Exhibit (10)F
TARGET CORPORATION
OFFICER DEFERRED COMPENSATION PLAN
ARTICLE 1
PURPOSE
The purpose of this Target Corporation Officer Deferred Compensation Plan, formerly known as the Target Corporation Deferred Compensation Plan Senior Management Group, (the Plan) is to provide a means whereby Target Corporation (the Company) may afford financial security to a select group of employees who are in the Senior Management Group of the Company and its subsidiaries and who have rendered and continue to render valuable services to the Company or its subsidiaries and who make an important contribution towards the Companys continued growth and success, by providing for additional future compensation so that such employees may be retained and their productive efforts encouraged. Participants ceased to be eligible to defer Earnings into the Plan after December 31, 1996. The Plan, which is intended to comply with Code section 409A, was amended and restated effective January 1, 2009. The Plan was amended to incorporate the Companys recoupment policy effective January 13, 2010. This Plan document, which was amended to reflect Plan administration and amendment changes authorized by the Board of Directors on November 10, 2010 and modification of the Change in Control definition, is effective June 8, 2011.
ARTICLE 2
DEFINITIONS AND CERTAIN PROVISIONS
Active Status. Active Status means the Participant is currently employed by the Company or has terminated employment under Normal or Early Retirement or under other conditions described in Section 5.2 and has not yet begun to receive payments from the Plan associated with a particular Deferral Account.
Affiliate. An Affiliate is the Company and all persons, with whom the Company would be considered a single employer under Code section 414(b) or 414(c).
Beneficiary. Beneficiary means the person or persons designated as such in accordance with Article 6.
Benefit Deferral Period. Benefit Deferral Period means that period of one (1) or four (4) Plan Years as determined pursuant to Article 4 over which a Participant defers a portion of such Participants Earnings.
Committee. Committee means the plan administration committee appointed to administer the Plan pursuant to Article 3; provided, solely for purposes of the Plan amendment provisions of Section 7.1, Committee means the Chief Executive Officer and the senior ranking Human Resources officer, jointly or individually.
Cumulative Deferral Amount. Cumulative Deferral Amount means the total cumulative amount by which a Participants Earnings must be reduced over the period prescribed in Section 4.1. If for a Plan Year a Matching Allocation for an Employee who is a member of the Senior Management Group of the Company pursuant to the Target Corporation Supplemental Retirement, Savings and Employee Stock Ownership Plan (SRSP) cannot be made because the Before Tax
Deposits or After Tax Deposits elected by the Employee are reduced to comply with the provisions of the SRSP, Cumulative Deferral Amount also includes the amount of the Matching Allocation that cannot be made.
Declared Rate. Declared Rate means with respect to any Plan Year the applicable rate announced in advance by the Committee for such Plan Year. Under no circumstances shall the minimum rate be less than twelve percent (12%) per annum and the maximum rate shall not exceed twenty percent (20%) per annum. The rate to be announced, subject to the minimum and maximum percentages referenced above, shall be a calculated rate using the following formula:
Moodys Corporate Bond Yield Average. Monthly Average Corporates as published by Moodys Investors Service, Inc. or its successor (or if said index is no longer available, its successor index, or if no successor index exists, such other index as selected by the Committee as most closely replicates the measure produced by said Moody index) for the month of June for the year preceding the subject Plan Year to which the Declared Rate shall apply, said rate of return to be rounded to the nearest .10% of said reported rate, to which percentage rate shall be added six (6) percentage points (e.g. an index of 7.16% rounded to 7.20% plus 6% equals a 13.2% Declared Rate). Provided however, if any tax or insurance change shall occur which in the reasoned judgment of the Committee shall have an ongoing adverse economic effect on the underlying COLI financing assumptions related to the Plan, then the Committee may adjust said Declared Rate to reflect such adverse economic impact but in no event below the twelve percent (12%) minimum referenced in the first paragraph hereof.
Deferral Account. Deferral Account means the account maintained on the books of account of the Company pursuant to Section 4.4.
Early Retirement. Early Retirement means the Participants Termination of Employment for a reason other than death on or after the date the Participant attains age 55 and prior to the date the Participant attains age 65.
Earnings. Earnings means the base pay and incentive pay paid to a Participant by the Company or a subsidiary, excluding car and other allowances and other cash and non-cash compensation.
Eligible Employee. Eligible Employee means each Employee in the Senior Management Group of the Company who executes an Enrollment Agreement to participate in the Plan.
Employee. Employee means any person employed by the Employer on a regular salaried basis, including officers of the Employer.
Employer. Employer means the Company and any of its wholly owned subsidiaries.
Enrollment Agreement. Enrollment Agreement means the written agreement entered into by the Employer and an Eligible Employee pursuant to which the Eligible Employee becomes a Participant in the Plan. In the sole discretion of the Company, authorization forms filed by any Participant by which the Participant makes the elections provided for by this Plan may be treated as a completed and fully executed Enrollment Agreement for all purposes under the Plan.
Normal Retirement. Normal Retirement means the Termination of Employment of a Participant with the Employer for reasons other than death on or after the date the Participant attains age 65.
Participant. Participant means an Eligible Employee who has filed a completed and executed Enrollment Agreement or authorization form with the Committee and is participating in the Plan in accordance with the provisions of Article 4. Participant also means an Employee who is a member of the Senior Management Group of the Company who has a Cumulative Deferral Amount based on Matching Allocation that could not be made to the SRSP.
