in the past;

 

   

having or having had a permanent establishment in the United States; or

 

   

having or having had a qualified business unit which has the U.S. dollar as its functional currency.

(3) Additional amounts will not be payable if a payment on this Security is reduced as a result of any tax, assessment, or other governmental charge that is imposed or withheld solely by reason of the beneficial owner being or having been a (as each term is defined in the Code):

 

   

personal holding company;

 

   

foreign personal holding company;

 

   

foreign private foundation or other foreign exempt organization;

 

   

passive foreign investment company;

 

   

controlled foreign corporation; or

 

   

corporation which has accumulated taxable income to avoid U.S. federal income tax.

(4) Additional amounts will not be payable if a payment on this Security is reduced as a result of any tax, assessment, or other governmental charge that is imposed or withheld solely by reason of the beneficial owner owning or having owned, actually or constructively, 10% or more of the total combined voting power of all classes of the Company’s stock entitled to vote.

(5) Additional amounts will not be payable if a payment on this Security is reduced as a result of any tax, assessment, or other governmental charge that is imposed or withheld solely by reason of the beneficial owner being a bank that has invested in this Security as an extension of credit in the ordinary course of business.

For purposes of items (1) through (5) above, “beneficial owner” includes, without limitation, a holder and a fiduciary, settlor, partner, member, shareholder, or beneficiary of the holder if the holder is an estate, trust, partnership, limited liability company, corporation, or other entity, or a person holding a power over an estate or trust administered by a fiduciary holder.

(6) Additional amounts will not be payable to any beneficial owner of this Security that is:

 

   

a fiduciary;

 

14


   

a partnership;

 

   

a limited liability company;

 

   

another fiscally transparent entity; or

 

   

not the sole beneficial owner of this Security, or any portion of this Security;

but only to the extent that a beneficiary or settlor in relation to the fiduciary, or a beneficial owner, partner, or member of the partnership, limited liability company, or other fiscally transparent entity, would not have been entitled to the payment of an additional amount had the beneficiary, settlor, beneficial owner, partner, or member received directly its beneficial or distributive share of the payment.

(7) Additional amounts will not be payable if a payment on this Security is reduced as a result of any tax, assessment, or other governmental charge that is collected or imposed by any method other than by withholding from a payment on this Security by the Company or the Paying Agent.

(8) Additional amounts will not be payable if a payment on this Security is reduced as a result of any tax, assessment, or other governmental charge that is imposed or withheld by reason of a change in law, regulation, or administrative or judicial interpretation that becomes effective more than 15 days after the payment becomes due or is duly provided for, whichever occurs later.

(9) Additional amounts will not be payable if a payment on this Security is reduced as a result of any tax, assessment, or other governmental charge that is imposed or withheld by reason of the presentation by the beneficial owner for payment more than 30 days after the date on which such payment becomes due or is duly provided for, whichever occurs later.

(10) Additional amounts will not be payable if a payment on this Security is reduced as a result of any:

 

   

estate tax;

 

   

inheritance tax;

 

   

gift tax;

 

   

sales tax;

 

   

excise tax;

 

   

transfer tax;

 

   

wealth tax;

 

15


   

personal property tax; or

 

   

any similar tax, assessment, withholding, deduction or other governmental charge.

(11) Additional amounts will not be payable if a payment on this Security is reduced as a result of any tax, assessment, or other governmental charge required to be withheld by any Paying Agent from a payment of principal or interest on this Security if that payment can be made without such withholding by any other Paying Agent.

(12) Additional amounts will not be payable if payment on this Security or in respect to this Security is reduced as a result of any tax, withholding, assessment or other governmental charge that is required to be paid or withheld from any payment under Code sections 1471 through 1474 (or any amended or successor provisions) and any regulations or official interpretations thereof or any law, agreement or regulations implementing an intergovernmental approach thereto.

(13) Additional amounts will not be payable if a payment on this Security is reduced as a result of any withholding, deduction, tax, duty assessment or other governmental charge that would not have been imposed but for a failure by the Holder or beneficial owner of this Security (or any financial institution through which the Holder or beneficial owner holds this Security or through which payment on this Security is made) to comply (to the extent it is legally entitled to do so) with any applicable certification, documentation, information or other reporting requirement or agreement concerning accounts maintained by the Holder or beneficial owner (or any such financial institution), or concerning ownership of the Holder or beneficial owner, or any substantially similar requirement or agreement, whether currently in effect or as published and amended from time to time.

(14) Additional amounts will not be payable if a payment on this Security is reduced as a result of any combination of items (1) through (13) above.

Except as specifically provided above, the Company will not be required to make any payment of any tax, assessment, or other governmental charge imposed by any government, political subdivision, or taxing authority of that government.

If an Event of Default, as defined in the Indenture, with respect to Securities of this series shall occur and be continuing, the principal of the Securities of this series may be declared due and payable in the manner and with the effect provided in the Indenture.

The Indenture permits, with certain exceptions as therein provided, the amendment thereof and the modification of the rights and obligations of the Company and the rights of the Holders of the Securities of each series to be affected under the Indenture at any time by the Company and the Trustee with the consent of the Holders of a majority in principal amount of the Securities at the time Outstanding of all series to be affected, acting together; provided, however, that amendments or modifications to this Security contemplated by the provisions set forth above in respect of the determination of Daily Compounded CORRA (Index) shall not require the consent of the Holder of this Security. The Indenture also contains provisions permitting the Holders of a majority in principal

 

16


amount of the Securities of all series at the time Outstanding affected by certain provisions of the Indenture, acting together, on behalf of the Holders of all Securities of such series, to waive compliance by the Company with those provisions of the Indenture. Certain past defaults under the Indenture and their consequences may be waived under the Indenture by the Holders of a majority in principal amount of the Securities of each series at the time Outstanding, on behalf of the Holders of all Securities of such series. Any such consent or waiver by the Holder of this Security shall be conclusive and binding upon such Holder and upon all future Holders of this Security and of any Security issued upon the registration of transfer hereof or in exchange herefor or in lieu hereof, whether or not notation of such consent or waiver is made upon this Security.