Pay Status. Pay Status means that the Participant has had a Termination of Employment with the Company and has begun to receive payments from the Plan associated with a particular Deferral Account.
Plan Year. Plan Year means the calendar year beginning January 1 and ending December 31.
Specified Employee. For purposes of complying with the requirements of Code section 409A(a)(2)(B)(i) (relating to the 6 month suspension of certain benefit distributions), an individual is a Specified Employee if on his or her Termination of Employment, the Company or other Affiliate has stock that is traded on an established securities market within the meaning of Code section 409A(a)(2)(B) and such individual is a key employee (defined below). For this purpose, an individual is a key employee during the 12-month period beginning on April 1 immediately following the calendar year in which the individual was employed by the Company and other Affiliates, and satisfied, at any time within such calendar year, the requirements of Code section 416(i)(1)(A)(i), (ii) or (iii) (without regard to Code section 416(i)(5)). An individual will not be treated as a Specified Employee if the individual is not required to be treated as a Specified Employee under Treasury Regulations issued under Code section 409A.
Termination of Employment.
(a) For purposes of determining entitlement to or amount of benefits under the Plan, Termination of Employment means a severance of a Participants employment relationship with the Employer and all other Affiliates, for any reason.
(b) For purposes of determining when a distribution will be made under the Plan, a Termination of Employment will be deemed to occur if, based on the relevant facts and circumstances to the Participant, the Employer, all other Affiliates, and Participant reasonably anticipate that the level of bona fide future services to be performed by the Participant for the Employer and all other Affiliates will permanently decrease to no more than 20% of the average level of bona fide services performed over the immediately preceding 36-month period.
(c) A bona fide leave of absence that is six months or less, or during which an individual retains a reemployment right, will not cause a Termination of Employment. In the case of a leave of absence without a right of reemployment that exceeds the time periods described in this paragraph, a Termination of Employment will be deemed to occur once the leave of absence exceeds six months.
(d) Notwithstanding the foregoing, a Termination of Employment shall not occur unless such termination also qualifies as a separation from service, as defined under Code section 409A and related guidance thereunder.
ARTICLE 3
ADMINISTRATION OF THE PLAN
A Committee (of one or more individuals) shall be appointed by the Board of Directors of the Company to administer the Plan and to establish, adopt or revise such rules and regulations as it may deem necessary or advisable for the administration of the Plan. The Committee shall have discretionary authority to determine eligibility for benefits and to construe the terms of the Plan. Interpretations of the Plan by the Committee shall be conclusive. Members of the Committee shall be eligible to participate in the Plan while serving as members of the Committee, but a member of the Committee shall not vote or act upon any matter which relates solely to such members interest in the Plan as a Participant.
ARTICLE 4
PARTICIPATION
4.1 Election to Participate. Effective for Plan Years beginning on and after January 1, 1997, Participants ceased to be eligible to defer Earnings into this Plan. For Plan Years beginning prior to January 1, 1997, any Employee who is a member of the Senior Management Group of the Company may enroll in the Plan by filing a completed and fully executed Enrollment Agreement or authorization form with the Committee. Pursuant to said Enrollment Agreement or authorization form, the Employee shall irrevocably designate a dollar amount by which the aggregate Earnings of such Participant would be reduced over one (1) or four (4) Plan Years next following the execution of the Enrollment Agreement (the Benefit Deferral Period), provided, however, that:
(a) Minimum Deferral. The reduction for any Plan Year shall not be less than Five Thousand Dollars ($5,000.00)
(b) Reduction in Earnings.
(i) In General. Except as otherwise provided in this Section 4.1, the Earnings of the Participant for each of the Plan Years in the Benefit Deferral Period shall be reduced by the amount specified in the Enrollment Agreement (including any authorization form) applicable to such Plan Year.
(ii) Accelerated Reduction. A Participant may elect in a written notice with the consent of the Committee to increase the amount of the reduction of Earnings otherwise provided for by Section 4.1(b)(i) for any of the Plan Years remaining in the Benefit Deferral Period, provided, however, that any such increase in the reduction of Earnings for any remaining Plan Years in the Benefit Deferral Period shall not increase the Cumulative Deferral Amount, but shall act to shorten the length of the Benefit Deferral Period.
(c) Maximum Reduction in Earnings. A Participant may not elect a Cumulative Deferral Amount or an increase in reduction of Earnings pursuant to Section 4.1(b)(ii), or any combination of the two, that would cause the aggregate total reduction in Earnings in any Plan Year to exceed twenty-five percent (25%) of the base pay and one hundred percent (100%) of the incentive pay payable during such Plan Year up to a total of $250,000 per year plus the amount of any payout made pursuant to Section 5.4, or such greater percent of base pay and/or incentive pay or greater total amount as the Committee may permit in its sole discretion. In the event that a Participant elects a Cumulative Deferral Amount or increase in reduction of Earnings that would violate the limitation described in this paragraph (c), the election shall be valid except that the Cumulative Deferral Amount or increase in reduction of Earnings so elected shall automatically be reduced to comply with such limitation, whichever is most appropriate in the sole discretion of the Committee.
4.2 Deferral Accounts. The Committee shall establish and maintain a separate Deferral Account for each Participant. The amount by which a Participants Earnings are reduced pursuant to Section 4.1 shall be credited by the Employer to the Participants Deferral Account on the fifteenth (15th) day of the month in which such Earnings would otherwise have been paid. The Participants Deferral Account shall be credited with the annual SRSP lost Matching Allocation on January 15 following the year of the lost Matching Allocation. Effective for Plan Years beginning on
and after January 1, 1997, Participants ceased to be eligible for the annual SRSP lost Matching Allocation. Such Deferral Account shall be debited by the amount of any payments made by the Employer to the Participant or the Participants Beneficiary pursuant to this Plan.
(a) Normal and Early Retirement Interest. Each Deferral Account of a Participant who retires as a Normal or Early Retirement shall be deemed to bear interest, in accordance with Appendix A, Section 1, from the date such Deferral Account was established through the date of commencement of payment of the Normal or Early Retirement Benefit at a rate equal to the Declared Rate which is announced by the Committee for each Plan Year. Following the date of commencement of payment of the Normal or Early Retirement Benefit, a Participants Deferral Account shall be deemed to bear interest on the balance of such Deferral Account in accordance with Appendix A, Section 2.
(b) Other Interest. In the case of any Termination of Employment other than by Normal or Early Retirement or upon the Participants termination of enrollment in this Plan pursuant to Section 5.2(b), the Participants Deferral Account shall be deemed to bear interest from the date such Deferral Account was established through the date of the earlier of Termination of Employment or termination of enrollment in this Plan under Section 5.2(c) on the balance in such Deferral Account in accordance with Appendix A, Section 1, except that the interest rate used to calculate interest earned in the Deferral Account shall be ten percent (10%) per annum, provided, however, that if more than five (5) years have elapsed since the first day of the Benefit Deferral Period, the Participants Deferral Account shall be deemed to bear interest from the date such Deferral Account was established through the date of the earlier of Termination of Employment or termination of enrollment in this Plan on the balance in such Deferral Account at a rate equal to the Declared Rate which is announced by the Committee for each Plan Year, in accordance with Appendix A, Section 1. Following the earlier of the date of commencement of payment of the Termination Benefit or the date of termination of enrollment in this Plan, a Participants Deferral Account shall be deemed to bear interest on the balance in such Deferral Account in accordance with Appendix A, Section 1, if the Participant is in Active Status with respect to the Deferral Account or in accordance with Appendix A, Section 2, if the Participant is in Pay Status with respect to the Deferral Account. However, in either case the interest rate used to calculate interest earned in the Deferral Account shall be twelve percent (12%) per annum. Notwithstanding anything contained herein to the contrary, if a Participant has begun receiving benefits under this Plan and the calculation of future benefits, using the method of calculation set forth on Appendix A causes a reduction in benefits, the future payments shall be made in accordance with the method used at the time of the Participants initial payment.
4.3 Rollover Deferred Compensation Account. In its sole discretion, the Committee may permit a Participant to make a special rollover election to transfer any amounts which were previously deferred under the Companys existing deferred compensation plans to this Plan. Notwithstanding the foregoing, no such special rollover elections or transfers to this Plan shall be permitted after December 31, 2008.
In such event, the Committee shall establish and maintain a separate Rollover Deferral Account for each Participant who makes a rollover transfer to this Plan. Such Rollover Deferral Account shall be deemed to bear interest at the same rate and subject to the same conditions as other Deferral Accounts pursuant to Section 4.2. Each Participant who makes a rollover transfer to a Rollover Deferral Account shall be treated for purposes of determining benefits under the Plan as
having a separate Cumulative Deferral Amount and Deferral Account which shall initially be in the amount of the rollover transfer. A Participant who makes a rollover transfer shall be deemed to waive all rights under the Companys existing deferred compensation plans from which rollover transfers are made with respect to the amounts transferred to this Plan, including the right to make elections regarding the time or manner of payment as permitted thereunder. Rollover transfers shall be subject to the minimum deferral amount set forth in Section 4.1(a), but shall not be subject to any maximum deferral limitation.
4.4 Valuation of Accounts. The value of a Deferral Account as of any date shall equal the amounts theretofore credited to such account less any payments debited to such account plus the interest deemed to be earned on such account in accordance with Section 4.2. Interest shall be credited in accordance with Appendix A.
4.5 Statement of Accounts. The Committee shall submit to each Participant, within one hundred twenty (120) days after the close of each Plan Year, a statement in such form as the Committee deems desirable setting forth the balance standing to the credit of each Participant in his Deferral Account.
4.6 No Future Deferrals. No Employee or Participant can make additional deferrals into the Plan.
ARTICLE 5
BENEFITS
5.1 Normal or Early Retirement. Upon a Participants Normal or Early Retirement, the payment of benefits shall commence on the first day of the month following such Termination of Employment, or following such later date which the Participant elected in his Enrollment Agreement (including any authorization form). A Participant may elect in his Enrollment Agreement (including any authorization form) to have payments commence from one (1) to ten (10) years following Termination of Employment, but not later than age 65 (or five (5) years after the first day of the Benefit Deferral Period, if later).