The Indenture contains provisions for defeasance at any time of (a) the entire indebtedness on this Security and (b) certain restrictive covenants, upon compliance by the Company with certain conditions set forth therein, which provisions apply to this Security.

Upon due presentment for registration of transfer of this Security at the office or agency of the Company in Toronto, Ontario, Canada, a new Security or Securities of this series in authorized denominations for an equal aggregate principal amount will be issued to the transferee in exchange herefor, as provided in the Indenture and subject to the limitations provided therein and to the limitations described below, without charge except for any tax or other governmental charge imposed in connection therewith.

This Security is issuable only in registered form without coupons in denominations of CAD5,000 and integral multiples of CAD1,000 in excess thereof and cannot be exchanged for debt securities of the Company in smaller denominations. Beneficial interests in this Security will only be held in denominations of CAD5,000 and integral multiples of CAD1,000 in excess thereof.

Upon due presentment for registration of transfer of this Security at the office or agency of the Company in Toronto, Ontario, Canada, a new Security or Securities of this series in authorized denominations for an equal aggregate principal amount will be issued to the transferee in exchange herefor, as provided in the Indenture and subject to the limitations provided therein and to the limitations described herein, without charge except for any tax or other governmental charge imposed in connection therewith.

This Security is exchangeable for definitive Securities in registered form only if (i) the Company is required to do so by law, (ii) CDS ceases to exist, (iii) the Company determines that CDS is no longer willing or able to discharge properly its responsibilities as depository with respect to this Security, and the Company is unable to locate a qualified successor, (iv) at the option of the Company the Company elects to terminate the book-entry only system through the CDS or (v) an Event of Default under the Indenture with respect to this Security has occurred or is continuing. If this Security is exchangeable pursuant to the preceding sentence, it shall be exchangeable for definitive Securities in registered form, bearing interest at the same rate, having the same date of issuance, redemption provisions, Stated Maturity Date and other terms and of authorized denominations aggregating a like amount.

This Security may not be transferred except as a whole by the Depositary to a nominee of the Depositary or by a nominee of the Depositary to the Depositary or another nominee of the Depositary

 

17


or by the Depositary or any such nominee to a successor of the Depositary or a nominee of such successor. Except as provided above, owners of beneficial interests in this global Security will not be entitled to receive physical delivery of Securities in definitive form and will not be considered the Holders hereof for any purpose under the Indenture.

No reference herein to the Indenture and no provision of this Security or the Indenture shall alter or impair the obligation of the Company, which is absolute and unconditional, to pay the principal of and interest on this Security at the times, place and rate, and in the coin or currency, herein prescribed, except as otherwise provided in this Security and except that in the event the Company deposits money or Eligible Instruments as provided in Articles 4 and 15 of the Indenture, such payments will be made only from proceeds of such money or Eligible Instruments.

Prior to due presentment of this Security for registration of transfer, the Company, the Trustee and any agent of the Company or the Trustee may treat the Person in whose name this Security is registered as the owner hereof for all purposes, whether or not this Security be overdue, and neither the Company, the Trustee nor any such agent shall be affected by notice to the contrary.

No recourse shall be had for the payment of the principal of or the interest on this Security, or for any claim based hereon, or otherwise in respect hereof, or based on or in respect of the Indenture or any indenture supplemental thereto, against any incorporator, stockholder, officer or director, as such, past, present or future, of the Company or any successor corporation, whether by virtue of any constitution, statute or rule of law, or by the enforcement of any assessment or penalty or otherwise, all such liability being, by the acceptance hereof and as part of the consideration for the issuance hereof, expressly waived and released.

All terms used in this Security which are defined in the Indenture shall have the meanings assigned to them in the Indenture unless otherwise defined in this Security.

This Security shall be governed by and construed in accordance with the law of the State of New York, without regard to principles of conflicts of laws.

 

18


ABBREVIATIONS

The following abbreviations, when used in the inscription on the face of this instrument, shall be construed as though they were written out in full according to applicable laws or regulations:

 

TEN COM    —     as tenants in common
TEN ENT    —     as tenants by the entireties
JT TEN    —     as joint tenants with right
      of survivorship and not
      as tenants in common

 

UNIF GIFT MIN ACT —   

 

   Custodian   

 

   (Cust)       (Minor)

Under Uniform Gifts to Minors Act

 

 

(State)

Additional abbreviations may also be used though not in the above list.

FOR VALUE RECEIVED, the undersigned hereby sell(s) and transfer(s) unto

Please Insert Social Security or

Other Identifying Number of Assignee

 

               

 

 

 

 

 

 

(PLEASE PRINT OR TYPE NAME AND ADDRESS INCLUDING POSTAL ZIP CODE OF ASSIGNEE)

 

19


the within Security of WELLS FARGO & COMPANY and does hereby irrevocably constitute and appoint __________________ attorney to transfer the said Security on the books of the Company, with full power of substitution in the premises.

Dated: _________________________

 

 

 

NOTICE: The signature to this assignment must correspond with the name as written upon the face of the within instrument in every particular, without alteration or enlargement or any change whatever.

 

 

Signature Guarantee

 

20