(a) Single Participant. In the case of a Participant who is single when payments commence, the Employer shall make periodic payments to the Participant in an amount in accordance with Appendix A, Section 2.B., for the life of the Participant, but not less than fifteen (15) years. The payments shall be the actuarial equivalent of the aggregate of the Participants Deferral Account at the time payments commence and the interest that will accrue on the unpaid balance in such Deferral Account during the payment period pursuant to Section 4.2(a). The payment amount will be redetermined annually to reflect the changes in the Declared Rate.
(b) Married Participant. In the case of a Participant who is married when payments commence, the Employer shall make actuarially reduced payments in accordance with Appendix A, Section 2.B., to the Participant for his life and thereafter, if the Participant is survived by a spouse who was married to the Participant when Normal or Early Retirement Benefit payments commenced, shall continue to make payments to the Participants spouse for his life, with payments to be made for an aggregate period of not less than fifteen (15) years. The payments shall be the actuarial equivalent of the payments which would be made to the Participant pursuant to Section 5.1(a) if he were single. The monthly amount of payments will be redetermined annually to reflect changes in the Declared Rate.
5.2 Termination Benefit.
(a) Terminations of Employment. If a Participant has a Termination of Employment for any reason other than death or Normal or Early Retirement, the Employer shall pay to the Participant in one immediate lump sum an amount (the Termination Benefit) equal to the value of the Deferral Account as of the date of payment and such Participant shall be entitled to no further benefits under this Plan. Upon Termination of Employment (as defined in paragraph (a) of that definition) the Participant shall immediately cease to be eligible for any benefits under the Plan other than the Termination Benefit. Payment will be made as soon as practicable but not more than 90 days following the Participants Termination of Employment or at such later time provided in Section 5.3. Except as provided in paragraph (b) below, no other benefit shall be payable to either the Participant or any Beneficiary of such Participant.
(b) Certain Terminations of Employment. If a Participant has a Termination of Employment after attaining age 50, but prior to attaining age 55, and the Participant has worked for the Company for at least 10 years, and has received an ICP Contract under the Companys Income Continuance Policy that is signed by Participant and
Company and not rescinded, the Participant will be entitled to an additional, immediate lump sum distribution equal to the difference between:
(i) The actuarial equivalent lump sum value of the periodic payments scheduled to be made to the Participant determined in accordance with Appendix A, Section 2.B for the life of the Participant, but not less than fifteen (15) years payments; and
(ii) The value of the Participants Deferral Account.
(c) Termination of Enrollment in Plan. With the written consent of the Committee, a Participant may terminate his enrollment in the Plan by filing with the Committee a written request to terminate enrollment. The Committee will consent to the termination of a Participants enrollment in the Plan in the event of an unforeseeable financial emergency of the Participant. An unforeseeable financial emergency shall mean an unexpected need for cash arising from an illness, casualty loss, sudden financial reversal or other such unforeseeable occurrence, but only if and to the extent such unforeseeable emergency constitutes an unforeseeable emergency under Code section 409A. Cash needs arising from foreseeable events such as the purchase of a house or education expenses for children shall not be considered to be the result of an unforeseeable financial emergency. Upon termination of enrollment, no further reductions shall be made in the Participants Earnings pursuant to his Enrollment Agreement, and the Participant shall immediately cease to be eligible for any benefits under the Plan other than the Termination Benefit. No other benefit shall be payable to either the Participant or any Beneficiary of such Participant. In its sole discretion, to the extent necessary to relieve the unforeseeable emergency, the Committee may pay such benefit on a date earlier than the Participants Termination of Employment with the Employer. Following termination of enrollment in the Plan, a Participants Deferral Account shall be deemed to bear interest on the balance in such Deferral Account in accordance with Appendix A, Section 1, except that the interest rate used to calculate interest earned in the Deferral Account shall be twelve percent (12%) per annum.
5.3 Lump Sum Election. Other provisions of Section 5.1 and Section 5.2 notwithstanding, if a Participant in his Enrollment Agreement (including any authorization form) has elected a lump sum payment to be made after his Termination of Employment, the amount of his Deferral Account (including interest) for the Benefit Deferral Period covered by that Agreement shall be paid to the Participant in a lump sum at the time specified in that Agreement.
5.4 [Deleted]
5.5 Survivor Benefits. Paragraphs (a) and (b) shall apply to Participants whose death occurs prior to Termination of Employment. Paragraph (c) reflects the survivor benefit rules that apply to annuity benefits that are payable on account of a Participants Termination of Employment.
(a) If a Participant dies prior to his or her Termination of Employment prior to attaining age 55, the Employer will pay to the Participants Beneficiary an annual benefit for the greater of:
(i) ten (10) years, or
(ii) until the Participant would otherwise have attained age 65,
in an amount equal to fifty percent (50%) of the Cumulative Deferral Amount; provided, however, if the Committee determines that installment distribution of the Participants Deferral Account (determined below) would produce a greater benefit, such Deferral Account balance shall be paid to the Participants Beneficiary in equal annual installments in accordance with Appendix A, Section 2.C.2, but over the period specified above. Payments will commence immediately (within 60 days) following the Participants death, and will be made each subsequent anniversary of the Participants death.
(b) If a Participant dies prior to Termination of Employment after attaining age 55, the Employer will pay to the Participants Beneficiary the benefit that such Participant would have received had the Participant retired on the day prior to such Participants death. Payments will commence immediately (within 60 days) following the Participants death, and will be made each subsequent anniversary of the Participants death. Additionally, if the present value of the benefit described in this Section 5.5(b) is less than the present value of the benefit described in Section 5.5(a), using in each case twelve percent (12%) as the discount factor, then the Beneficiary shall receive an immediate lump sum payment equal to difference of such present values.
(c) If a Participant (who was unmarried at the commencement of the payment of any Early or Normal Retirement Benefit, or whose spouse who was married to the Participant at the time of commencement of payment of any Early or Normal Retirement Benefit predeceases the Participant) dies after the commencement of the payment of any Early or Normal Retirement Benefit, the Employer will pay to the Participants Beneficiary the remaining installments of any such benefit for the balance of the fifteen (15) years minimum payment period. If a spouse who was married to the Participant at the time of commencement of payment of the Early or Normal Retirement Benefit survives beyond such fifteen (15) years minimum payment period, payments shall continue to be made to the spouse until the spouses death. If the spouse who was married to the Participant at the time of commencement of payment of the Early or Normal Retirement Benefit survives the Participant, but does not survive past the fifteen (15) years minimum payment period, the Employer will pay to the Participants Beneficiary the remaining installments of any such benefit for the balance of the fifteen (15) years minimum payment period. In computing any benefits to be paid following the Participants death pursuant to this paragraph (c), the Participants Deferral Account shall be deemed to bear interest following the Participants death on the balance in such Deferral Account annually in accordance with Appendix A, Section 2.B.
5.6 Small Benefit. Subject to Section 5.8, in the event that the vested Deferral Account balance under the Plan of a Participant who has died or experienced a Termination of Employment is less than the applicable dollar amount under Code section 402(g)(1)(B) for that Plan Year as of the date on which the Company makes such determinations, the Company reserves the right to have the Participants entire Deferral Account paid in the form of a single lump sum payment provided the Companys exercise of discretion complies with the requirements of Treas. Reg. Sec. 1.409A-3(j)(4)(v).
5.7 Withholding. To the extent required by the law in effect at the time payments are made, the Employer shall withhold from payments made hereunder the minimum taxes that the
Employer reasonably determines is required to be withheld by the federal or any state or local government.
5.8 Delay in Payment Required by Code Section 409A. Notwithstanding any other provision in this Article 5, if a Participant is a Specified Employee at Termination of Employment, then any distributions arising on account of the Participants Termination of Employment (other than on account of death) shall be suspended and not be made until (6) months have elapsed since such Participants Termination of Employment (or, if earlier, upon the date of the Participants death). Any payments that were otherwise payable during the six-month suspension period referred to in the preceding sentence, will be paid within 60 days after the end of such six-month suspension period. During the six-month suspension period, delayed payments will earn interest at the Declared Rate.
5.9 Acceleration of Distributions. The Committee in its sole discretion may exercise discretion to accelerate the distribution of any payment under this Plan to the extent allowed under Code section 409A.
5.10 Delay of Distributions. The Committee in its sole discretion may exercise discretion to delay the distribution of any payment under this Plan to the extent allowed under Code section 409A, including, but not limited to, as necessary to maximize the Companys tax deductions as allowed pursuant to Code section 162(m) or to avoid violation of federal securities or other applicable law.
ARTICLE 6
BENEFICIARY DESIGNATION
Each Participant shall have the right, at any time, to designate any person or persons as Beneficiary or Beneficiaries to whom payment under this Plan shall be made in the event of the Participants death prior to complete distribution to the Participant of the benefits due under the Plan. Each Beneficiary designation shall become effective only when filed in writing with the Committee during the Participants lifetime on a form prescribed by the Committee.
The filing of a new Beneficiary designation form will cancel all Beneficiary designations previously filed. Any finalized divorce or marriage (other than a common law marriage) of a Participant subsequent to the date of filing of a Beneficiary designation form shall revoke such designation unless in the case of divorce the previous spouse was not designated as Beneficiary and unless in the case of marriage the Participants new spouse had previously been designated as Beneficiary. The spouse of a married Participant domiciled in a community property jurisdiction shall join in any designation of Beneficiary or Beneficiaries other than the spouse.
If a Participant fails to designate a Beneficiary as provided above, or if his Beneficiary designation is revoked by marriage, divorce, or otherwise without execution of a new designation, or if all designated Beneficiaries predecease the Participant or die prior to complete distribution of the Participants benefits, then the Committee shall direct the distribution of such benefits to the Participants estate.
ARTICLE 7
AMENDMENT AND TERMINATION OF PLAN
7.1 Amendment. The Board of Directors of the Company may at any time amend the Plan, in whole or in part for any reason, including but not limited to tax, accounting or insurance changes, a result of which may be to terminate the Plan for future deferrals (excluding from such power to terminate future deferrals those future deferrals provided for in Section 5.4 Early Payout Option); provided, however, that no amendment shall be effective to decrease the benefits, nature or timing thereof payable under the Plan to any Participant with respect to deferrals made (and benefits thereafter accruing) prior to the date of such amendment. Written notice of any amendment shall be given each Participant then participating in the Plan. Notwithstanding the above, the Board authorizes the Committee to amend the Plan to make any other amendments to this Plan deemed necessary or desirable by the Committee for the operation and administration of this Plan provided such amendment does not have a material financial impact on the Company. Such changes will be considered an Amendment to this Plan and shall be effective without further action by the Board.
7.2 Termination of Plan. The Plan shall terminate only under the following circumstances.
(a) General Rule. To the extent that a Participants benefit under the Plan will be immediately included in the income of the Participant, as determined by a court of competent jurisdiction or the Internal Revenue Service, to the extent permitted under Code section 409A, the Board may terminate this Plan, in whole or in part, as it relates to the impacted Participant. Upon any such termination of the Plan, the Employer will pay the respective Participant the value of the Participants Deferral Accounts in an immediate lump sum, determined as if the Participant had a Termination of Employment on the date of such termination of the Plan as provided under Section 5.2(a) hereof.
(b) Plan Termination and Liquidation on Account of a Change-in-Control. Upon a Change-in-Control, as defined in Section 7.3 hereof, the Plan will terminate and payment of all amounts under the Plan will be accelerated if and to the extent provided in this Section 7.2(b) hereof.
(i) The Plan will be terminated effective as of the first date on which there has occurred both (i) a Change-in-Control under Section 7.3, and (ii) a funding of the trust on account of such Change-in-Control (referred to herein as the Plan termination effective date) unless, prior to such Plan termination effective date, the Board affirmatively determines that the Plan will not be terminated as of such effective date. The Board will be deemed to have taken action to irrevocably terminate the Plan as of the Plan termination effective date by its failure to affirmatively determine that the Plan will not terminate as of such date.
(ii) The determination by the Board under paragraph (b)(i) constitutes a determination that such termination will satisfy the requirements of Code section 409A, including an agreement by the Company that it will take such additional action or refrain from taking such action as may be necessary to satisfy the requirements necessary to terminate and liquidate the Plan under paragraph (iii) below.
(iii) In the event the Board does not affirmatively determine not to terminate the Plan as provided in paragraph (b)(i), such termination shall be subject to either (A) or (B), as follows:
(A) If the Change-in-Control qualifies as a change in control event for purposes of Code section 409A, payment of all amounts under the Plan will be accelerated and made in a lump sum as soon a administratively practicable but not more than 90 days following the Plan termination effective date, provided the requirements of Treasury Regulation Section 1.409A-3(j)(4)((ix)(B) have been satisfied.
(B) If the Change-in-Control does not qualify as a change in control event for purposes of Code section 409A, payment of all amounts under the Plan will be accelerated and made in a lump sum as soon as administratively practicable but not more than 90 days following the 12 month anniversary of the Plan termination effective date, provided the requirements of Treasury Regulation Section 1.409A-3(j)(4)(ix)(C) have been satisfied.
(iv) Any lump sums paid pursuant to this Section 7.2(b) will be calculated as provided in Appendix B of the Target Corporation Deferred Compensation Trust Agreement.
7.3 Change-in-Control Definition. Change-in-Control means one of the following:
(a) Individuals who are Continuing Directors cease for any reason to constitute 50% or more of the directors of the Company; or
(b) 30% or more of the outstanding voting power of the Voting Stock of the Company is acquired or beneficially owned (within the meaning of Rule 13d-3 under the Exchange Act) by any Person, other than an entity resulting from a Business Combination in which clauses (x) and (y) of Section 7.3(c) apply; or
(c) the consummation of a merger or consolidation of the Company with or into another entity, a statutory share exchange, a sale or other disposition (in one transaction or a series of transactions) of all or substantially all of the Companys assets or a similar business combination (each, a Business Combination), in each case unless, immediately following such Business Combination, (x) all or substantially all of the beneficial owners (within the meaning of Rule 13d-3 under the Exchange Act) of the Companys Voting Stock immediately prior to such Business Combination beneficially own, directly or indirectly, more than 60% of the voting power of the then outstanding shares of voting stock (or comparable voting equity interests) of the surviving or acquiring entity resulting from such Business Combination (including such beneficial ownership of an entity that, as a result of such transaction, owns the Company or all or substantially all of the Companys assets either directly or through one or more subsidiaries), in substantially the same proportions (as compared to the other beneficial owners of the Companys Voting
Stock immediately prior to such Business Combination) as their beneficial ownership of the Companys Voting Stock immediately prior to such Business Combination, and (y) no Person beneficially owns, directly or indirectly, 30% or more of the voting power of the outstanding voting stock (or comparable equity interests) of the surviving or acquiring entity (other than a direct or indirect parent entity of the surviving or acquiring entity, that, after giving effect to the Business Combination, beneficially owns, directly or indirectly, 100% of the outstanding voting stock (or comparable equity interests) of the surviving or acquiring entity); or
(d) approval by the shareholders of a definitive agreement or plan to liquidate or dissolve the Company.
For purposes of this Section 7.3:
Continuing Director means an individual (A) who is, as of June 8, 2011, a director of the Company, or (B) who becomes a director of the Company after June 8, 2011 and whose initial appointment, or nomination for election by the Companys shareholders, was approved by at least a majority of the then Continuing Directors; provided, however, that any individual whose initial assumption of office occurs as a result of either an actual or threatened contested election by any Person (other than the Board of Directors) seeking the election of such nominee in which the number of nominees exceeds the number of directors to be elected shall not be a Continuing Director;
Person means any individual, firm, corporation or other entity and shall include any group comprised of any person and any other person with whom such person or any affiliate or associate (as defined in Rule 14a-1(a) of the Exchange Act) of such person has any agreement, arrangement or understanding, directly or indirectly, for the purpose of acquiring, holding, voting or disposing of any capital stock of the Company;
Voting Stock means all then-outstanding capital stock of the Company entitled to vote generally in the election of directors of the Company; and
Exchange Act means the Securities Exchange Act of 1934, as amended and in effect from time to time, and the regulations promulgated thereunder.
ARTICLE 8
MISCELLANEOUS
8.1 Unsecured General Creditor. Participants and their Beneficiaries, heirs, successors, and assigns shall have no legal or equitable rights, claims, or interests in any specific property or assets of Employer, nor shall they be beneficiaries of, or have any rights, claims, or interests in any life insurance policies, annuity contracts, or the proceeds therefrom owned or which may be acquired by Employer (Policies). Such Policies or other assets of Employer shall not be held under any trust for the benefit of Participants, their Beneficiaries, heirs, successors, or assigns, or held in any way as collateral security for the fulfilling of the obligations of Employer under this Plan. Any and all of Employers assets and Policies shall be, and remain, the general, unpledged, unrestricted assets of Employer. Employers obligation under the Plan shall be merely that of an unfunded and unsecured promise of Employer to pay money in the future.
8.2 Nonassignability. Neither a Participant nor any other person shall have any right to commute, sell, assign, transfer, pledge, anticipate, mortgage or otherwise encumber, hypothecate or convey in advance of actual receipt the amounts, if any, payable hereunder, or any part thereof, or interest therein which are, and all rights to which are, expressly declared to be unassignable and non-transferable. No part of the amounts payable shall, prior to actual payment, be subject to seizure or sequestration for the payment of any debts, judgments, alimony or separate maintenance owed by a Participant or any other person, nor be transferable by operation of law in the event of a Participants or any other persons bankruptcy or insolvency.
8.3 Compensation Recovery (Recoupment). Notwithstanding any other provision of the Plan, a Participant who engaged in intentional misconduct that contributed directly or indirectly, in whole or in part, to the need for a restatement of the Companys consolidated financial statements and who becomes subject to the Companys recoupment policy as adopted by the Compensation Committee of the Companys Board of Directors and amended from time to time (Recoupment Policy) may have all or a portion of any distributions payable to the Participant or his or her Beneficiary recovered by the Company. If distributions to or on behalf of a Participant have commenced and the Participant is subject to a claim for recovery under the Recoupment Policy, then the Company may, subject to any limitations under Code section 409A, retain all or any portion of the Participants (or his or her Beneficiarys) taxable distribution, net of state, federal or foreign tax withholding, to satisfy such claim.
8.4 Employment Not Guaranteed. Nothing contained in this Plan nor any action taken hereunder shall be construed as a contract of employment or as giving any Employee any right to be retained in the employ of the Employer.
8.5 Protective Provisions. Each Participant shall cooperate with the Employer by furnishing any and all information requested by the Employer in order to facilitate the payment of benefits hereunder, taking such physical examinations as the Employer may deem necessary and taking such other relevant action as may be requested by the Employer. If a Participant refuses so to cooperate, the Employer shall have no further obligation to the Participant under the Plan, other than payment to such Participant of the cumulative reductions in Earnings theretofore made pursuant to this Plan. If a Participant commits suicide during the two (2) year period beginning on the later of (a) the date of adoption of this Plan or (b) the first day of the first Plan Year of such Participants participation in the Plan, or if the Participant makes any material misstatement of information or nondisclosure of medical history, then no benefits will be payable hereunder to such Participant or his Beneficiary, other than payment to such Participant of the cumulative reductions in Earnings theretofore made pursuant to this Plan, provided, that in the Employers sole discretion, benefits may be payable in an amount reduced to compensate the Employer for any loss, cost, damage or expense suffered or incurred by the Employer as a result in any way of such misstatement or nondisclosure.
8.6 Gender, Singular and Plural. All pronouns and any variations thereof shall be deemed to refer to the masculine or feminine as the identity of the person or persons may require. As the context may require, the singular may be read as the plural and the plural as the singular.
8.7 Captions. The captions of the articles, sections, and paragraphs of this Plan are for convenience only and shall not control or affect the meaning or construction of any of its provisions.
8.8 Validity. In the event any provision of this Plan is held invalid, void, or unenforceable, the same shall not affect, in any respect whatsoever, the validity of any other provision of this Plan.
8.9 Notice. Any notice or filing required or permitted to be given to the Committee under the Plan shall be sufficient if in writing and hand delivered, or sent by registered or certified mail, to the principal office of the Employer, directed to the attention of the President of the Employer. Such notice shall be deemed given as of the date of delivery or, if delivery is made by mail, as of the date shown on the postmark on the receipt for registration or certification.
8.10 Applicable Law. This Plan shall be governed and construed in accordance with the laws of the State of Minnesota as applied to contracts executed and to be wholly performed in such state.
APPENDIX A
Section 1
Participant Deferral Account Interest Crediting While in Active Status Assuming No Further Deferrals
A. A Participant shall receive interest credited monthly equal to the Participants beginning-of-year (BOY) Deferral Account balance times the Declared Rate divided by twelve:
Interest crediting occurs up to the day the Participant begins to receive annuity payments from the Plan.
Example of interest credited calculation
|
BOY Deferral Account balance at 1/1/99 |
= $500,000.00 |
|
Declared Rate |
= 13.7% |
|
Declared Rate divided by 12 = 13.7%/12 |
= 1.1417% |
|
Credited interest for each month of 1999 |
= $500,000 x .011417 = $5,708.50 |
B. A participants Deferral Account balance shall be increased each month by taking the beginning-of-month (BOM) balance plus interest credited for the month to equal the end-of-month (EOM) balance.
BOM balance + monthly interest credited = EOM balance
Example of monthly account growth
|
BOM balance at 1/1/99 |
= $500,000.00 |
|
Monthly crediting dollars for 1998 |
= $5,708.50 |
|
EOM at 1/31/99 |
= $500,000.00 + 5,708.50 = $505,708.50 |
|
EOM at 2/28/99 |
= $505,708.500 + 5,708.50 = $511,417.00 |
Section 2:
Interest Crediting, Deferral Account Balances, and Payments While in Pay Status
A. Definition of Variables for Participant Payment Calculation
1. n = number of payments expected to be made to a Participant and spouse. The number of expected payments shall be determined by: (1) The ages of the Participant and spouse at the time annuity payments first begin. (2) The number of years that the Participant and spouse are expected to live, as determined by an actuarially-based mortality table selected by the Committee. (3) The frequency of payments made to the Participant. This frequency shall be determined by the payroll procedures of the Companys operating division responsible for administering the Participants payments.
Example of number of expected payments (assuming payments to begin on 10/1/99)
|
Frequency of payments |
= monthly |
|
Participant age on 10/1/99 |
= 50 yrs. old |
|
Spouse age on 10/1/99 |
= 48 yrs. old |
|
Participants and spouses joint expected remaining lives |
= 476 months |
|
n for 10/1/99 |
= 476 |
|
n for 1/1/00 |
= 473 |
|
n for 1/1/01 |
= 461 |
2. i = interest rate per payment period such that when compounded over the entire year equals the Declared Rate.
i shall be expressed either as a weekly or monthly interest rate, depending on the frequency of annuity payments made by the operating division administering the Participants payments. If weekly, i is the interest rate that, when compounded over 52 periods, will equal the Declared Rate. If monthly, i is the interest rate that, when compounded over 12 periods, will equal the Declared Rate.
Example of weekly and monthly interest rates
Declared Rate = 13.7%
Weekly i = (1.137)1/52 = .002472 or .2472%
Monthly i = (1.137)1/12 = .010757 or 1.0757%
3. The beginning-of-period balance (BOP balance) is the Participants Deferral Account balance at any time before credited interest has been added for the period and payments have been subtracted for the period.
End-of-period balance (EOP balance) is the Participants Deferral Account balance at any point in time after credited interest has been added for the period and payments have been subtracted for the period.
Example of EOP balance calculation
EOP balance = BOP balance + interest crediting payment
B. Payments
1. Calculation of payments
At the beginning of each year (or at the beginning of a month when a Participants Deferral Account is first transferred from active status to payment status), a payment shall be calculated for each Participant who has a Deferral Account that is in the payment status. The periodicity of payments shall depend on the payroll procedures of the operating division administering the Participants payments. The amount of the payment shall be effective for that calendar year (or portion of the calendar year).
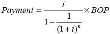
The calculation of the payment amount is based on the present value of an annuity formula. Specifically, the payment is given by:

Example of a calculation with monthly payments
n = 476 months
Monthly i = 1.0757%
BOP balance = $500,000.00
Payment = $5,411.73
Example of a calculation with weekly payments
n = 2,070 weeks
Weekly i = 0.2472%
BOP balance = $500,000.00
Payment = $1,243.50
2. Interest Crediting for Payments
Interest crediting shall be calculated every payment period, with the interest amount equal to the beginning-of-period Deferral Account balance times the periodic interest rate
Example of interest crediting calculation (assuming monthly payments and a 13.7% Declared Rate)
BOP balance = $500,000.00
Monthly i = 1.0757%
Interest crediting = $500,000.00 x .010757 = $5,378.50
3. Amortization of Participant Deferral Account Balances
Participant Deferral Account balances shall be amortized over the remaining number of expected payment periods by adding to the beginning-of-period balance the interest credits earned during the period less the payment made for the period to produce an end-of-period Deferral Account balance.
Example of Deferral Account balance amortization (assuming monthly payments and a 13.7% Declared Rate)
BOP balance = $500,000.00
Monthly i = 1.0757%
Interest crediting = $5,378.50
Payment = $5,411.73
EOP balance = $500,000.00 + $5,378.50 $5,411.73 = $499,966.77
C. Installment Termination Payments
1. [Intentionally left blank.]
2. The four equal annual installment payments are determined by using the present value of an annuity formula referenced in Section 2.B.1. of this Appendix. The interest rate used in calculating the four payments shall be 12%.
Example of a four-year annual installment payout of a Deferral Account balance
n = 4
Annual i = 12%
BOP balance = $500,000.00
Annual installment payments = $164,617.22